Номер 2.29, страница 20 - гдз по алгебре 7-9 класс сборник задач Арефьева, Пирютко

Алгебра, 7-9 класс Сборник задач, авторы: Арефьева Ирина Глебовна, Пирютко Ольга Николаевна, издательство Народная асвета, Минск, 2020

Авторы: Арефьева И. Г., Пирютко О. Н.

Тип: Сборник задач

Издательство: Народная асвета

Год издания: 2020 - 2025

Цвет обложки: синий с графиками

Допущено Министерством образования Республики Беларусь

Популярные ГДЗ в 7 классе

7 класс. Параграф 2. Степень с целым показателем и ее свойства - номер 2.29, страница 20.

№2.29 (с. 20)
Условие. №2.29 (с. 20)
скриншот условия
Алгебра, 7-9 класс Сборник задач, авторы: Арефьева Ирина Глебовна, Пирютко Ольга Николаевна, издательство Народная асвета, Минск, 2020, страница 20, номер 2.29, Условие

2.29. Найдите значение выражения:

a) $\frac{32^{-2} \cdot 9^{-4}}{6^{-10}}$;

б) $\frac{30^{-7}}{15^{-3} \cdot 20^{-4}}$;

В) $\frac{14^{-10} \cdot 7^{-5}}{49^{-4} \cdot 28^{-7}}$;

Г) $\frac{6^{-15} \cdot 4^{-3}}{2^{-23} \cdot 9^{-8}}$.

Решение. №2.29 (с. 20)
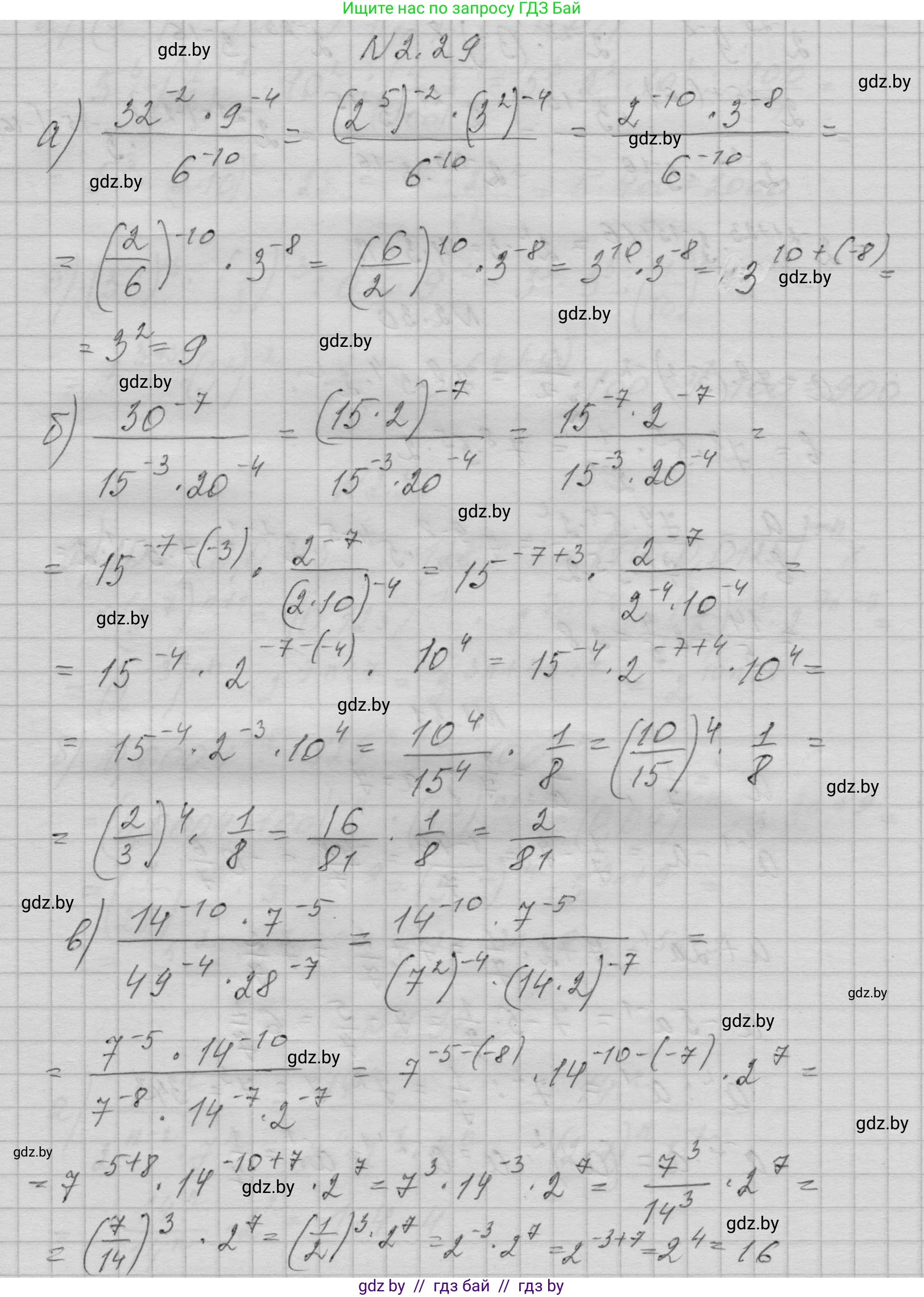
Алгебра, 7-9 класс Сборник задач, авторы: Арефьева Ирина Глебовна, Пирютко Ольга Николаевна, издательство Народная асвета, Минск, 2020, страница 20, номер 2.29, Решение Алгебра, 7-9 класс Сборник задач, авторы: Арефьева Ирина Глебовна, Пирютко Ольга Николаевна, издательство Народная асвета, Минск, 2020, страница 20, номер 2.29, Решение (продолжение 2)
Решение 2. №2.29 (с. 20)

а) Для того, чтобы найти значение выражения $\frac{32^{-2} \cdot 9^{-4}}{6^{-10}}$, представим основания степеней в виде произведений простых чисел.$32 = 2^5$, $9 = 3^2$, $6 = 2 \cdot 3$. Подставим эти значения в исходное выражение:$$ \frac{(2^5)^{-2} \cdot (3^2)^{-4}}{(2 \cdot 3)^{-10}} $$Применим свойства степеней $(a^m)^n = a^{mn}$ и $(ab)^n = a^n b^n$:$$ \frac{2^{5 \cdot (-2)} \cdot 3^{2 \cdot (-4)}}{2^{-10} \cdot 3^{-10}} = \frac{2^{-10} \cdot 3^{-8}}{2^{-10} \cdot 3^{-10}} $$Теперь применим свойство деления степеней с одинаковым основанием $\frac{a^m}{a^n} = a^{m-n}$:$$ 2^{-10 - (-10)} \cdot 3^{-8 - (-10)} = 2^{-10 + 10} \cdot 3^{-8 + 10} = 2^0 \cdot 3^2 $$Так как любое число в нулевой степени равно 1 ($a^0=1$), получаем:$$ 1 \cdot 9 = 9 $$Ответ: 9

б) Рассмотрим выражение $\frac{30^{-7}}{15^{-3} \cdot 20^{-4}}$. Разложим основания на простые множители:$30 = 2 \cdot 3 \cdot 5$, $15 = 3 \cdot 5$, $20 = 4 \cdot 5 = 2^2 \cdot 5$. Подставим в выражение:$$ \frac{(2 \cdot 3 \cdot 5)^{-7}}{(3 \cdot 5)^{-3} \cdot (2^2 \cdot 5)^{-4}} $$Раскроем скобки, используя свойства степеней:$$ \frac{2^{-7} \cdot 3^{-7} \cdot 5^{-7}}{3^{-3} \cdot 5^{-3} \cdot (2^2)^{-4} \cdot 5^{-4}} = \frac{2^{-7} \cdot 3^{-7} \cdot 5^{-7}}{3^{-3} \cdot 5^{-3} \cdot 2^{-8} \cdot 5^{-4}} $$Сгруппируем степени с одинаковыми основаниями в знаменателе, используя свойство $a^m \cdot a^n = a^{m+n}$:$$ \frac{2^{-7} \cdot 3^{-7} \cdot 5^{-7}}{2^{-8} \cdot 3^{-3} \cdot 5^{-3+(-4)}} = \frac{2^{-7} \cdot 3^{-7} \cdot 5^{-7}}{2^{-8} \cdot 3^{-3} \cdot 5^{-7}} $$Применим свойство деления степеней $\frac{a^m}{a^n} = a^{m-n}$:$$ 2^{-7 - (-8)} \cdot 3^{-7 - (-3)} \cdot 5^{-7 - (-7)} = 2^{-7+8} \cdot 3^{-7+3} \cdot 5^{-7+7} = 2^1 \cdot 3^{-4} \cdot 5^0 $$Вычислим результат, используя $a^{-n}=\frac{1}{a^n}$ и $a^0=1$:$$ 2 \cdot \frac{1}{3^4} \cdot 1 = 2 \cdot \frac{1}{81} = \frac{2}{81} $$Ответ: $\frac{2}{81}$

в) Найдем значение выражения $\frac{14^{-10} \cdot 7^{-5}}{49^{-4} \cdot 28^{-7}}$. Разложим основания на простые множители:$14 = 2 \cdot 7$, $49 = 7^2$, $28 = 4 \cdot 7 = 2^2 \cdot 7$. Подставим в выражение:$$ \frac{(2 \cdot 7)^{-10} \cdot 7^{-5}}{(7^2)^{-4} \cdot (2^2 \cdot 7)^{-7}} $$Применим свойства степеней:$$ \frac{2^{-10} \cdot 7^{-10} \cdot 7^{-5}}{7^{-8} \cdot 2^{-14} \cdot 7^{-7}} $$Сгруппируем степени с одинаковыми основаниями в числителе и знаменателе:$$ \frac{2^{-10} \cdot 7^{-10+(-5)}}{2^{-14} \cdot 7^{-8+(-7)}} = \frac{2^{-10} \cdot 7^{-15}}{2^{-14} \cdot 7^{-15}} $$Применим свойство деления степеней:$$ 2^{-10 - (-14)} \cdot 7^{-15 - (-15)} = 2^{-10+14} \cdot 7^{-15+15} = 2^4 \cdot 7^0 $$Вычислим результат:$$ 16 \cdot 1 = 16 $$Ответ: 16

г) Рассмотрим выражение $\frac{6^{-15} \cdot 4^{-3}}{2^{-23} \cdot 9^{-8}}$. Разложим основания на простые множители:$6 = 2 \cdot 3$, $4 = 2^2$, $9 = 3^2$. Подставим в выражение:$$ \frac{(2 \cdot 3)^{-15} \cdot (2^2)^{-3}}{2^{-23} \cdot (3^2)^{-8}} $$Раскроем скобки, используя свойства степеней:$$ \frac{2^{-15} \cdot 3^{-15} \cdot 2^{-6}}{2^{-23} \cdot 3^{-16}} $$Сгруппируем степени с одинаковыми основаниями в числителе:$$ \frac{2^{-15+(-6)} \cdot 3^{-15}}{2^{-23} \cdot 3^{-16}} = \frac{2^{-21} \cdot 3^{-15}}{2^{-23} \cdot 3^{-16}} $$Применим свойство деления степеней:$$ 2^{-21 - (-23)} \cdot 3^{-15 - (-16)} = 2^{-21+23} \cdot 3^{-15+16} = 2^2 \cdot 3^1 $$Вычислим результат:$$ 4 \cdot 3 = 12 $$Ответ: 12

Помогло решение? Оставьте отзыв в комментариях ниже.

Присоединяйтесь к Телеграм-группе @gdz_by_belarus

Присоединиться

Мы подготовили для вас ответ c подробным объяснением домашего задания по алгебре за 7-9 класс, для упражнения номер 2.29 расположенного на странице 20 к сборнику задач 2020 года издания для учащихся школ и гимназий.

Теперь на нашем сайте ГДЗ.ТОП вы всегда легко и бесплатно найдёте условие с правильным ответом на вопрос «Как решить ДЗ» и «Как сделать» задание по алгебре к упражнению №2.29 (с. 20), авторов: Арефьева (Ирина Глебовна), Пирютко (Ольга Николаевна), учебного пособия издательства Народная асвета.