Номер 3.223, страница 147 - гдз по алгебре 11 класс учебник Арефьева, Пирютко

Алгебра, 11 класс Учебник, авторы: Арефьева Ирина Глебовна, Пирютко Ольга Николаевна, издательство Народная асвета, Минск, 2020, бирюзового цвета

Авторы: Арефьева И. Г., Пирютко О. Н.

Тип: Учебник

Издательство: Народная асвета

Год издания: 2020 - 2025

Цвет обложки: бирюзовый, зелёный с графиком

ISBN: 978-985-03-3165-6

Популярные ГДЗ в 11 классе

Глава 3. Логарифмическая функция. Параграф 10. Логарифмические неравенства - номер 3.223, страница 147.

№3.223 (с. 147)
Условие. №3.223 (с. 147)
скриншот условия
Алгебра, 11 класс Учебник, авторы: Арефьева Ирина Глебовна, Пирютко Ольга Николаевна, издательство Народная асвета, Минск, 2020, бирюзового цвета, страница 147, номер 3.223, Условие

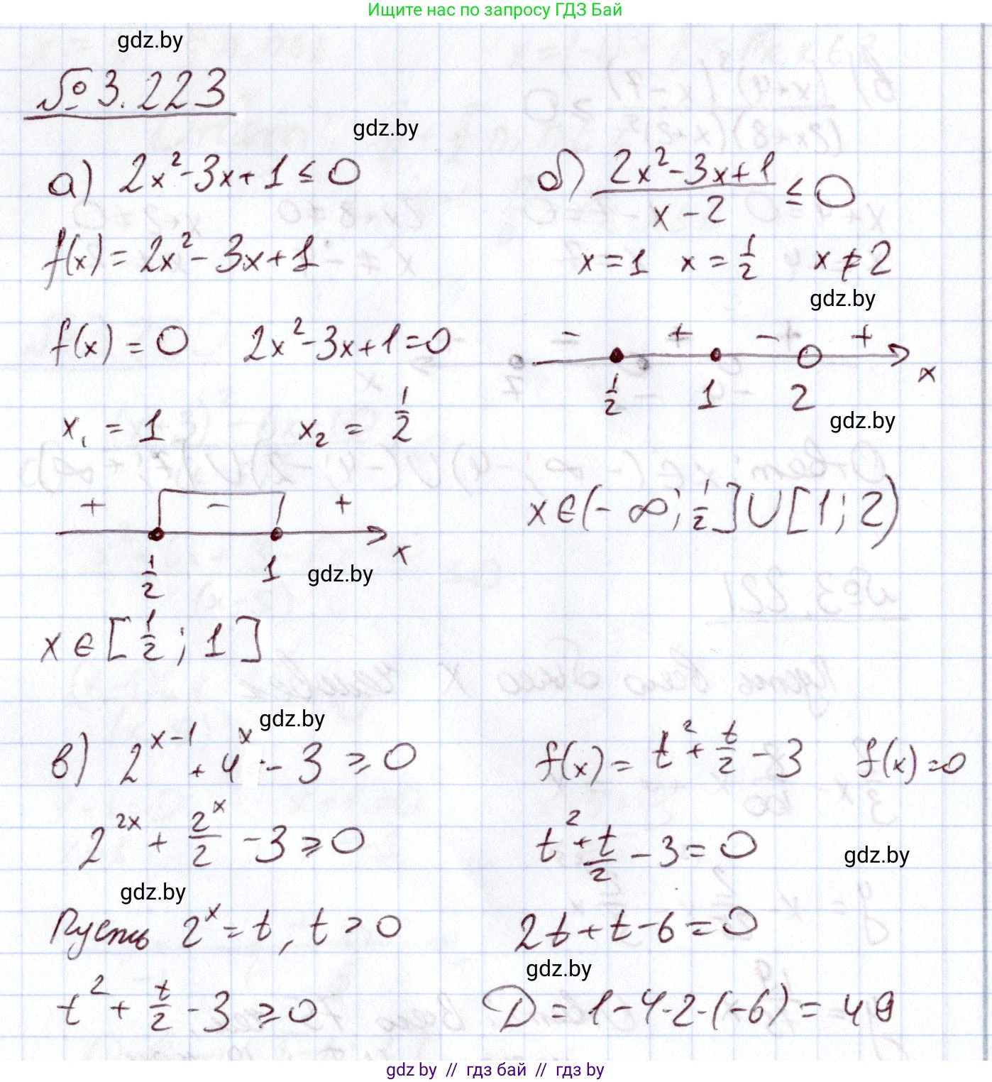
3.223. Решите неравенство:

a) $2x^2 - 3x + 1 \leq 0$;

б) $\frac{2x^2 - 3x + 1}{x-2} \leq 0$;

в) $2^{x-1} + 4^x - 3 \geq 0$.

Решение. №3.223 (с. 147)
Алгебра, 11 класс Учебник, авторы: Арефьева Ирина Глебовна, Пирютко Ольга Николаевна, издательство Народная асвета, Минск, 2020, бирюзового цвета, страница 147, номер 3.223, Решение Алгебра, 11 класс Учебник, авторы: Арефьева Ирина Глебовна, Пирютко Ольга Николаевна, издательство Народная асвета, Минск, 2020, бирюзового цвета, страница 147, номер 3.223, Решение (продолжение 2)
Решение 2. №3.223 (с. 147)

а) $2x^2 - 3x + 1 \leq 0$

Это квадратичное неравенство. Для его решения найдем корни соответствующего квадратного уравнения $2x^2 - 3x + 1 = 0$.

Вычислим дискриминант $D$ по формуле $D = b^2 - 4ac$:

$D = (-3)^2 - 4 \cdot 2 \cdot 1 = 9 - 8 = 1$

Поскольку $D > 0$, уравнение имеет два различных действительных корня. Найдем их:

$x_1 = \frac{-b - \sqrt{D}}{2a} = \frac{3 - \sqrt{1}}{2 \cdot 2} = \frac{2}{4} = \frac{1}{2} = 0.5$

$x_2 = \frac{-b + \sqrt{D}}{2a} = \frac{3 + \sqrt{1}}{2 \cdot 2} = \frac{4}{4} = 1$

Графиком функции $y = 2x^2 - 3x + 1$ является парабола, ветви которой направлены вверх, так как коэффициент при $x^2$ (равный 2) положителен. Неравенство $2x^2 - 3x + 1 \leq 0$ выполняется на том промежутке, где парабола находится ниже или на оси Ох. Это промежуток между корнями, включая сами корни.

Следовательно, решением неравенства является отрезок $[0.5; 1]$.

Ответ: $x \in [0.5; 1]$

б) $\frac{2x^2 - 3x + 1}{x - 2} \leq 0$

Это дробно-рациональное неравенство. Решим его методом интервалов.

1. Найдем нули числителя. Мы уже решили уравнение $2x^2 - 3x + 1 = 0$ в пункте а). Корни: $x_1 = 0.5$ и $x_2 = 1$. В этих точках дробь равна нулю, и так как неравенство нестрогое, эти точки включаются в решение.

2. Найдем нули знаменателя. Приравняем знаменатель к нулю: $x - 2 = 0$, откуда $x = 2$. В этой точке дробь не определена, поэтому эта точка всегда исключается из решения (выкалывается).

3. Нанесем найденные точки на числовую ось, отмечая точки $0.5$ и $1$ закрашенными кружками, а точку $2$ — выколотым кружком. Эти точки разбивают ось на четыре интервала: $(-\infty; 0.5]$, $[0.5; 1]$, $[1; 2)$ и $(2; +\infty)$.

4. Определим знак выражения в каждом интервале, подставляя любое значение из интервала в левую часть неравенства:

  • При $x < 0.5$ (например, $x=0$): $\frac{2(0)^2 - 3(0) + 1}{0 - 2} = \frac{1}{-2} < 0$. Интервал $(-\infty; 0.5]$ подходит.
  • При $0.5 < x < 1$ (например, $x=0.75$): $\frac{2(0.75)^2 - 3(0.75) + 1}{0.75 - 2} = \frac{1.125 - 2.25 + 1}{-1.25} = \frac{-0.125}{-1.25} > 0$. Интервал $[0.5; 1]$ не подходит.
  • При $1 < x < 2$ (например, $x=1.5$): $\frac{2(1.5)^2 - 3(1.5) + 1}{1.5 - 2} = \frac{4.5 - 4.5 + 1}{-0.5} = \frac{1}{-0.5} < 0$. Интервал $[1; 2)$ подходит.
  • При $x > 2$ (например, $x=3$): $\frac{2(3)^2 - 3(3) + 1}{3 - 2} = \frac{18 - 9 + 1}{1} = 10 > 0$. Интервал $(2; +\infty)$ не подходит.

5. Объединяем подходящие интервалы.

Ответ: $x \in (-\infty; 0.5] \cup [1; 2)$

в) $2^{x-1} + 4^x - 3 \geq 0$

Это показательное неравенство. Преобразуем его, приведя к одному основанию.

Используем свойства степеней: $2^{x-1} = 2^x \cdot 2^{-1} = \frac{1}{2} \cdot 2^x$ и $4^x = (2^2)^x = 2^{2x} = (2^x)^2$.

Неравенство принимает вид:

$\frac{1}{2} \cdot 2^x + (2^x)^2 - 3 \geq 0$

Сделаем замену переменной. Пусть $t = 2^x$. Так как показательная функция всегда положительна, то $t > 0$.

Получаем квадратное неравенство относительно $t$:

$t^2 + \frac{1}{2}t - 3 \geq 0$

Умножим обе части на 2, чтобы избавиться от дроби:

$2t^2 + t - 6 \geq 0$

Найдем корни уравнения $2t^2 + t - 6 = 0$.

$D = 1^2 - 4 \cdot 2 \cdot (-6) = 1 + 48 = 49 = 7^2$

$t_1 = \frac{-1 - 7}{2 \cdot 2} = \frac{-8}{4} = -2$

$t_2 = \frac{-1 + 7}{2 \cdot 2} = \frac{6}{4} = \frac{3}{2} = 1.5$

Парабола $y=2t^2+t-6$ имеет ветви вверх, значит, неравенство $2t^2 + t - 6 \geq 0$ выполняется при $t \leq -2$ или $t \geq 1.5$.

Учитывая условие $t > 0$, отбрасываем решение $t \leq -2$. Остается $t \geq 1.5$.

Вернемся к исходной переменной $x$:

$2^x \geq 1.5$

Прологарифмируем обе части неравенства по основанию 2. Так как основание логарифма $2 > 1$, знак неравенства не меняется.

$\log_2(2^x) \geq \log_2(1.5)$

$x \geq \log_2(1.5)$

Ответ: $x \in [\log_2(1.5); +\infty)$

Помогло решение? Оставьте отзыв в комментариях ниже.

Присоединяйтесь к Телеграм-группе @gdz_by_belarus

Присоединиться

Мы подготовили для вас ответ c подробным объяснением домашего задания по алгебре за 11 класс, для упражнения номер 3.223 расположенного на странице 147 к учебнику 2020 года издания для учащихся школ и гимназий.

Теперь на нашем сайте ГДЗ.ТОП вы всегда легко и бесплатно найдёте условие с правильным ответом на вопрос «Как решить ДЗ» и «Как сделать» задание по алгебре к упражнению №3.223 (с. 147), авторов: Арефьева (Ирина Глебовна), Пирютко (Ольга Николаевна), учебного пособия издательства Народная асвета.