Номер 6, страница 235 - гдз по алгебре 11 класс учебник Арефьева, Пирютко

Алгебра, 11 класс Учебник, авторы: Арефьева Ирина Глебовна, Пирютко Ольга Николаевна, издательство Народная асвета, Минск, 2020, бирюзового цвета

Авторы: Арефьева И. Г., Пирютко О. Н.

Тип: Учебник

Издательство: Народная асвета

Год издания: 2020 - 2025

Цвет обложки: бирюзовый, зелёный с графиком

ISBN: 978-985-03-3165-6

Популярные ГДЗ в 11 классе

Тематические тесты. Тест 2. Иррациональные уравнения - номер 6, страница 235.

№6 (с. 235)
Условие. №6 (с. 235)
скриншот условия
Алгебра, 11 класс Учебник, авторы: Арефьева Ирина Глебовна, Пирютко Ольга Николаевна, издательство Народная асвета, Минск, 2020, бирюзового цвета, страница 235, номер 6, Условие

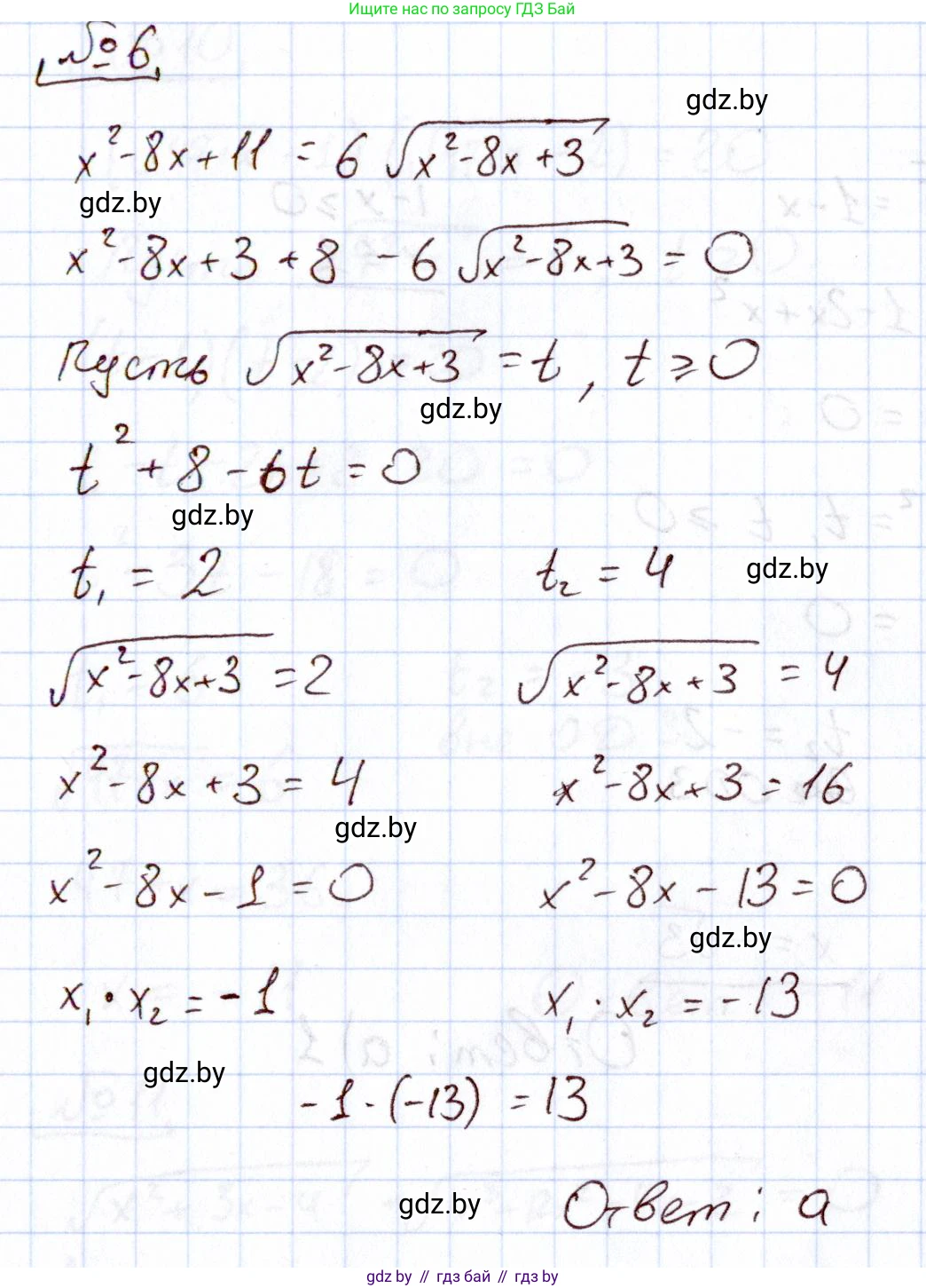
6. Найдите произведение корней уравнения

$x^2 - 8x + 11 = 6\sqrt{x^2 - 8x + 3}$.

а) 13;

б) 8;

в) 16;

г) -5,7;

д) 64.

Решение. №6 (с. 235)
Алгебра, 11 класс Учебник, авторы: Арефьева Ирина Глебовна, Пирютко Ольга Николаевна, издательство Народная асвета, Минск, 2020, бирюзового цвета, страница 235, номер 6, Решение
Решение 2. №6 (с. 235)

Для решения данного уравнения воспользуемся методом введения новой переменной.

Исходное уравнение: $x^2 - 8x + 11 = 6\sqrt{x^2 - 8x + 3}$.

Заметим, что левую часть можно преобразовать, выделив в ней подкоренное выражение: $x^2 - 8x + 11 = (x^2 - 8x + 3) + 8$.

Сделаем замену. Пусть $t = \sqrt{x^2 - 8x + 3}$. По определению арифметического квадратного корня, должно выполняться условие $t \ge 0$.

Тогда $t^2 = x^2 - 8x + 3$.

Подставим новую переменную в исходное уравнение: $(x^2 - 8x + 3) + 8 = 6\sqrt{x^2 - 8x + 3}$ $t^2 + 8 = 6t$.

Мы получили квадратное уравнение относительно $t$: $t^2 - 6t + 8 = 0$.

Решим его. По теореме Виета, сумма корней равна 6, а произведение равно 8. Легко подобрать корни: $t_1 = 2$ и $t_2 = 4$. Оба найденных значения удовлетворяют условию $t \ge 0$.

Теперь выполним обратную замену для каждого значения $t$.

Случай 1: $t = 2$
$\sqrt{x^2 - 8x + 3} = 2$.
Возведем обе части в квадрат: $x^2 - 8x + 3 = 4$
$x^2 - 8x - 1 = 0$.

Случай 2: $t = 4$
$\sqrt{x^2 - 8x + 3} = 4$.
Возведем обе части в квадрат: $x^2 - 8x + 3 = 16$
$x^2 - 8x - 13 = 0$.

Корни исходного уравнения являются объединением корней двух полученных квадратных уравнений. Нам нужно найти произведение всех корней.

Для уравнения $x^2 - 8x - 1 = 0$, по теореме Виета, произведение его корней $x_1 \cdot x_2$ равно свободному члену, то есть $-1$.

Для уравнения $x^2 - 8x - 13 = 0$, по теореме Виета, произведение его корней $x_3 \cdot x_4$ равно свободному члену, то есть $-13$.

Произведение всех корней исходного уравнения равно произведению произведений корней этих двух уравнений: $P = (x_1 \cdot x_2) \cdot (x_3 \cdot x_4) = (-1) \cdot (-13) = 13$.

Ответ: 13

Помогло решение? Оставьте отзыв в комментариях ниже.

Присоединяйтесь к Телеграм-группе @gdz_by_belarus

Присоединиться

Мы подготовили для вас ответ c подробным объяснением домашего задания по алгебре за 11 класс, для упражнения номер 6 расположенного на странице 235 к учебнику 2020 года издания для учащихся школ и гимназий.

Теперь на нашем сайте ГДЗ.ТОП вы всегда легко и бесплатно найдёте условие с правильным ответом на вопрос «Как решить ДЗ» и «Как сделать» задание по алгебре к упражнению №6 (с. 235), авторов: Арефьева (Ирина Глебовна), Пирютко (Ольга Николаевна), учебного пособия издательства Народная асвета.