Номер 386, страница 216 - гдз по алгебре 11 класс учебник Арефьева, Пирютко

Алгебра, 11 класс Учебник, авторы: Арефьева Ирина Глебовна, Пирютко Ольга Николаевна, издательство Народная асвета, Минск, 2020, бирюзового цвета

Авторы: Арефьева И. Г., Пирютко О. Н.

Тип: Учебник

Издательство: Народная асвета

Год издания: 2020 - 2025

Цвет обложки: бирюзовый, зелёный с графиком

ISBN: 978-985-03-3165-6

Популярные ГДЗ в 11 классе

Упражнения для итогового повторения. Функции и их свойства - номер 386, страница 216.

№386 (с. 216)
Условие. №386 (с. 216)
скриншот условия
Алгебра, 11 класс Учебник, авторы: Арефьева Ирина Глебовна, Пирютко Ольга Николаевна, издательство Народная асвета, Минск, 2020, бирюзового цвета, страница 216, номер 386, Условие

386. Исследуйте функцию и постройте ее график:

а) $f(x) = x^3 + 6x^2 + 9x;$

б) $f(x) = 2x^2 - x^3 - x;$

в) $f(x) = 2x^3 - 6x^2 + 4;$

г) $f(x) = -\frac{x^3}{3} + 4x + 4.$

Решение. №386 (с. 216)
Алгебра, 11 класс Учебник, авторы: Арефьева Ирина Глебовна, Пирютко Ольга Николаевна, издательство Народная асвета, Минск, 2020, бирюзового цвета, страница 216, номер 386, Решение Алгебра, 11 класс Учебник, авторы: Арефьева Ирина Глебовна, Пирютко Ольга Николаевна, издательство Народная асвета, Минск, 2020, бирюзового цвета, страница 216, номер 386, Решение (продолжение 2)
Решение 2. №386 (с. 216)
а)

Исследуем функцию $f(x) = x^3 + 6x^2 + 9x$.

1. Область определения.

Функция является многочленом, поэтому ее область определения — все действительные числа: $D(f) = (-\infty; +\infty)$.

2. Четность и нечетность.

Найдем $f(-x)$: $f(-x) = (-x)^3 + 6(-x)^2 + 9(-x) = -x^3 + 6x^2 - 9x$.

Так как $f(-x) \neq f(x)$ и $f(-x) \neq -f(x)$, функция не является ни четной, ни нечетной (функция общего вида).

3. Точки пересечения с осями координат.

С осью Oy: $x=0 \implies f(0) = 0^3 + 6(0)^2 + 9(0) = 0$. Точка пересечения — $(0, 0)$.

С осью Ox: $f(x)=0 \implies x^3 + 6x^2 + 9x = 0 \implies x(x^2 + 6x + 9) = 0 \implies x(x+3)^2 = 0$.

Корни: $x_1 = 0$, $x_2 = -3$. Точки пересечения — $(0, 0)$ и $(-3, 0)$.

4. Промежутки монотонности и точки экстремума.

Найдем первую производную: $f'(x) = (x^3 + 6x^2 + 9x)' = 3x^2 + 12x + 9$.

Найдем критические точки, решив уравнение $f'(x)=0$: $3x^2 + 12x + 9 = 0 \implies x^2 + 4x + 3 = 0$.

Корни уравнения: $x_1 = -3$, $x_2 = -1$.

Исследуем знак производной на интервалах $(-\infty; -3)$, $(-3; -1)$ и $(-1; +\infty)$.

  • При $x \in (-\infty; -3)$, $f'(x) > 0$, функция возрастает.
  • При $x \in (-3; -1)$, $f'(x) < 0$, функция убывает.
  • При $x \in (-1; +\infty)$, $f'(x) > 0$, функция возрастает.

В точке $x=-3$ производная меняет знак с «+» на «-», следовательно, это точка локального максимума. $f_{max} = f(-3) = (-3)^3 + 6(-3)^2 + 9(-3) = -27 + 54 - 27 = 0$. Точка максимума: $(-3, 0)$.

В точке $x=-1$ производная меняет знак с «-» на «+», следовательно, это точка локального минимума. $f_{min} = f(-1) = (-1)^3 + 6(-1)^2 + 9(-1) = -1 + 6 - 9 = -4$. Точка минимума: $(-1, -4)$.

5. Промежутки выпуклости, вогнутости и точки перегиба.

Найдем вторую производную: $f''(x) = (3x^2 + 12x + 9)' = 6x + 12$.

Найдем точки, где $f''(x)=0$: $6x + 12 = 0 \implies x = -2$.

  • При $x \in (-\infty; -2)$, $f''(x) < 0$, график функции выпуклый вверх (выпуклый).
  • При $x \in (-2; +\infty)$, $f''(x) > 0$, график функции выпуклый вниз (вогнутый).

В точке $x=-2$ вторая производная меняет знак, значит, это точка перегиба. $f(-2) = (-2)^3 + 6(-2)^2 + 9(-2) = -8 + 24 - 18 = -2$. Точка перегиба: $(-2, -2)$.

6. Построение графика.

На основе проведенного исследования строим график. Отмечаем точки пересечения с осями $(0, 0)$ и $(-3, 0)$, точку максимума $(-3, 0)$, точку минимума $(-1, -4)$ и точку перегиба $(-2, -2)$. Соединяем точки плавной кривой с учетом интервалов монотонности и выпуклости.

Ответ: Функция $f(x) = x^3 + 6x^2 + 9x$ определена на всей числовой оси. Пересекает оси в точках $(0, 0)$ и $(-3, 0)$. Возрастает на $(-\infty; -3) \cup (-1; +\infty)$ и убывает на $(-3; -1)$. Имеет максимум в точке $(-3, 0)$ и минимум в точке $(-1, -4)$. График выпуклый на $(-\infty; -2)$ и вогнутый на $(-2; +\infty)$. Точка перегиба — $(-2, -2)$.


б)

Исследуем функцию $f(x) = 2x^2 - x^3 - x = -x^3 + 2x^2 - x$.

1. Область определения. $D(f) = (-\infty; +\infty)$.

2. Четность и нечетность.

$f(-x) = -(-x)^3 + 2(-x)^2 - (-x) = x^3 + 2x^2 + x$.

Функция общего вида.

3. Точки пересечения с осями координат.

С осью Oy: $x=0 \implies f(0) = 0$. Точка — $(0, 0)$.

С осью Ox: $f(x)=0 \implies -x^3 + 2x^2 - x = 0 \implies -x(x^2 - 2x + 1) = 0 \implies -x(x-1)^2 = 0$.

Корни: $x_1 = 0$, $x_2 = 1$. Точки пересечения — $(0, 0)$ и $(1, 0)$.

4. Промежутки монотонности и точки экстремума.

Первая производная: $f'(x) = (-x^3 + 2x^2 - x)' = -3x^2 + 4x - 1$.

Критические точки из $f'(x)=0$: $-3x^2 + 4x - 1 = 0 \implies 3x^2 - 4x + 1 = 0$.

Корни: $x_1 = \frac{1}{3}$, $x_2 = 1$.

  • При $x \in (-\infty; 1/3)$, $f'(x) < 0$, функция убывает.
  • При $x \in (1/3; 1)$, $f'(x) > 0$, функция возрастает.
  • При $x \in (1; +\infty)$, $f'(x) < 0$, функция убывает.

Точка минимума: $x=1/3$. $f_{min} = f(1/3) = -(1/3)^3 + 2(1/3)^2 - 1/3 = -1/27 + 2/9 - 1/3 = -4/27$. Точка: $(1/3, -4/27)$.

Точка максимума: $x=1$. $f_{max} = f(1) = -1^3 + 2(1)^2 - 1 = 0$. Точка: $(1, 0)$.

5. Промежутки выпуклости, вогнутости и точки перегиба.

Вторая производная: $f''(x) = (-3x^2 + 4x - 1)' = -6x + 4$.

Точка перегиба из $f''(x)=0$: $-6x + 4 = 0 \implies x = 2/3$.

  • При $x \in (-\infty; 2/3)$, $f''(x) > 0$, график вогнутый.
  • При $x \in (2/3; +\infty)$, $f''(x) < 0$, график выпуклый.

Точка перегиба: $x=2/3$. $f(2/3) = -(2/3)^3 + 2(2/3)^2 - 2/3 = -8/27 + 8/9 - 2/3 = -2/27$. Точка: $(2/3, -2/27)$.

6. Построение графика.

Наносим на координатную плоскость точки $(0, 0)$, $(1, 0)$, $(1/3, -4/27)$, $(2/3, -2/27)$ и строим кривую в соответствии с исследованием.

Ответ: Функция $f(x) = 2x^2 - x^3 - x$ определена на $(-\infty; +\infty)$. Пересекает оси в точках $(0, 0)$ и $(1, 0)$. Убывает на $(-\infty; 1/3) \cup (1; +\infty)$ и возрастает на $(1/3; 1)$. Имеет минимум в $(1/3, -4/27)$ и максимум в $(1, 0)$. График вогнутый на $(-\infty; 2/3)$ и выпуклый на $(2/3; +\infty)$. Точка перегиба — $(2/3, -2/27)$.


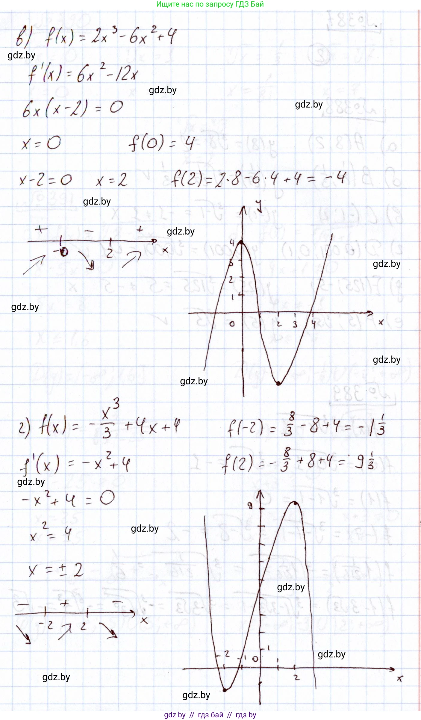
в)

Исследуем функцию $f(x) = 2x^3 - 6x^2 + 4$.

1. Область определения. $D(f) = (-\infty; +\infty)$.

2. Четность и нечетность.

$f(-x) = 2(-x)^3 - 6(-x)^2 + 4 = -2x^3 - 6x^2 + 4$. Функция общего вида.

3. Точки пересечения с осями координат.

С осью Oy: $x=0 \implies f(0) = 4$. Точка — $(0, 4)$.

С осью Ox: $f(x)=0 \implies 2x^3 - 6x^2 + 4 = 0 \implies x^3 - 3x^2 + 2 = 0$.

Заметим, что $x=1$ является корнем: $1-3+2=0$. Разделив многочлен на $(x-1)$, получим $x^2-2x-2$.

Решая $x^2-2x-2=0$, находим $x = \frac{2 \pm \sqrt{4-4(-2)}}{2} = 1 \pm \sqrt{3}$.

Точки пересечения: $(1, 0)$, $(1-\sqrt{3}, 0)$, $(1+\sqrt{3}, 0)$.

4. Промежутки монотонности и точки экстремума.

Первая производная: $f'(x) = (2x^3 - 6x^2 + 4)' = 6x^2 - 12x = 6x(x-2)$.

Критические точки: $x=0$ и $x=2$.

  • При $x \in (-\infty; 0)$, $f'(x) > 0$, функция возрастает.
  • При $x \in (0; 2)$, $f'(x) < 0$, функция убывает.
  • При $x \in (2; +\infty)$, $f'(x) > 0$, функция возрастает.

Точка максимума: $x=0$. $f_{max} = f(0) = 4$. Точка: $(0, 4)$.

Точка минимума: $x=2$. $f_{min} = f(2) = 2(2)^3 - 6(2)^2 + 4 = 16 - 24 + 4 = -4$. Точка: $(2, -4)$.

5. Промежутки выпуклости, вогнутости и точки перегиба.

Вторая производная: $f''(x) = (6x^2 - 12x)' = 12x - 12$.

Точка перегиба из $f''(x)=0$: $12x - 12 = 0 \implies x = 1$.

  • При $x \in (-\infty; 1)$, $f''(x) < 0$, график выпуклый.
  • При $x \in (1; +\infty)$, $f''(x) > 0$, график вогнутый.

Точка перегиба: $x=1$. $f(1) = 2(1)^3 - 6(1)^2 + 4 = 0$. Точка: $(1, 0)$.

6. Построение графика.

Отмечаем точки $(0, 4)$, $(1, 0)$, $(1\pm\sqrt{3}, 0)$, $(2, -4)$ и строим график.

Ответ: Функция $f(x) = 2x^3 - 6x^2 + 4$ определена на $(-\infty; +\infty)$. Пересекает ось Oy в точке $(0, 4)$ и ось Ox в точках $(1, 0)$, $(1-\sqrt{3}, 0)$, $(1+\sqrt{3}, 0)$. Возрастает на $(-\infty; 0) \cup (2; +\infty)$ и убывает на $(0; 2)$. Имеет максимум в $(0, 4)$ и минимум в $(2, -4)$. График выпуклый на $(-\infty; 1)$ и вогнутый на $(1; +\infty)$. Точка перегиба — $(1, 0)$.


г)

Исследуем функцию $f(x) = -\frac{x^3}{3} + 4x + 4$.

1. Область определения. $D(f) = (-\infty; +\infty)$.

2. Четность и нечетность.

$f(-x) = -\frac{(-x)^3}{3} + 4(-x) + 4 = \frac{x^3}{3} - 4x + 4$. Функция общего вида.

3. Точки пересечения с осями координат.

С осью Oy: $x=0 \implies f(0) = 4$. Точка — $(0, 4)$.

С осью Ox: $f(x)=0 \implies -\frac{x^3}{3} + 4x + 4 = 0$. Точное нахождение корней затруднительно, так как уравнение $x^3 - 12x - 12 = 0$ не имеет простых рациональных корней. Мы можем определить их положение по графику.

4. Промежутки монотонности и точки экстремума.

Первая производная: $f'(x) = (-\frac{x^3}{3} + 4x + 4)' = -x^2 + 4$.

Критические точки из $f'(x)=0$: $-x^2 + 4 = 0 \implies x^2 = 4 \implies x = \pm 2$.

  • При $x \in (-\infty; -2)$, $f'(x) < 0$, функция убывает.
  • При $x \in (-2; 2)$, $f'(x) > 0$, функция возрастает.
  • При $x \in (2; +\infty)$, $f'(x) < 0$, функция убывает.

Точка минимума: $x=-2$. $f_{min} = f(-2) = -\frac{(-2)^3}{3} + 4(-2) + 4 = \frac{8}{3} - 8 + 4 = -\frac{4}{3}$. Точка: $(-2, -4/3)$.

Точка максимума: $x=2$. $f_{max} = f(2) = -\frac{2^3}{3} + 4(2) + 4 = -\frac{8}{3} + 8 + 4 = \frac{28}{3}$. Точка: $(2, 28/3)$.

5. Промежутки выпуклости, вогнутости и точки перегиба.

Вторая производная: $f''(x) = (-x^2 + 4)' = -2x$.

Точка перегиба из $f''(x)=0$: $-2x = 0 \implies x = 0$.

  • При $x \in (-\infty; 0)$, $f''(x) > 0$, график вогнутый.
  • При $x \in (0; +\infty)$, $f''(x) < 0$, график выпуклый.

Точка перегиба: $x=0$. $f(0) = 4$. Точка: $(0, 4)$.

6. Построение графика.

Отмечаем точку пересечения с Oy $(0, 4)$, которая также является точкой перегиба, точку минимума $(-2, -4/3)$ и точку максимума $(2, 28/3)$. Соединяем точки плавной кривой. График пересечет ось Ox в трех точках (одна между -2 и -1, другая между -2 и -3, и третья между 3 и 4).

Ответ: Функция $f(x) = -\frac{x^3}{3} + 4x + 4$ определена на $(-\infty; +\infty)$. Пересекает ось Oy в точке $(0, 4)$. Убывает на $(-\infty; -2) \cup (2; +\infty)$ и возрастает на $(-2; 2)$. Имеет минимум в $(-2, -4/3)$ и максимум в $(2, 28/3)$. График вогнутый на $(-\infty; 0)$ и выпуклый на $(0; +\infty)$. Точка перегиба — $(0, 4)$.

Помогло решение? Оставьте отзыв в комментариях ниже.

Присоединяйтесь к Телеграм-группе @gdz_by_belarus

Присоединиться

Мы подготовили для вас ответ c подробным объяснением домашего задания по алгебре за 11 класс, для упражнения номер 386 расположенного на странице 216 к учебнику 2020 года издания для учащихся школ и гимназий.

Теперь на нашем сайте ГДЗ.ТОП вы всегда легко и бесплатно найдёте условие с правильным ответом на вопрос «Как решить ДЗ» и «Как сделать» задание по алгебре к упражнению №386 (с. 216), авторов: Арефьева (Ирина Глебовна), Пирютко (Ольга Николаевна), учебного пособия издательства Народная асвета.