Номер 40.21, страница 201 - гдз по алгебре 7-9 класс сборник задач Арефьева, Пирютко

Алгебра, 7-9 класс Сборник задач, авторы: Арефьева Ирина Глебовна, Пирютко Ольга Николаевна, издательство Народная асвета, Минск, 2020

Авторы: Арефьева И. Г., Пирютко О. Н.

Тип: Сборник задач

Издательство: Народная асвета

Год издания: 2020 - 2025

Цвет обложки: синий с графиками

Допущено Министерством образования Республики Беларусь

Популярные ГДЗ в 7 классе

9 класс. Параграф 40. Геометрическая прогрессия - номер 40.21, страница 201.

№40.21 (с. 201)
Условие. №40.21 (с. 201)
скриншот условия
Алгебра, 7-9 класс Сборник задач, авторы: Арефьева Ирина Глебовна, Пирютко Ольга Николаевна, издательство Народная асвета, Минск, 2020, страница 201, номер 40.21, Условие

40.21. Последовательность $b_1$; $b_2$; $b_3$; \ldots — геометрическая прогрессия. Будет ли геометрической прогрессией последовательность:

а) $x_n = 3b_n$;

б) $x_n = 3b_n - 1$;

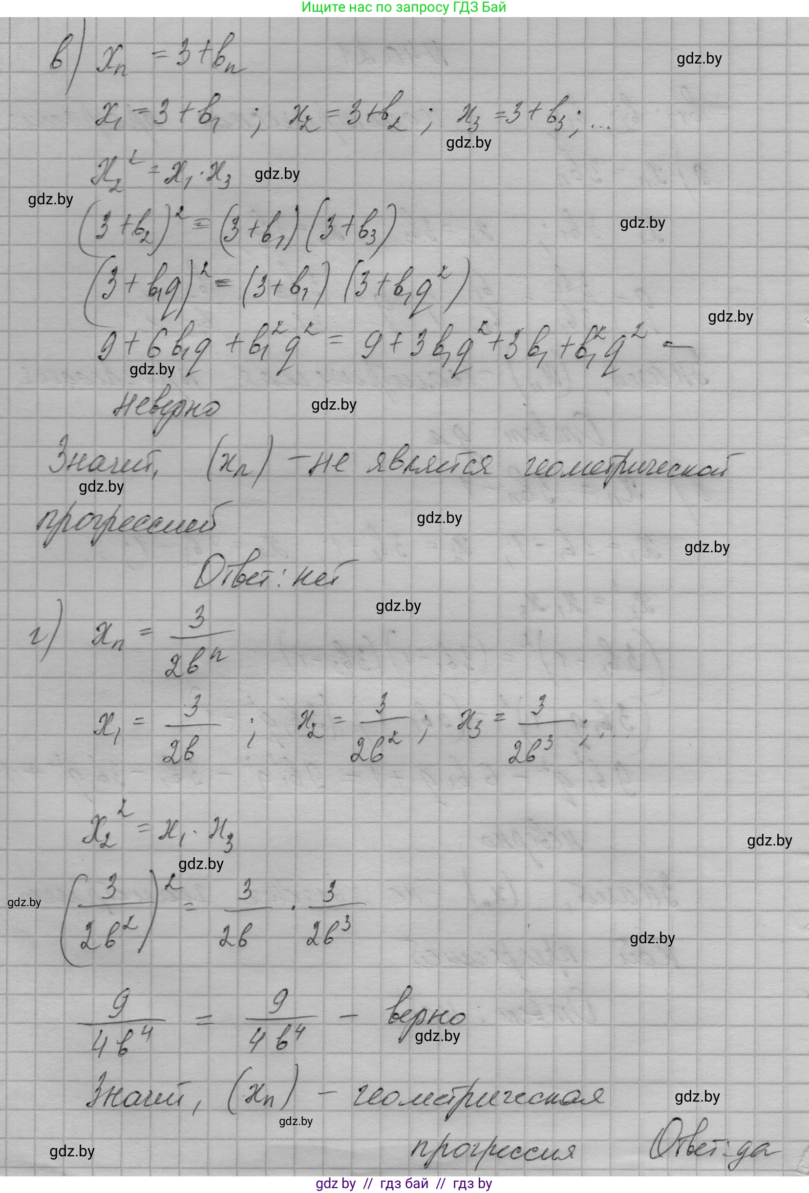
в) $x_n = 3 + b_n$;

г) $x_n = \frac{3}{2b^n}$?

Решение. №40.21 (с. 201)
Алгебра, 7-9 класс Сборник задач, авторы: Арефьева Ирина Глебовна, Пирютко Ольга Николаевна, издательство Народная асвета, Минск, 2020, страница 201, номер 40.21, Решение Алгебра, 7-9 класс Сборник задач, авторы: Арефьева Ирина Глебовна, Пирютко Ольга Николаевна, издательство Народная асвета, Минск, 2020, страница 201, номер 40.21, Решение (продолжение 2)
Решение 2. №40.21 (с. 201)

По определению, последовательность $(x_n)$ является геометрической прогрессией, если отношение каждого ее члена, начиная со второго, к предыдущему члену является постоянным числом. Это число называется знаменателем прогрессии. Обозначим его через $Q$. То есть, для всех $n \ge 1$ должно выполняться равенство $\frac{x_{n+1}}{x_n} = Q$, где $Q$ — константа (не зависит от $n$).

Нам дано, что последовательность $b_1, b_2, b_3, \dots$ — геометрическая прогрессия. Обозначим ее первый член через $b_1$, а знаменатель — через $q$. Тогда для любого $n \ge 1$ справедливо $b_{n+1} = b_n \cdot q$. Мы предполагаем, что $b_1 \neq 0$ и $q \neq 0$, чтобы все члены прогрессии были ненулевыми.

а) $x_n = 3b_n$

Найдем отношение $\frac{x_{n+1}}{x_n}$:

$\frac{x_{n+1}}{x_n} = \frac{3b_{n+1}}{3b_n} = \frac{b_{n+1}}{b_n}$

Поскольку $(b_n)$ — геометрическая прогрессия со знаменателем $q$, то $\frac{b_{n+1}}{b_n} = q$.

Следовательно, $\frac{x_{n+1}}{x_n} = q$. Так как $q$ является постоянной величиной (не зависит от $n$), последовательность $(x_n)$ является геометрической прогрессией с тем же знаменателем $q$.

Ответ: да.

б) $x_n = 3b_n - 1$

Найдем отношение $\frac{x_{n+1}}{x_n}$:

$\frac{x_{n+1}}{x_n} = \frac{3b_{n+1} - 1}{3b_n - 1} = \frac{3(b_n \cdot q) - 1}{3b_n - 1}$

Это отношение зависит от $b_n$, а значит, и от номера члена $n$ (если $q \neq 1$). Если $q \neq 1$, то $b_n$ не является константой, и отношение $\frac{x_{n+1}}{x_n}$ будет меняться с изменением $n$.

Для иллюстрации рассмотрим пример. Пусть $b_1=1$ и $q=2$. Тогда $b_1=1, b_2=2, b_3=4$.

Для последовательности $x_n$ получаем:

$x_1 = 3b_1 - 1 = 3(1) - 1 = 2$

$x_2 = 3b_2 - 1 = 3(2) - 1 = 5$

$x_3 = 3b_3 - 1 = 3(4) - 1 = 11$

Найдем отношения: $\frac{x_2}{x_1} = \frac{5}{2} = 2.5$ и $\frac{x_3}{x_2} = \frac{11}{5} = 2.2$.

Поскольку $2.5 \neq 2.2$, отношение не является постоянным. Следовательно, последовательность $(x_n)$ в общем случае не является геометрической прогрессией. Она будет таковой только в частном случае, когда $q=1$ (и $b_n$ постоянна).

Ответ: нет.

в) $x_n = 3 + b_n$

Найдем отношение $\frac{x_{n+1}}{x_n}$:

$\frac{x_{n+1}}{x_n} = \frac{3 + b_{n+1}}{3 + b_n} = \frac{3 + b_n q}{3 + b_n}$

Как и в предыдущем пункте, это отношение зависит от $n$ через $b_n$, поэтому в общем случае оно не является постоянным.

Рассмотрим пример. Пусть $b_1=1$ и $q=2$. Тогда $b_1=1, b_2=2, b_3=4$.

Для последовательности $x_n$ получаем:

$x_1 = 3 + b_1 = 3 + 1 = 4$

$x_2 = 3 + b_2 = 3 + 2 = 5$

$x_3 = 3 + b_3 = 3 + 4 = 7$

Найдем отношения: $\frac{x_2}{x_1} = \frac{5}{4} = 1.25$ и $\frac{x_3}{x_2} = \frac{7}{5} = 1.4$.

Поскольку $1.25 \neq 1.4$, отношение не является постоянным. Следовательно, последовательность $(x_n)$ в общем случае не является геометрической прогрессией.

Ответ: нет.

г) $x_n = \frac{3}{2b^n}$

В записи формулы $x_n = \frac{3}{2b^n}$ наиболее вероятна опечатка, и имелась в виду формула $x_n = \frac{3}{2b_n}$, где $n$ — индекс, а не степень. Решим задачу для этого случая.

Найдем отношение $\frac{x_{n+1}}{x_n}$ для последовательности $x_n = \frac{3}{2b_n}$:

$\frac{x_{n+1}}{x_n} = \frac{\frac{3}{2b_{n+1}}}{\frac{3}{2b_n}} = \frac{3}{2b_{n+1}} \cdot \frac{2b_n}{3} = \frac{b_n}{b_{n+1}}$

Поскольку $(b_n)$ — геометрическая прогрессия со знаменателем $q$, то $b_{n+1} = b_n \cdot q$, и, следовательно, $\frac{b_n}{b_{n+1}} = \frac{b_n}{b_n \cdot q} = \frac{1}{q}$.

Отношение $\frac{x_{n+1}}{x_n} = \frac{1}{q}$ является постоянной величиной (при $q \neq 0$). Значит, последовательность $(x_n)$ является геометрической прогрессией со знаменателем $Q = \frac{1}{q}$.

Ответ: да, если считать, что в условии опечатка и верная формула $x_n = \frac{3}{2b_n}$.

Помогло решение? Оставьте отзыв в комментариях ниже.

Присоединяйтесь к Телеграм-группе @gdz_by_belarus

Присоединиться

Мы подготовили для вас ответ c подробным объяснением домашего задания по алгебре за 7-9 класс, для упражнения номер 40.21 расположенного на странице 201 к сборнику задач 2020 года издания для учащихся школ и гимназий.

Теперь на нашем сайте ГДЗ.ТОП вы всегда легко и бесплатно найдёте условие с правильным ответом на вопрос «Как решить ДЗ» и «Как сделать» задание по алгебре к упражнению №40.21 (с. 201), авторов: Арефьева (Ирина Глебовна), Пирютко (Ольга Николаевна), учебного пособия издательства Народная асвета.