Номер 2.27, страница 20 - гдз по алгебре 7-9 класс сборник задач Арефьева, Пирютко
Авторы: Арефьева И. Г., Пирютко О. Н.
Тип: Сборник задач
Издательство: Народная асвета
Год издания: 2020 - 2025
Цвет обложки: синий с графиками
Допущено Министерством образования Республики Беларусь
Популярные ГДЗ в 7 классе
7 класс. Параграф 2. Степень с целым показателем и ее свойства - номер 2.27, страница 20.
№2.27 (с. 20)
Условие. №2.27 (с. 20)
скриншот условия
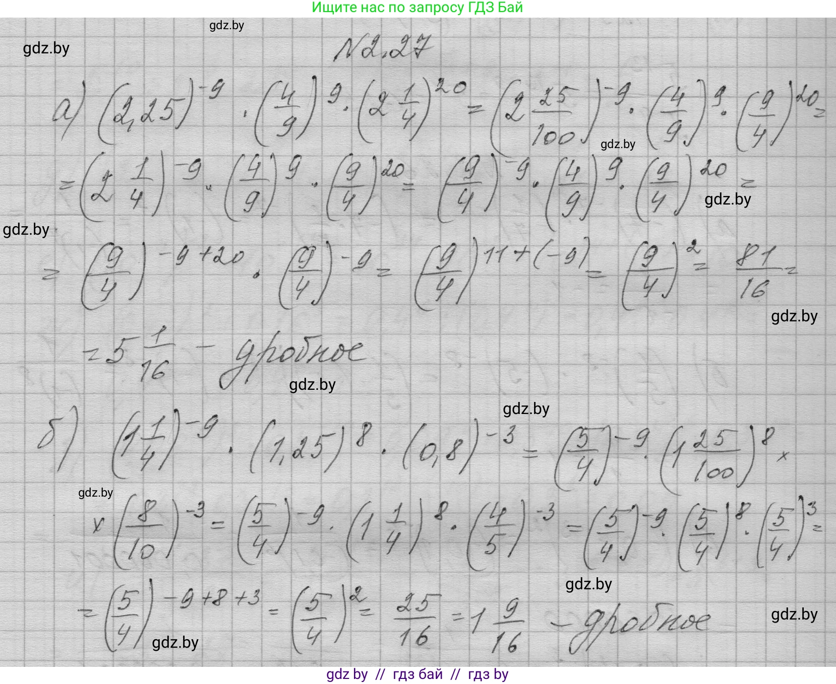
2.27. Определите, целым или дробным числом является значение выражения:
а) $(2,25)^{-9} \cdot \left(\frac{4}{9}\right)^{9} \cdot \left(2\frac{1}{4}\right)^{20}$;
б) $\left(1\frac{1}{4}\right)^{-9} \cdot (1,25)^{8} \cdot (0,8)^{-3}$.
Решение. №2.27 (с. 20)
Решение 2. №2.27 (с. 20)
а) Для того чтобы определить, является ли значение выражения $(2,25)^{-9} \cdot (\frac{4}{9})^9 \cdot (2\frac{1}{4})^{20}$ целым или дробным числом, необходимо его упростить.
Первым шагом приведем все числа к виду обыкновенных дробей.
Десятичную дробь $2,25$ представим как $2,25 = \frac{225}{100} = \frac{9}{4}$.
Смешанное число $2\frac{1}{4}$ представим как неправильную дробь: $2\frac{1}{4} = \frac{2 \cdot 4 + 1}{4} = \frac{9}{4}$.
Подставим полученные дроби в исходное выражение:
$ (\frac{9}{4})^{-9} \cdot (\frac{4}{9})^9 \cdot (\frac{9}{4})^{20} $
Для дальнейшего упрощения приведем все степени к одному основанию. Заметим, что $\frac{4}{9} = (\frac{9}{4})^{-1}$.
Используя свойство степени $(a^{-1})^n = a^{-n}$, преобразуем второй множитель:
$(\frac{4}{9})^9 = ((\frac{9}{4})^{-1})^9 = (\frac{9}{4})^{-9}$.
Теперь все выражение состоит из множителей с одинаковым основанием:
$ (\frac{9}{4})^{-9} \cdot (\frac{9}{4})^{-9} \cdot (\frac{9}{4})^{20} $
Используя свойство умножения степеней с одинаковым основанием $a^m \cdot a^n = a^{m+n}$, сложим показатели степеней:
$ (\frac{9}{4})^{-9 - 9 + 20} = (\frac{9}{4})^{2} $
Вычислим полученное значение:
$ (\frac{9}{4})^2 = \frac{9^2}{4^2} = \frac{81}{16} $
Результат $\frac{81}{16}$ является несократимой дробью, следовательно, это дробное число.
Ответ: дробное число.
б) Рассмотрим выражение $(1\frac{1}{4})^{-9} \cdot (1,25)^8 \cdot (0,8)^{-3}$ и определим, является ли его значение целым или дробным.
Для этого сначала преобразуем все числа в обыкновенные дроби.
$1\frac{1}{4} = \frac{1 \cdot 4 + 1}{4} = \frac{5}{4}$.
$1,25 = \frac{125}{100} = \frac{5}{4}$.
$0,8 = \frac{8}{10} = \frac{4}{5}$.
Подставим эти значения в выражение:
$ (\frac{5}{4})^{-9} \cdot (\frac{5}{4})^8 \cdot (\frac{4}{5})^{-3} $
Приведем все степени к одному основанию. Основание третьего множителя $\frac{4}{5}$ является обратным к основанию $\frac{5}{4}$, то есть $\frac{4}{5} = (\frac{5}{4})^{-1}$.
Используя свойство $(a^m)^n = a^{mn}$, преобразуем третий множитель:
$(\frac{4}{5})^{-3} = ((\frac{5}{4})^{-1})^{-3} = (\frac{5}{4})^{(-1) \cdot (-3)} = (\frac{5}{4})^{3}$.
Теперь выражение имеет вид:
$ (\frac{5}{4})^{-9} \cdot (\frac{5}{4})^8 \cdot (\frac{5}{4})^{3} $
Применяя свойство умножения степеней с одинаковым основанием, складываем показатели:
$ (\frac{5}{4})^{-9+8+3} = (\frac{5}{4})^2 $
Вычисляем результат:
$ (\frac{5}{4})^2 = \frac{5^2}{4^2} = \frac{25}{16} $
Полученное число $\frac{25}{16}$ — это несократимая дробь, то есть дробное число.
Ответ: дробное число.
Другие задания:
Помогло решение? Оставьте отзыв в комментариях ниже.
Присоединяйтесь к Телеграм-группе @gdz_by_belarus
ПрисоединитьсяМы подготовили для вас ответ c подробным объяснением домашего задания по алгебре за 7-9 класс, для упражнения номер 2.27 расположенного на странице 20 к сборнику задач 2020 года издания для учащихся школ и гимназий.
Теперь на нашем сайте ГДЗ.ТОП вы всегда легко и бесплатно найдёте условие с правильным ответом на вопрос «Как решить ДЗ» и «Как сделать» задание по алгебре к упражнению №2.27 (с. 20), авторов: Арефьева (Ирина Глебовна), Пирютко (Ольга Николаевна), учебного пособия издательства Народная асвета.