Номер 388, страница 216 - гдз по алгебре 11 класс учебник Арефьева, Пирютко

Алгебра, 11 класс Учебник, авторы: Арефьева Ирина Глебовна, Пирютко Ольга Николаевна, издательство Народная асвета, Минск, 2020, бирюзового цвета

Авторы: Арефьева И. Г., Пирютко О. Н.

Тип: Учебник

Издательство: Народная асвета

Год издания: 2020 - 2025

Цвет обложки: бирюзовый, зелёный с графиком

ISBN: 978-985-03-3165-6

Популярные ГДЗ в 11 классе

Упражнения для итогового повторения. Функции и их свойства - номер 388, страница 216.

№388 (с. 216)
Условие. №388 (с. 216)
скриншот условия
Алгебра, 11 класс Учебник, авторы: Арефьева Ирина Глебовна, Пирютко Ольга Николаевна, издательство Народная асвета, Минск, 2020, бирюзового цвета, страница 216, номер 388, Условие

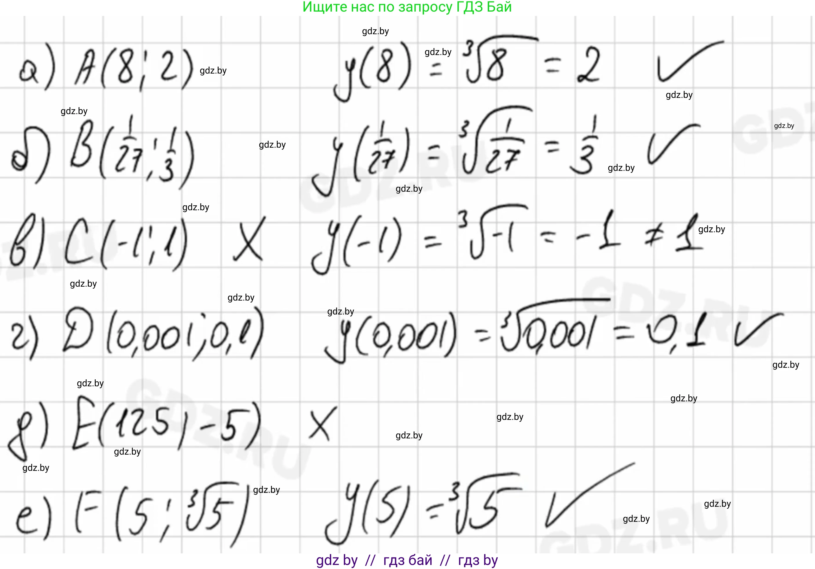
388. Выберите точки, принадлежащие графику функции $y = \sqrt[3]{x}$:

а) $A(8; 2);$

б) $B\left(\frac{1}{27}; \frac{1}{3}\right);$

в) $C(-1; 1);$

г) $D(0,001; 0,1);$

д) $E(125; -5);$

ж) $F(5; \sqrt[3]{5}).$

Решение. №388 (с. 216)
Алгебра, 11 класс Учебник, авторы: Арефьева Ирина Глебовна, Пирютко Ольга Николаевна, издательство Народная асвета, Минск, 2020, бирюзового цвета, страница 216, номер 388, Решение
Решение 2. №388 (с. 216)

Для того чтобы определить, принадлежит ли точка графику функции $y = \sqrt[3]{x}$, необходимо подставить координаты каждой точки $(x; y)$ в уравнение функции и проверить, выполняется ли равенство.

а) A(8; 2)

Проверяем, удовлетворяют ли координаты точки A уравнению $y = \sqrt[3]{x}$. Подставляем $x = 8$ и $y = 2$:

$2 = \sqrt[3]{8}$

Так как $2^3 = 8$, то $\sqrt[3]{8} = 2$. Получаем верное равенство:

$2 = 2$

Ответ: точка A(8; 2) принадлежит графику функции.

б) B($\frac{1}{27}$; $\frac{1}{3}$)

Проверяем, удовлетворяют ли координаты точки B уравнению $y = \sqrt[3]{x}$. Подставляем $x = \frac{1}{27}$ и $y = \frac{1}{3}$:

$\frac{1}{3} = \sqrt[3]{\frac{1}{27}}$

Так как $(\frac{1}{3})^3 = \frac{1}{27}$, то $\sqrt[3]{\frac{1}{27}} = \frac{1}{3}$. Получаем верное равенство:

$\frac{1}{3} = \frac{1}{3}$

Ответ: точка B($\frac{1}{27}$; $\frac{1}{3}$) принадлежит графику функции.

в) C(-1; 1)

Проверяем, удовлетворяют ли координаты точки C уравнению $y = \sqrt[3]{x}$. Подставляем $x = -1$ и $y = 1$:

$1 = \sqrt[3]{-1}$

Так как $(-1)^3 = -1$, то $\sqrt[3]{-1} = -1$. Получаем неверное равенство:

$1 = -1$

Ответ: точка C(-1; 1) не принадлежит графику функции.

г) D(0,001; 0,1)

Проверяем, удовлетворяют ли координаты точки D уравнению $y = \sqrt[3]{x}$. Подставляем $x = 0,001$ и $y = 0,1$:

$0,1 = \sqrt[3]{0,001}$

Так как $(0,1)^3 = 0,001$, то $\sqrt[3]{0,001} = 0,1$. Получаем верное равенство:

$0,1 = 0,1$

Ответ: точка D(0,001; 0,1) принадлежит графику функции.

д) E(125; -5)

Проверяем, удовлетворяют ли координаты точки E уравнению $y = \sqrt[3]{x}$. Подставляем $x = 125$ и $y = -5$:

$-5 = \sqrt[3]{125}$

Так как $5^3 = 125$, то $\sqrt[3]{125} = 5$. Получаем неверное равенство:

$-5 = 5$

Ответ: точка E(125; -5) не принадлежит графику функции.

ж) F(5; $\sqrt[3]{5}$)

Проверяем, удовлетворяют ли координаты точки F уравнению $y = \sqrt[3]{x}$. Подставляем $x = 5$ и $y = \sqrt[3]{5}$:

$\sqrt[3]{5} = \sqrt[3]{5}$

Данное равенство является верным по определению.

Ответ: точка F(5; $\sqrt[3]{5}$) принадлежит графику функции.

Помогло решение? Оставьте отзыв в комментариях ниже.

Присоединяйтесь к Телеграм-группе @gdz_by_belarus

Присоединиться

Мы подготовили для вас ответ c подробным объяснением домашего задания по алгебре за 11 класс, для упражнения номер 388 расположенного на странице 216 к учебнику 2020 года издания для учащихся школ и гимназий.

Теперь на нашем сайте ГДЗ.ТОП вы всегда легко и бесплатно найдёте условие с правильным ответом на вопрос «Как решить ДЗ» и «Как сделать» задание по алгебре к упражнению №388 (с. 216), авторов: Арефьева (Ирина Глебовна), Пирютко (Ольга Николаевна), учебного пособия издательства Народная асвета.