Номер 35.3, страница 171 - гдз по алгебре 7-9 класс сборник задач Арефьева, Пирютко
Авторы: Арефьева И. Г., Пирютко О. Н.
Тип: Сборник задач
Издательство: Народная асвета
Год издания: 2020 - 2025
Цвет обложки: синий с графиками
Допущено Министерством образования Республики Беларусь
Популярные ГДЗ в 7 классе
9 класс. Параграф 35. Функции - номер 35.3, страница 171.
№35.3 (с. 171)
Условие. №35.3 (с. 171)
скриншот условия
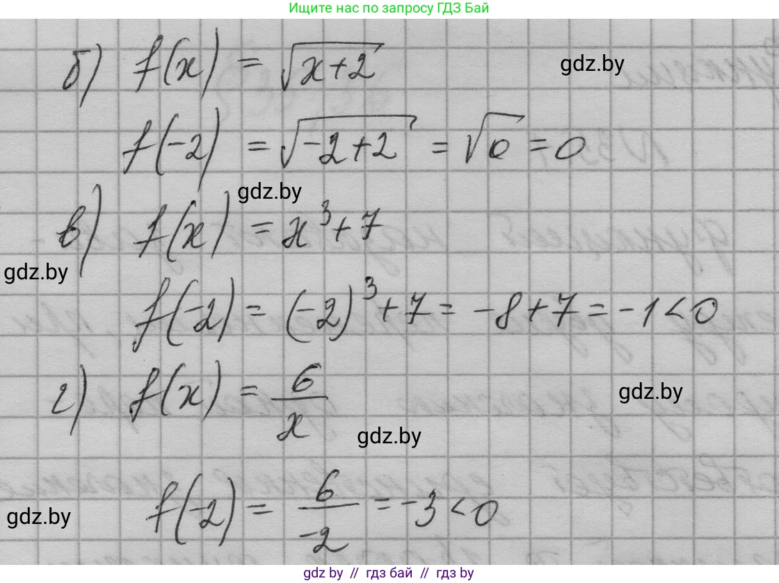
35.3. Сравните с нулем значение выражения $f(-2)$, если:
а) $f(x) = -x^2 + 1$;
б) $f(x) = \sqrt{x + 2}$;
в) $f(x) = x^3 + 7$;
г) $f(x) = \frac{6}{x}$.
Решение. №35.3 (с. 171)
Решение 2. №35.3 (с. 171)
а) Чтобы сравнить с нулем значение выражения $f(-2)$ для функции $f(x) = -x^2 + 1$, необходимо подставить значение $x = -2$ в формулу функции.
Вычисляем: $f(-2) = -(-2)^2 + 1 = -(4) + 1 = -4 + 1 = -3$.
Сравниваем полученный результат с нулем: $-3 < 0$.
Следовательно, значение выражения $f(-2)$ меньше нуля.
Ответ: $f(-2) < 0$.
б) Чтобы сравнить с нулем значение выражения $f(-2)$ для функции $f(x) = \sqrt{x+2}$, подставим $x = -2$ в формулу.
Вычисляем: $f(-2) = \sqrt{-2+2} = \sqrt{0} = 0$.
Сравниваем полученный результат с нулем: $0 = 0$.
Следовательно, значение выражения $f(-2)$ равно нулю.
Ответ: $f(-2) = 0$.
в) Чтобы сравнить с нулем значение выражения $f(-2)$ для функции $f(x) = x^3 + 7$, подставим $x = -2$ в формулу.
Вычисляем: $f(-2) = (-2)^3 + 7 = -8 + 7 = -1$.
Сравниваем полученный результат с нулем: $-1 < 0$.
Следовательно, значение выражения $f(-2)$ меньше нуля.
Ответ: $f(-2) < 0$.
г) Чтобы сравнить с нулем значение выражения $f(-2)$ для функции $f(x) = \frac{6}{x}$, подставим $x = -2$ в формулу.
Вычисляем: $f(-2) = \frac{6}{-2} = -3$.
Сравниваем полученный результат с нулем: $-3 < 0$.
Следовательно, значение выражения $f(-2)$ меньше нуля.
Ответ: $f(-2) < 0$.
Другие задания:
Помогло решение? Оставьте отзыв в комментариях ниже.
Присоединяйтесь к Телеграм-группе @gdz_by_belarus
ПрисоединитьсяМы подготовили для вас ответ c подробным объяснением домашего задания по алгебре за 7-9 класс, для упражнения номер 35.3 расположенного на странице 171 к сборнику задач 2020 года издания для учащихся школ и гимназий.
Теперь на нашем сайте ГДЗ.ТОП вы всегда легко и бесплатно найдёте условие с правильным ответом на вопрос «Как решить ДЗ» и «Как сделать» задание по алгебре к упражнению №35.3 (с. 171), авторов: Арефьева (Ирина Глебовна), Пирютко (Ольга Николаевна), учебного пособия издательства Народная асвета.