Номер 3.197, страница 145 - гдз по алгебре 11 класс учебник Арефьева, Пирютко

Алгебра, 11 класс Учебник, авторы: Арефьева Ирина Глебовна, Пирютко Ольга Николаевна, издательство Народная асвета, Минск, 2020, бирюзового цвета

Авторы: Арефьева И. Г., Пирютко О. Н.

Тип: Учебник

Издательство: Народная асвета

Год издания: 2020 - 2025

Цвет обложки: бирюзовый, зелёный с графиком

ISBN: 978-985-03-3165-6

Популярные ГДЗ в 11 классе

Глава 3. Логарифмическая функция. Параграф 9. Логарифмические уравнения - номер 3.197, страница 145.

№3.197 (с. 145)
Условие. №3.197 (с. 145)
скриншот условия
Алгебра, 11 класс Учебник, авторы: Арефьева Ирина Глебовна, Пирютко Ольга Николаевна, издательство Народная асвета, Минск, 2020, бирюзового цвета, страница 145, номер 3.197, Условие

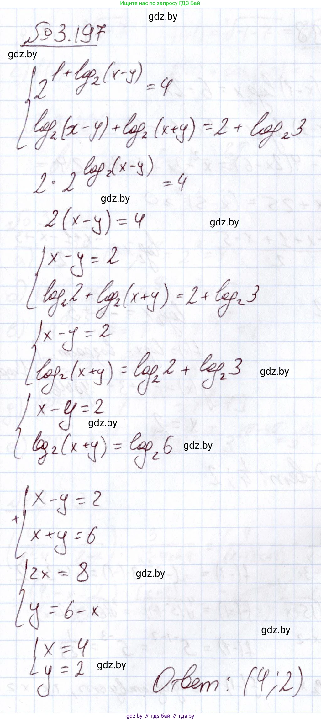
3.197*. Решите систему уравнений

$\begin{cases} 2^{1+\log_2(x-y)} = 4, \\ \log_2(x-y) + \log_2(x+y) = 2 + \log_2 3. \end{cases}$

Решение. №3.197 (с. 145)
Алгебра, 11 класс Учебник, авторы: Арефьева Ирина Глебовна, Пирютко Ольга Николаевна, издательство Народная асвета, Минск, 2020, бирюзового цвета, страница 145, номер 3.197, Решение
Решение 2. №3.197 (с. 145)

Данная система уравнений:

$ \begin{cases} 2^{1 + \log_2(x-y)} = 4, \\ \log_2(x-y) + \log_2(x+y) = 2 + \log_2 3. \end{cases} $

Прежде всего, определим область допустимых значений (ОДЗ) для переменных x и y. Аргументы логарифмов должны быть строго положительными:

$ \begin{cases} x - y > 0, \\ x + y > 0. \end{cases} $

Теперь решим первое уравнение системы:

$2^{1 + \log_2(x-y)} = 4$

Используя свойство степеней $a^{m+n} = a^m \cdot a^n$, преобразуем левую часть:

$2^1 \cdot 2^{\log_2(x-y)} = 4$

Далее, используя основное логарифмическое тождество $a^{\log_a b} = b$, получаем:

$2 \cdot (x-y) = 4$

Отсюда находим выражение для $x-y$:

$x - y = \frac{4}{2} = 2$

Это значение удовлетворяет первому условию ОДЗ ($2 > 0$).

Теперь решим второе уравнение системы:

$\log_2(x-y) + \log_2(x+y) = 2 + \log_2 3$

Используя свойство логарифмов $\log_a b + \log_a c = \log_a(b \cdot c)$, преобразуем левую часть:

$\log_2((x-y)(x+y)) = 2 + \log_2 3$

Представим число 2 в виде логарифма по основанию 2: $2 = \log_2(2^2) = \log_2 4$.

$\log_2((x-y)(x+y)) = \log_2 4 + \log_2 3$

Снова применяем свойство суммы логарифмов для правой части:

$\log_2((x-y)(x+y)) = \log_2(4 \cdot 3)$

$\log_2((x-y)(x+y)) = \log_2 12$

Так как основания логарифмов равны, приравниваем их аргументы:

$(x-y)(x+y) = 12$

Теперь у нас есть система из двух более простых уравнений:

$ \begin{cases} x - y = 2, \\ (x-y)(x+y) = 12. \end{cases} $

Подставим значение $x-y=2$ из первого уравнения во второе:

$2 \cdot (x+y) = 12$

$x+y = \frac{12}{2} = 6$

Это значение удовлетворяет второму условию ОДЗ ($6 > 0$).

Теперь решим систему линейных уравнений:

$ \begin{cases} x - y = 2, \\ x + y = 6. \end{cases} $

Сложим два уравнения почленно:

$(x-y) + (x+y) = 2 + 6$

$2x = 8$

$x = 4$

Подставим найденное значение x в любое из уравнений системы. Например, во второе:

$4 + y = 6$

$y = 6 - 4$

$y = 2$

Таким образом, решение системы: $x=4, y=2$.

Проверим найденное решение, подставив его в исходную систему.

Первое уравнение: $2^{1 + \log_2(4-2)} = 2^{1 + \log_2 2} = 2^{1+1} = 2^2 = 4$. Верно.

Второе уравнение: $\log_2(4-2) + \log_2(4+2) = \log_2 2 + \log_2 6 = 1 + \log_2(2 \cdot 3) = 1 + (\log_2 2 + \log_2 3) = 1 + 1 + \log_2 3 = 2 + \log_2 3$. Верно.

Ответ: $(4; 2)$.

Помогло решение? Оставьте отзыв в комментариях ниже.

Присоединяйтесь к Телеграм-группе @gdz_by_belarus

Присоединиться

Мы подготовили для вас ответ c подробным объяснением домашего задания по алгебре за 11 класс, для упражнения номер 3.197 расположенного на странице 145 к учебнику 2020 года издания для учащихся школ и гимназий.

Теперь на нашем сайте ГДЗ.ТОП вы всегда легко и бесплатно найдёте условие с правильным ответом на вопрос «Как решить ДЗ» и «Как сделать» задание по алгебре к упражнению №3.197 (с. 145), авторов: Арефьева (Ирина Глебовна), Пирютко (Ольга Николаевна), учебного пособия издательства Народная асвета.