Номер 170, страница 54 - гдз по геометрии 11 класс учебник Латотин, Чеботаревский

Геометрия, 11 класс Учебник, авторы: Латотин Леонид Александрович, Чеботаревский Борис Дмитриевич, Горбунова Ирина Владимировна, Цыбулько Оксана Евгеньевна, издательство Белорусская Энциклопедия имени Петруся Бровки, Минск, 2020, белого цвета

Авторы: Латотин Л. А., Чеботаревский Б. Д., Горбунова И. В., Цыбулько О. Е.

Тип: Учебник

Издательство: Белорусская Энциклопедия имени Петруся Бровки

Год издания: 2020 - 2025

Уровень обучения: базовый и повышенный

Цвет обложки: белый в клеточку

ISBN: 978-985-11-1251-3

Допущено Министерством образования Республики Беларусь

Популярные ГДЗ в 11 классе

Раздел 2. Пирамида и конус. Параграф 3. Пирамида - номер 170, страница 54.

№170 (с. 54)
Условие. №170 (с. 54)
скриншот условия
Геометрия, 11 класс Учебник, авторы: Латотин Леонид Александрович, Чеботаревский Борис Дмитриевич, Горбунова Ирина Владимировна, Цыбулько Оксана Евгеньевна, издательство Белорусская Энциклопедия имени Петруся Бровки, Минск, 2020, белого цвета, страница 54, номер 170, Условие

170. Найдите объем правильной треугольной пирамиды, у которой:

а) высота равна 15 см, а сторона основания — 12 см;

б) боковое ребро равно $b$ и составляет с плоскостью основания угол $\alpha$;

в) боковое ребро $b$ и составляет с прилежащей стороной основания угол $\alpha$;

г) боковое ребро равно $l$ и составляет с плоскостью основания угол $\phi$;

д) радиус окружности, описанной около боковой грани, равен $R$, а плоский угол при вершине основания — $\alpha$;

е) боковое ребро равно $l$, а плоский угол при вершине — $\beta$;

ж) плоский угол при вершине равен $\phi$, а сторона основания — $a$.

Решение 1. №170 (с. 54)
Геометрия, 11 класс Учебник, авторы: Латотин Леонид Александрович, Чеботаревский Борис Дмитриевич, Горбунова Ирина Владимировна, Цыбулько Оксана Евгеньевна, издательство Белорусская Энциклопедия имени Петруся Бровки, Минск, 2020, белого цвета, страница 54, номер 170, Решение 1 Геометрия, 11 класс Учебник, авторы: Латотин Леонид Александрович, Чеботаревский Борис Дмитриевич, Горбунова Ирина Владимировна, Цыбулько Оксана Евгеньевна, издательство Белорусская Энциклопедия имени Петруся Бровки, Минск, 2020, белого цвета, страница 54, номер 170, Решение 1 (продолжение 2) Геометрия, 11 класс Учебник, авторы: Латотин Леонид Александрович, Чеботаревский Борис Дмитриевич, Горбунова Ирина Владимировна, Цыбулько Оксана Евгеньевна, издательство Белорусская Энциклопедия имени Петруся Бровки, Минск, 2020, белого цвета, страница 54, номер 170, Решение 1 (продолжение 3) Геометрия, 11 класс Учебник, авторы: Латотин Леонид Александрович, Чеботаревский Борис Дмитриевич, Горбунова Ирина Владимировна, Цыбулько Оксана Евгеньевна, издательство Белорусская Энциклопедия имени Петруся Бровки, Минск, 2020, белого цвета, страница 54, номер 170, Решение 1 (продолжение 4) Геометрия, 11 класс Учебник, авторы: Латотин Леонид Александрович, Чеботаревский Борис Дмитриевич, Горбунова Ирина Владимировна, Цыбулько Оксана Евгеньевна, издательство Белорусская Энциклопедия имени Петруся Бровки, Минск, 2020, белого цвета, страница 54, номер 170, Решение 1 (продолжение 5) Геометрия, 11 класс Учебник, авторы: Латотин Леонид Александрович, Чеботаревский Борис Дмитриевич, Горбунова Ирина Владимировна, Цыбулько Оксана Евгеньевна, издательство Белорусская Энциклопедия имени Петруся Бровки, Минск, 2020, белого цвета, страница 54, номер 170, Решение 1 (продолжение 6) Геометрия, 11 класс Учебник, авторы: Латотин Леонид Александрович, Чеботаревский Борис Дмитриевич, Горбунова Ирина Владимировна, Цыбулько Оксана Евгеньевна, издательство Белорусская Энциклопедия имени Петруся Бровки, Минск, 2020, белого цвета, страница 54, номер 170, Решение 1 (продолжение 7) Геометрия, 11 класс Учебник, авторы: Латотин Леонид Александрович, Чеботаревский Борис Дмитриевич, Горбунова Ирина Владимировна, Цыбулько Оксана Евгеньевна, издательство Белорусская Энциклопедия имени Петруся Бровки, Минск, 2020, белого цвета, страница 54, номер 170, Решение 1 (продолжение 8) Геометрия, 11 класс Учебник, авторы: Латотин Леонид Александрович, Чеботаревский Борис Дмитриевич, Горбунова Ирина Владимировна, Цыбулько Оксана Евгеньевна, издательство Белорусская Энциклопедия имени Петруся Бровки, Минск, 2020, белого цвета, страница 54, номер 170, Решение 1 (продолжение 9)
Решение 2. №170 (с. 54)
Геометрия, 11 класс Учебник, авторы: Латотин Леонид Александрович, Чеботаревский Борис Дмитриевич, Горбунова Ирина Владимировна, Цыбулько Оксана Евгеньевна, издательство Белорусская Энциклопедия имени Петруся Бровки, Минск, 2020, белого цвета, страница 54, номер 170, Решение 2
Решение 3. №170 (с. 54)

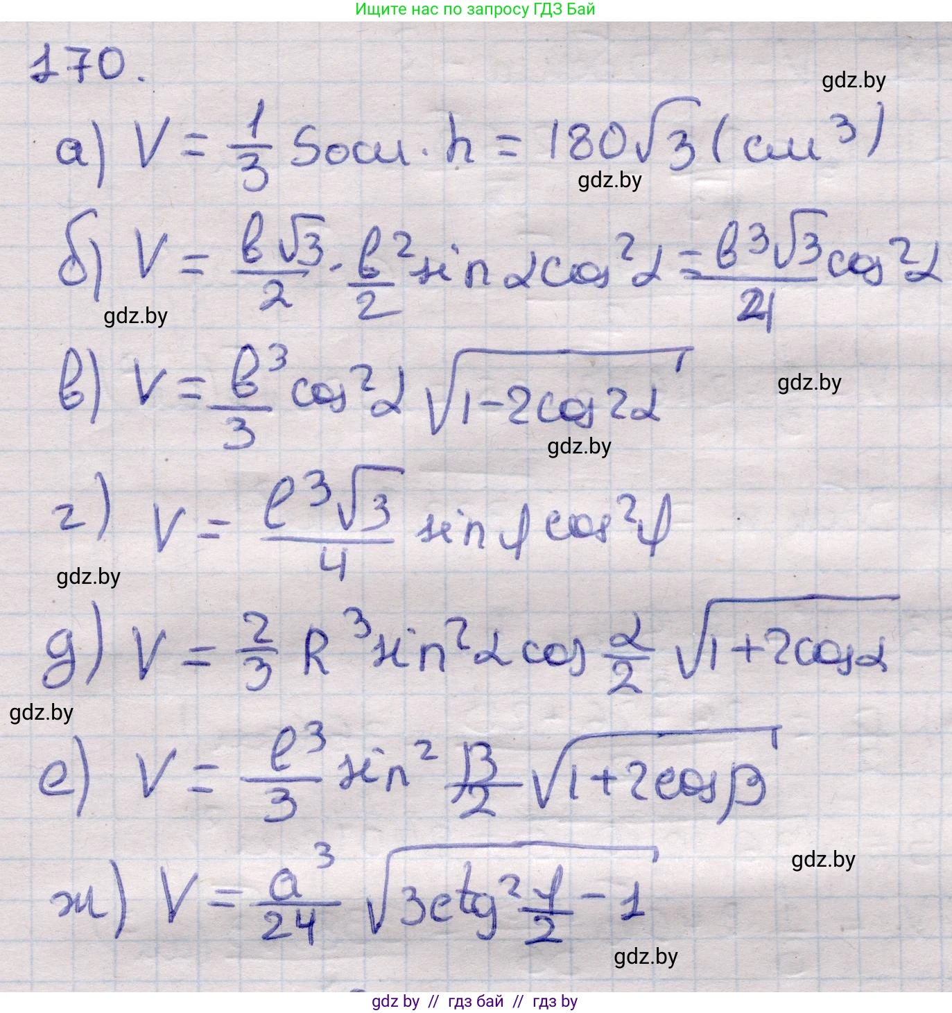
Общая формула для объема пирамиды: $V = \frac{1}{3} S_{осн} \cdot H$, где $S_{осн}$ — площадь основания, а $H$ — высота пирамиды. В правильной треугольной пирамиде основанием является равносторонний треугольник. Площадь равностороннего треугольника со стороной $a$ вычисляется по формуле $S_{осн} = \frac{a^2 \sqrt{3}}{4}$.

а) высота равна 15 см, а сторона основания — 12 см;

Дано: высота $H = 15$ см, сторона основания $a = 12$ см.

1. Найдем площадь основания:

$S_{осн} = \frac{a^2 \sqrt{3}}{4} = \frac{12^2 \sqrt{3}}{4} = \frac{144 \sqrt{3}}{4} = 36\sqrt{3}$ см2.

2. Найдем объем пирамиды:

$V = \frac{1}{3} S_{осн} \cdot H = \frac{1}{3} \cdot 36\sqrt{3} \cdot 15 = 180\sqrt{3}$ см3.

Ответ: $180\sqrt{3}$ см3.

б) боковое ребро равно b и составляет с плоскостью основания угол α;

1. Угол между боковым ребром и плоскостью основания — это угол между ребром и его проекцией на основание. Проекцией бокового ребра является радиус $R$ описанной окружности основания. Высота пирамиды $H$, боковое ребро $b$ и радиус $R$ образуют прямоугольный треугольник, где $b$ — гипотенуза, а $\alpha$ — угол между $b$ и $R$.

2. Из этого треугольника находим высоту $H$ и радиус $R$:

$H = b \sin\alpha$

$R = b \cos\alpha$

3. Зная радиус описанной окружности $R$, найдем сторону основания $a$:

$R = \frac{a\sqrt{3}}{3} \implies a = \frac{3R}{\sqrt{3}} = R\sqrt{3} = b\sqrt{3}\cos\alpha$.

4. Найдем площадь основания:

$S_{осн} = \frac{a^2 \sqrt{3}}{4} = \frac{(b\sqrt{3}\cos\alpha)^2 \sqrt{3}}{4} = \frac{3b^2\cos^2\alpha \sqrt{3}}{4}$.

5. Найдем объем пирамиды:

$V = \frac{1}{3} S_{осн} H = \frac{1}{3} \cdot \frac{3\sqrt{3}b^2\cos^2\alpha}{4} \cdot b\sin\alpha = \frac{\sqrt{3}}{4} b^3 \cos^2\alpha \sin\alpha$.

Ответ: $V = \frac{\sqrt{3}}{4} b^3 \cos^2\alpha \sin\alpha$.

в) боковое ребро b и составляет с прилежащей стороной основания угол α;

1. Рассмотрим боковую грань. Это равнобедренный треугольник с боковыми сторонами $b$ (боковые ребра пирамиды) и основанием $a$ (сторона основания пирамиды). Углы при основании этого треугольника равны $\alpha$.

2. По теореме синусов для боковой грани: $\frac{a}{\sin(180^\circ - 2\alpha)} = \frac{b}{\sin\alpha}$. Отсюда $a = \frac{b \sin(2\alpha)}{\sin\alpha} = \frac{b \cdot 2\sin\alpha\cos\alpha}{\sin\alpha} = 2b\cos\alpha$.

3. Найдем площадь основания:

$S_{осн} = \frac{a^2 \sqrt{3}}{4} = \frac{(2b\cos\alpha)^2\sqrt{3}}{4} = \frac{4b^2\cos^2\alpha\sqrt{3}}{4} = \sqrt{3}b^2\cos^2\alpha$.

4. Найдем высоту пирамиды $H$. Используем формулу $H^2 = b^2 - R^2$, где $R$ — радиус описанной окружности основания.$R = \frac{a\sqrt{3}}{3} = \frac{2b\cos\alpha\sqrt{3}}{3}$.$H^2 = b^2 - \left(\frac{2b\cos\alpha\sqrt{3}}{3}\right)^2 = b^2 - \frac{12b^2\cos^2\alpha}{9} = b^2\left(1 - \frac{4}{3}\cos^2\alpha\right) = \frac{b^2(3 - 4\cos^2\alpha)}{3}$.$H = b\sqrt{\frac{3-4\cos^2\alpha}{3}}$.

5. Найдем объем пирамиды:

$V = \frac{1}{3} S_{осн} H = \frac{1}{3} \cdot (\sqrt{3}b^2\cos^2\alpha) \cdot \left(b\sqrt{\frac{3-4\cos^2\alpha}{3}}\right) = \frac{b^3\cos^2\alpha\sqrt{3-4\cos^2\alpha}}{3}$.

Ответ: $V = \frac{1}{3}b^3\cos^2\alpha\sqrt{3-4\cos^2\alpha}$.

г) боковое ребро равно l и составляет с плоскостью основания угол φ;

Эта задача аналогична задаче (б) с заменой $b$ на $l$ и $\alpha$ на $\phi$.

1. Находим высоту $H$ и радиус описанной окружности основания $R$:

$H = l \sin\phi$

$R = l \cos\phi$

2. Находим сторону основания $a$:

$a = R\sqrt{3} = l\sqrt{3}\cos\phi$.

3. Находим площадь основания:

$S_{осн} = \frac{a^2 \sqrt{3}}{4} = \frac{(l\sqrt{3}\cos\phi)^2 \sqrt{3}}{4} = \frac{3l^2\cos^2\phi \sqrt{3}}{4}$.

4. Находим объем пирамиды:

$V = \frac{1}{3} S_{осн} H = \frac{1}{3} \cdot \frac{3\sqrt{3}l^2\cos^2\phi}{4} \cdot l\sin\phi = \frac{\sqrt{3}}{4} l^3 \cos^2\phi \sin\phi$.

Ответ: $V = \frac{\sqrt{3}}{4} l^3 \cos^2\phi \sin\phi$.

д) радиус окружности, описанной около боковой грани, равен R, а плоский угол при вершине основания — α;

1. Рассмотрим боковую грань. Это равнобедренный треугольник со стороной основания $a$, боковыми сторонами (ребрами пирамиды) $b$ и углами при основании $\alpha$. Радиус описанной около него окружности равен $R$.

2. По обобщенной теореме синусов для боковой грани: $\frac{b}{\sin\alpha} = 2R$, откуда $b = 2R\sin\alpha$.$\frac{a}{\sin(180^\circ - 2\alpha)} = 2R$, откуда $a = 2R\sin(2\alpha) = 4R\sin\alpha\cos\alpha$.

3. Находим площадь основания:

$S_{осн} = \frac{a^2 \sqrt{3}}{4} = \frac{(4R\sin\alpha\cos\alpha)^2\sqrt{3}}{4} = \frac{16R^2\sin^2\alpha\cos^2\alpha\sqrt{3}}{4} = 4\sqrt{3}R^2\sin^2\alpha\cos^2\alpha$.

4. Находим высоту пирамиды $H$. $H^2 = b^2 - R_{осн}^2$.$R_{осн} = \frac{a\sqrt{3}}{3} = \frac{4R\sin\alpha\cos\alpha\sqrt{3}}{3}$.$H^2 = (2R\sin\alpha)^2 - \left(\frac{4R\sin\alpha\cos\alpha\sqrt{3}}{3}\right)^2 = 4R^2\sin^2\alpha - \frac{16R^2\sin^2\alpha\cos^2\alpha \cdot 3}{9} = 4R^2\sin^2\alpha\left(1 - \frac{4}{3}\cos^2\alpha\right)$.$H = 2R\sin\alpha\sqrt{1 - \frac{4}{3}\cos^2\alpha} = 2R\sin\alpha \sqrt{\frac{3 - 4\cos^2\alpha}{3}}$.

5. Находим объем пирамиды:

$V = \frac{1}{3} S_{осн} H = \frac{1}{3} (4\sqrt{3}R^2\sin^2\alpha\cos^2\alpha) \left(2R\sin\alpha \frac{\sqrt{3 - 4\cos^2\alpha}}{\sqrt{3}}\right) = \frac{8}{3}R^3\sin^3\alpha\cos^2\alpha\sqrt{3-4\cos^2\alpha}$.

Ответ: $V = \frac{8}{3}R^3\sin^3\alpha\cos^2\alpha\sqrt{3-4\cos^2\alpha}$.

е) боковое ребро равно l, а плоский угол при вершине — β;

1. Плоский угол при вершине — это угол $\beta$ между боковыми ребрами в боковой грани. Боковая грань — равнобедренный треугольник с боковыми сторонами $l$ и углом $\beta$ между ними.

2. Найдем сторону основания $a$ по теореме косинусов:

$a^2 = l^2 + l^2 - 2 \cdot l \cdot l \cos\beta = 2l^2(1-\cos\beta) = 4l^2\sin^2(\beta/2)$.$a = 2l\sin(\beta/2)$.

3. Найдем площадь основания:

$S_{осн} = \frac{a^2\sqrt{3}}{4} = \frac{(4l^2\sin^2(\beta/2))\sqrt{3}}{4} = \sqrt{3}l^2\sin^2(\beta/2)$.

4. Найдем высоту пирамиды $H$. $H^2 = l^2 - R^2$.$R = \frac{a\sqrt{3}}{3} = \frac{2l\sin(\beta/2)\sqrt{3}}{3}$.$H^2 = l^2 - \left(\frac{2l\sin(\beta/2)\sqrt{3}}{3}\right)^2 = l^2 - \frac{4l^2\sin^2(\beta/2) \cdot 3}{9} = l^2\left(1-\frac{4}{3}\sin^2(\beta/2)\right) = \frac{l^2(3-4\sin^2(\beta/2))}{3}$.$H = l\sqrt{\frac{3-4\sin^2(\beta/2)}{3}}$.

5. Найдем объем пирамиды:

$V = \frac{1}{3}S_{осн}H = \frac{1}{3} (\sqrt{3}l^2\sin^2(\beta/2)) \left(l\sqrt{\frac{3-4\sin^2(\beta/2)}{3}}\right) = \frac{1}{3}l^3\sin^2(\beta/2)\sqrt{3-4\sin^2(\beta/2)}$.

Ответ: $V = \frac{1}{3}l^3\sin^2\left(\frac{\beta}{2}\right)\sqrt{3-4\sin^2\left(\frac{\beta}{2}\right)}$.

ж) плоский угол при вершине равен φ, а сторона основания — a.

1. Дана сторона основания $a$, поэтому площадь основания $S_{осн} = \frac{a^2\sqrt{3}}{4}$.

2. Найдем длину бокового ребра $l$. Как и в задаче (е), из боковой грани имеем $a = 2l\sin(\phi/2)$, откуда $l = \frac{a}{2\sin(\phi/2)}$.

3. Найдем высоту пирамиды $H$. $H^2 = l^2 - R^2$.$R = \frac{a\sqrt{3}}{3}$.$H^2 = \left(\frac{a}{2\sin(\phi/2)}\right)^2 - \left(\frac{a\sqrt{3}}{3}\right)^2 = \frac{a^2}{4\sin^2(\phi/2)} - \frac{a^2}{3} = a^2\left(\frac{1}{4\sin^2(\phi/2)} - \frac{1}{3}\right) = a^2\frac{3-4\sin^2(\phi/2)}{12\sin^2(\phi/2)}$.$H = a\sqrt{\frac{3-4\sin^2(\phi/2)}{12\sin^2(\phi/2)}} = \frac{a\sqrt{3-4\sin^2(\phi/2)}}{2\sqrt{3}\sin(\phi/2)}$.

4. Найдем объем пирамиды:

$V = \frac{1}{3} S_{осн} H = \frac{1}{3} \cdot \frac{a^2\sqrt{3}}{4} \cdot \frac{a\sqrt{3-4\sin^2(\phi/2)}}{2\sqrt{3}\sin(\phi/2)} = \frac{a^3\sqrt{3-4\sin^2(\phi/2)}}{24\sin(\phi/2)}$.

Ответ: $V = \frac{a^3\sqrt{3-4\sin^2(\phi/2)}}{24\sin(\phi/2)}$.

Помогло решение? Оставьте отзыв в комментариях ниже.

Присоединяйтесь к Телеграм-группе @gdz_by_belarus

Присоединиться

Мы подготовили для вас ответ c подробным объяснением домашего задания по геометрии за 11 класс, для упражнения номер 170 расположенного на странице 54 к учебнику 2020 года издания для учащихся школ и гимназий.

Теперь на нашем сайте ГДЗ.ТОП вы всегда легко и бесплатно найдёте условие с правильным ответом на вопрос «Как решить ДЗ» и «Как сделать» задание по геометрии к упражнению №170 (с. 54), авторов: Латотин (Леонид Александрович), Чеботаревский (Борис Дмитриевич), Горбунова (Ирина Владимировна), Цыбулько (Оксана Евгеньевна), базовый и повышенный уровень обучения учебного пособия издательства Белорусская Энциклопедия имени Петруся Бровки.