Номер 9.8, страница 38 - гдз по алгебре 7-9 класс сборник задач Арефьева, Пирютко
Авторы: Арефьева И. Г., Пирютко О. Н.
Тип: Сборник задач
Издательство: Народная асвета
Год издания: 2020 - 2025
Цвет обложки: синий с графиками
Допущено Министерством образования Республики Беларусь
Популярные ГДЗ в 7 классе
7 класс. Параграф 9. Сложение и вычитание многочленов - номер 9.8, страница 38.
№9.8 (с. 38)
Условие. №9.8 (с. 38)
скриншот условия
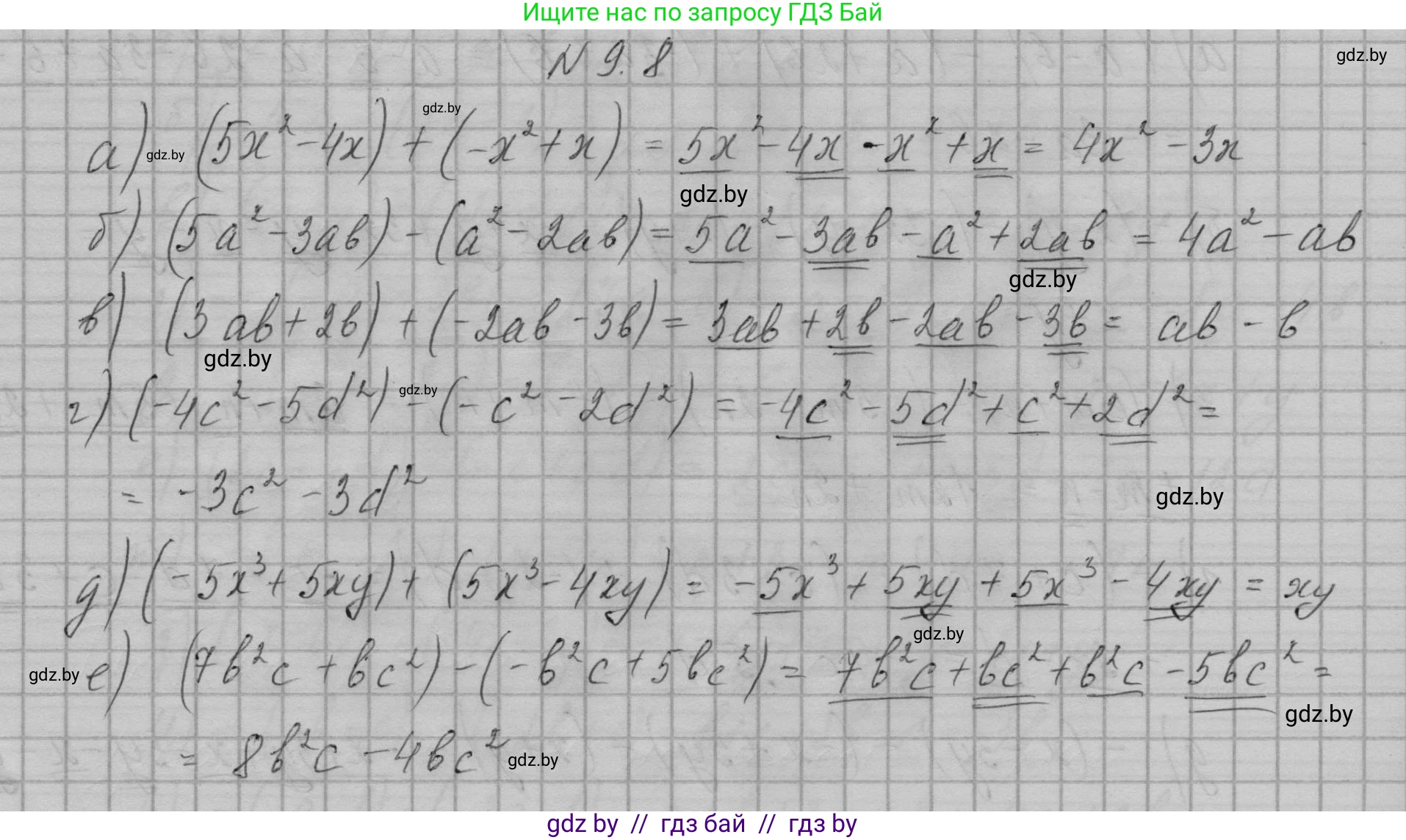
9.8. Выполните сложение или вычитание многочленов:
а) $(5x^2 - 4x) + (-x^2 + x);$
б) $(5a^2 - 3ab) - (a^2 - 2ab);$
в) $(3ab + 2b) + (-2ab - 3b);$
г) $(-4c^2 - 5d^2) - (-c^2 - 2d^2);$
д) $(-5x^3 + 5xy) + (5x^3 - 4xy);$
е) $(7b^2c + bc^2) - (-b^2c + 5bc^2).$
Решение. №9.8 (с. 38)
Решение 2. №9.8 (с. 38)
а) Для того чтобы сложить многочлены, раскроем скобки и приведем подобные слагаемые. Если перед скобкой стоит знак плюс, то знаки слагаемых в скобках не меняются.
$(5x^2 - 4x) + (-x^2 + x) = 5x^2 - 4x - x^2 + x$
Сгруппируем подобные слагаемые:
$(5x^2 - x^2) + (-4x + x) = 4x^2 - 3x$
Ответ: $4x^2 - 3x$
б) Для того чтобы вычесть многочлены, раскроем скобки и приведем подобные слагаемые. Если перед скобкой стоит знак минус, то знаки всех слагаемых в скобках меняются на противоположные.
$(5a^2 - 3ab) - (a^2 - 2ab) = 5a^2 - 3ab - a^2 + 2ab$
Сгруппируем подобные слагаемые:
$(5a^2 - a^2) + (-3ab + 2ab) = 4a^2 - ab$
Ответ: $4a^2 - ab$
в) Раскроем скобки и приведем подобные слагаемые:
$(3ab + 2b) + (-2ab - 3b) = 3ab + 2b - 2ab - 3b$
Сгруппируем подобные слагаемые:
$(3ab - 2ab) + (2b - 3b) = ab - b$
Ответ: $ab - b$
г) Раскроем скобки, меняя знаки во втором многочлене, и приведем подобные слагаемые:
$(-4c^2 - 5d^2) - (-c^2 - 2d^2) = -4c^2 - 5d^2 + c^2 + 2d^2$
Сгруппируем подобные слагаемые:
$(-4c^2 + c^2) + (-5d^2 + 2d^2) = -3c^2 - 3d^2$
Ответ: $-3c^2 - 3d^2$
д) Раскроем скобки и приведем подобные слагаемые:
$(-5x^3 + 5xy) + (5x^3 - 4xy) = -5x^3 + 5xy + 5x^3 - 4xy$
Сгруппируем подобные слагаемые:
$(-5x^3 + 5x^3) + (5xy - 4xy) = 0 + xy = xy$
Ответ: $xy$
е) Раскроем скобки, меняя знаки во втором многочлене, и приведем подобные слагаемые:
$(7b^2c + bc^2) - (-b^2c + 5bc^2) = 7b^2c + bc^2 + b^2c - 5bc^2$
Сгруппируем подобные слагаемые:
$(7b^2c + b^2c) + (bc^2 - 5bc^2) = 8b^2c - 4bc^2$
Ответ: $8b^2c - 4bc^2$
Другие задания:
Помогло решение? Оставьте отзыв в комментариях ниже.
Присоединяйтесь к Телеграм-группе @gdz_by_belarus
ПрисоединитьсяМы подготовили для вас ответ c подробным объяснением домашего задания по алгебре за 7-9 класс, для упражнения номер 9.8 расположенного на странице 38 к сборнику задач 2020 года издания для учащихся школ и гимназий.
Теперь на нашем сайте ГДЗ.ТОП вы всегда легко и бесплатно найдёте условие с правильным ответом на вопрос «Как решить ДЗ» и «Как сделать» задание по алгебре к упражнению №9.8 (с. 38), авторов: Арефьева (Ирина Глебовна), Пирютко (Ольга Николаевна), учебного пособия издательства Народная асвета.