Номер 3.195, страница 145 - гдз по алгебре 11 класс учебник Арефьева, Пирютко

Алгебра, 11 класс Учебник, авторы: Арефьева Ирина Глебовна, Пирютко Ольга Николаевна, издательство Народная асвета, Минск, 2020, бирюзового цвета

Авторы: Арефьева И. Г., Пирютко О. Н.

Тип: Учебник

Издательство: Народная асвета

Год издания: 2020 - 2025

Цвет обложки: бирюзовый, зелёный с графиком

ISBN: 978-985-03-3165-6

Популярные ГДЗ в 11 классе

Глава 3. Логарифмическая функция. Параграф 9. Логарифмические уравнения - номер 3.195, страница 145.

№3.195 (с. 145)
Условие. №3.195 (с. 145)
скриншот условия
Алгебра, 11 класс Учебник, авторы: Арефьева Ирина Глебовна, Пирютко Ольга Николаевна, издательство Народная асвета, Минск, 2020, бирюзового цвета, страница 145, номер 3.195, Условие

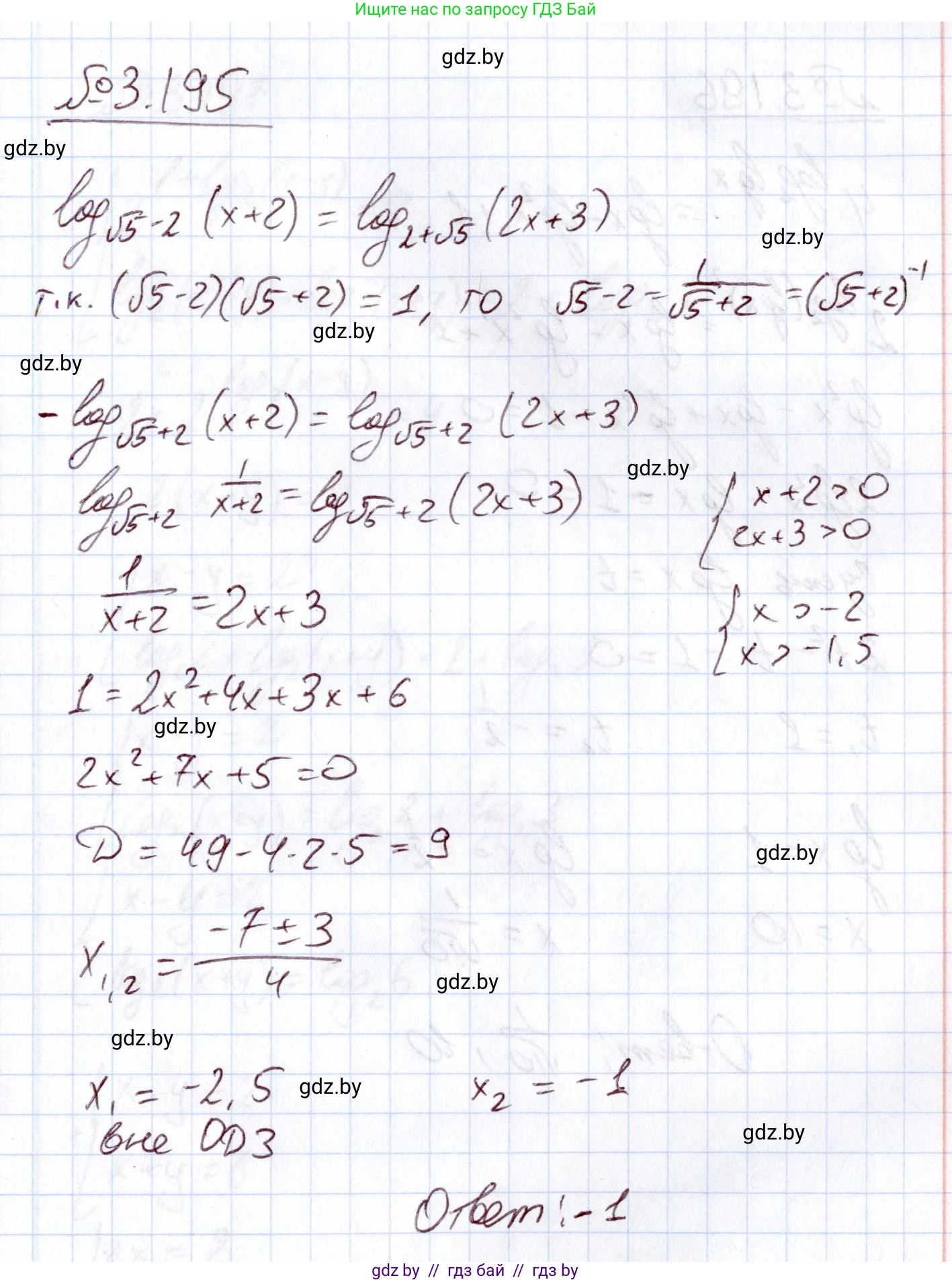
3.195*. Решите уравнение $log_{\sqrt{5}-2} (x + 2) = log_{2+\sqrt{5}} (2x + 3)$.

Решение. №3.195 (с. 145)
Алгебра, 11 класс Учебник, авторы: Арефьева Ирина Глебовна, Пирютко Ольга Николаевна, издательство Народная асвета, Минск, 2020, бирюзового цвета, страница 145, номер 3.195, Решение
Решение 2. №3.195 (с. 145)

Дано уравнение:

$$ \log_{\sqrt{5}-2} (x+2) = \log_{2+\sqrt{5}} (2x+3) $$

Вначале определим область допустимых значений (ОДЗ). Аргументы логарифмов должны быть строго положительными, а основания должны быть положительными и не равными единице.

1) Проверим основания логарифмов:

Основание $a = \sqrt{5}-2$. Так как $\sqrt{4} < \sqrt{5} < \sqrt{9}$, то $2 < \sqrt{5} < 3$. Отсюда следует, что $0 < \sqrt{5}-2 < 1$. Таким образом, основание $a>0$ и $a \ne 1$.

Основание $b = 2+\sqrt{5}$. Очевидно, что $b>0$ и $b \ne 1$.

2) Аргументы логарифмов должны быть положительны:

$$ \begin{cases} x+2 > 0 \\ 2x+3 > 0 \end{cases} $$

Решая эту систему неравенств, получаем: $$ \begin{cases} x > -2 \\ 2x > -3 \end{cases} \implies \begin{cases} x > -2 \\ x > -1.5 \end{cases} $$

Пересечением этих условий является $x > -1.5$. Таким образом, ОДЗ: $x \in (-1.5, +\infty)$.

Теперь приступим к решению уравнения. Заметим, что основания логарифмов являются сопряженными числами, так как их произведение равно 1:

$$ (\sqrt{5}-2)(2+\sqrt{5}) = (\sqrt{5}-2)(\sqrt{5}+2) = (\sqrt{5})^2 - 2^2 = 5-4=1 $$

Из этого следует, что $\sqrt{5}-2 = \frac{1}{2+\sqrt{5}} = (2+\sqrt{5})^{-1}$.

Воспользуемся свойством логарифма $\log_{a^k}(M) = \frac{1}{k}\log_a(M)$. Преобразуем левую часть уравнения, приведя логарифм к основанию $2+\sqrt{5}$:

$$ \log_{\sqrt{5}-2}(x+2) = \log_{(2+\sqrt{5})^{-1}}(x+2) = \frac{1}{-1} \log_{2+\sqrt{5}}(x+2) = -\log_{2+\sqrt{5}}(x+2) $$

Подставим полученное выражение в исходное уравнение:

$$ -\log_{2+\sqrt{5}}(x+2) = \log_{2+\sqrt{5}}(2x+3) $$

Перенесем все члены в одну сторону:

$$ \log_{2+\sqrt{5}}(2x+3) + \log_{2+\sqrt{5}}(x+2) = 0 $$

Используя свойство суммы логарифмов $\log_a(b) + \log_a(c) = \log_a(bc)$, получаем:

$$ \log_{2+\sqrt{5}}((2x+3)(x+2)) = 0 $$

По определению логарифма, если $\log_a(B)=C$, то $B = a^C$. Применим это к нашему уравнению:

$$ (2x+3)(x+2) = (2+\sqrt{5})^0 $$

$$ (2x+3)(x+2) = 1 $$

Раскроем скобки и решим полученное квадратное уравнение:

$$ 2x^2 + 4x + 3x + 6 = 1 $$

$$ 2x^2 + 7x + 5 = 0 $$

Найдем дискриминант: $D = b^2 - 4ac = 7^2 - 4 \cdot 2 \cdot 5 = 49 - 40 = 9$.

Найдем корни уравнения:

$$ x_1 = \frac{-b + \sqrt{D}}{2a} = \frac{-7 + \sqrt{9}}{2 \cdot 2} = \frac{-7+3}{4} = \frac{-4}{4} = -1 $$

$$ x_2 = \frac{-b - \sqrt{D}}{2a} = \frac{-7 - \sqrt{9}}{2 \cdot 2} = \frac{-7-3}{4} = \frac{-10}{4} = -2.5 $$

Теперь необходимо проверить найденные корни на соответствие ОДЗ ($x > -1.5$).

Корень $x_1 = -1$ удовлетворяет ОДЗ, так как $-1 > -1.5$.

Корень $x_2 = -2.5$ не удовлетворяет ОДЗ, так как $-2.5 < -1.5$. Следовательно, это посторонний корень.

Таким образом, единственным решением уравнения является $x=-1$.

Ответ: $-1$

Помогло решение? Оставьте отзыв в комментариях ниже.

Присоединяйтесь к Телеграм-группе @gdz_by_belarus

Присоединиться

Мы подготовили для вас ответ c подробным объяснением домашего задания по алгебре за 11 класс, для упражнения номер 3.195 расположенного на странице 145 к учебнику 2020 года издания для учащихся школ и гимназий.

Теперь на нашем сайте ГДЗ.ТОП вы всегда легко и бесплатно найдёте условие с правильным ответом на вопрос «Как решить ДЗ» и «Как сделать» задание по алгебре к упражнению №3.195 (с. 145), авторов: Арефьева (Ирина Глебовна), Пирютко (Ольга Николаевна), учебного пособия издательства Народная асвета.