Номер 382, страница 215 - гдз по алгебре 11 класс учебник Арефьева, Пирютко

Алгебра, 11 класс Учебник, авторы: Арефьева Ирина Глебовна, Пирютко Ольга Николаевна, издательство Народная асвета, Минск, 2020, бирюзового цвета

Авторы: Арефьева И. Г., Пирютко О. Н.

Тип: Учебник

Издательство: Народная асвета

Год издания: 2020 - 2025

Цвет обложки: бирюзовый, зелёный с графиком

ISBN: 978-985-03-3165-6

Популярные ГДЗ в 11 классе

Упражнения для итогового повторения. Функции и их свойства - номер 382, страница 215.

№382 (с. 215)
Условие. №382 (с. 215)
скриншот условия
Алгебра, 11 класс Учебник, авторы: Арефьева Ирина Глебовна, Пирютко Ольга Николаевна, издательство Народная асвета, Минск, 2020, бирюзового цвета, страница 215, номер 382, Условие

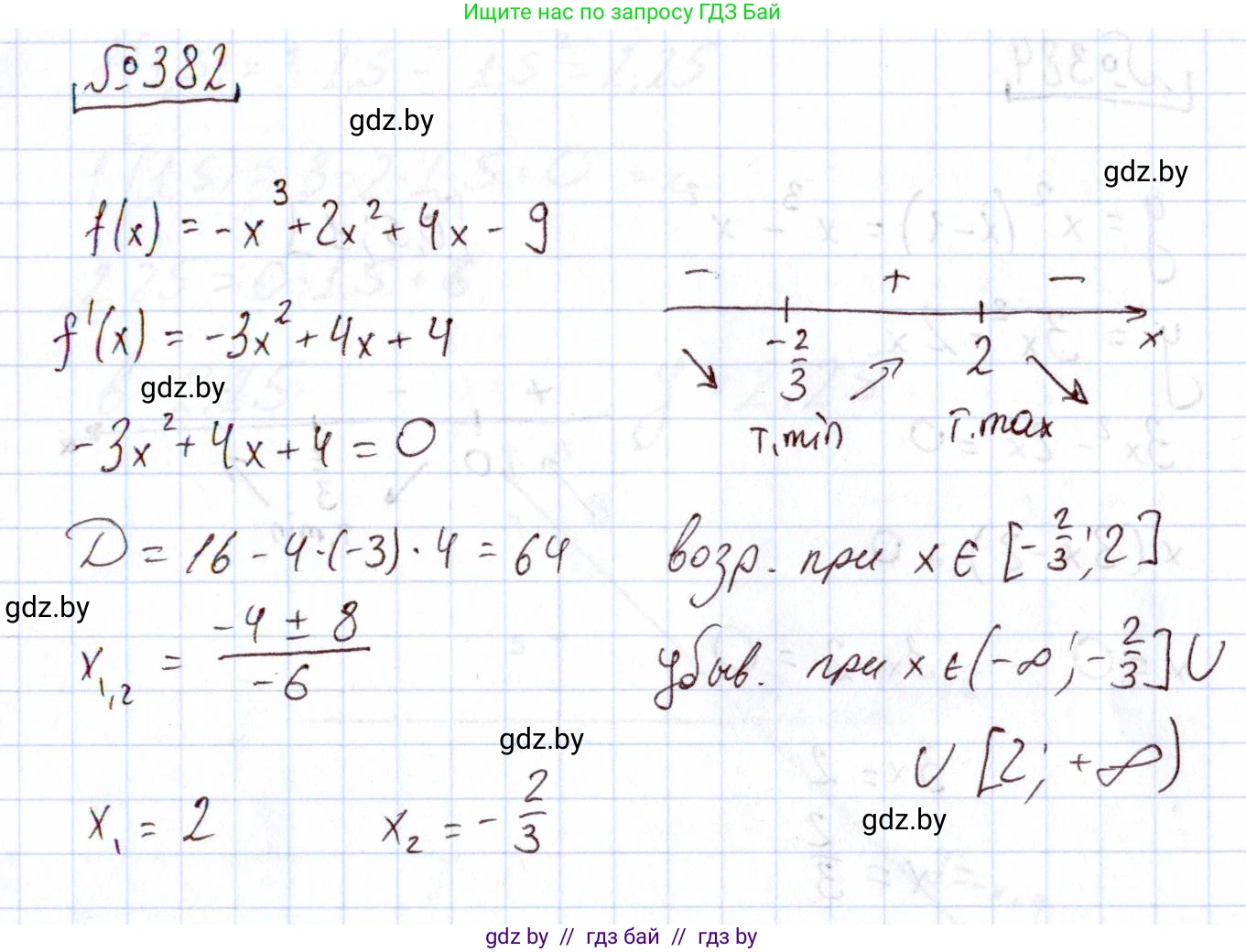
382. Найдите промежутки возрастания и убывания, точки минимума и максимума функции $f(x) = -x^3 + 2x^2 + 4x - 9.$

Решение. №382 (с. 215)
Алгебра, 11 класс Учебник, авторы: Арефьева Ирина Глебовна, Пирютко Ольга Николаевна, издательство Народная асвета, Минск, 2020, бирюзового цвета, страница 215, номер 382, Решение
Решение 2. №382 (с. 215)

Для того чтобы найти промежутки возрастания и убывания, а также точки экстремума функции $f(x) = -x^3 + 2x^2 + 4x - 9$, необходимо выполнить следующие шаги: найти производную функции, определить критические точки и исследовать знак производной на полученных интервалах.

1. Нахождение производной.
Область определения функции — все действительные числа, $D(f) = (-\infty; +\infty)$.
Находим первую производную функции $f(x)$ по правилам дифференцирования:

$f'(x) = (-x^3 + 2x^2 + 4x - 9)' = -3x^2 + 4x + 4$.

2. Нахождение критических точек.
Критические точки — это точки из области определения функции, в которых производная равна нулю или не существует. Поскольку $f'(x)$ — многочлен, она определена для всех $x$. Найдем точки, в которых $f'(x) = 0$.

$-3x^2 + 4x + 4 = 0$

Для удобства решения умножим уравнение на -1:

$3x^2 - 4x - 4 = 0$

Решим полученное квадратное уравнение с помощью дискриминанта:

$D = b^2 - 4ac = (-4)^2 - 4 \cdot 3 \cdot (-4) = 16 + 48 = 64$.

Корни уравнения:

$x_1 = \frac{-b - \sqrt{D}}{2a} = \frac{4 - \sqrt{64}}{2 \cdot 3} = \frac{4 - 8}{6} = \frac{-4}{6} = -\frac{2}{3}$.

$x_2 = \frac{-b + \sqrt{D}}{2a} = \frac{4 + \sqrt{64}}{2 \cdot 3} = \frac{4 + 8}{6} = \frac{12}{6} = 2$.

Таким образом, критическими точками являются $x = -2/3$ и $x = 2$.

3. Анализ знака производной.
Критические точки $x = -2/3$ и $x = 2$ делят числовую ось на три интервала: $(-\infty; -2/3)$, $(-2/3; 2)$ и $(2; +\infty)$. Определим знак производной $f'(x)$ на каждом из этих интервалов. График $f'(x) = -3x^2 + 4x + 4$ — это парабола, ветви которой направлены вниз, так как коэффициент при $x^2$ отрицателен (-3 < 0). Это означает, что производная положительна между корнями и отрицательна за их пределами.

  • На интервале $(-\infty; -2/3)$ производная $f'(x) < 0$, следовательно, функция $f(x)$ убывает.
  • На интервале $(-2/3; 2)$ производная $f'(x) > 0$, следовательно, функция $f(x)$ возрастает.
  • На интервале $(2; +\infty)$ производная $f'(x) < 0$, следовательно, функция $f(x)$ снова убывает.

Промежутки возрастания и убывания

На основе проведенного анализа знаков производной, мы можем определить промежутки монотонности функции. Функция возрастает на интервале, где ее производная положительна, и убывает, где производная отрицательна. Критические точки включаются в промежутки монотонности.

Ответ: промежуток возрастания: $[-2/3; 2]$; промежутки убывания: $(-\infty; -2/3]$ и $[2; +\infty]$.

Точки минимума и максимума

Точки экстремума находятся в критических точках, где производная меняет свой знак.

В точке $x = -2/3$ знак производной меняется с «−» на «+». Это означает, что в этой точке находится минимум функции. Таким образом, $x_{min} = -2/3$ — точка минимума.

В точке $x = 2$ знак производной меняется с «+» на «−». Это означает, что в этой точке находится максимум функции. Таким образом, $x_{max} = 2$ — точка максимума.

Ответ: точка минимума: $x = -2/3$; точка максимума: $x = 2$.

Помогло решение? Оставьте отзыв в комментариях ниже.

Присоединяйтесь к Телеграм-группе @gdz_by_belarus

Присоединиться

Мы подготовили для вас ответ c подробным объяснением домашего задания по алгебре за 11 класс, для упражнения номер 382 расположенного на странице 215 к учебнику 2020 года издания для учащихся школ и гимназий.

Теперь на нашем сайте ГДЗ.ТОП вы всегда легко и бесплатно найдёте условие с правильным ответом на вопрос «Как решить ДЗ» и «Как сделать» задание по алгебре к упражнению №382 (с. 215), авторов: Арефьева (Ирина Глебовна), Пирютко (Ольга Николаевна), учебного пособия издательства Народная асвета.