Номер 9.19, страница 39 - гдз по алгебре 7-9 класс сборник задач Арефьева, Пирютко

Алгебра, 7-9 класс Сборник задач, авторы: Арефьева Ирина Глебовна, Пирютко Ольга Николаевна, издательство Народная асвета, Минск, 2020

Авторы: Арефьева И. Г., Пирютко О. Н.

Тип: Сборник задач

Издательство: Народная асвета

Год издания: 2020 - 2025

Цвет обложки: синий с графиками

Допущено Министерством образования Республики Беларусь

Популярные ГДЗ в 7 классе

7 класс. Параграф 9. Сложение и вычитание многочленов - номер 9.19, страница 39.

№9.19 (с. 39)
Условие. №9.19 (с. 39)
скриншот условия
Алгебра, 7-9 класс Сборник задач, авторы: Арефьева Ирина Глебовна, Пирютко Ольга Николаевна, издательство Народная асвета, Минск, 2020, страница 39, номер 9.19, Условие

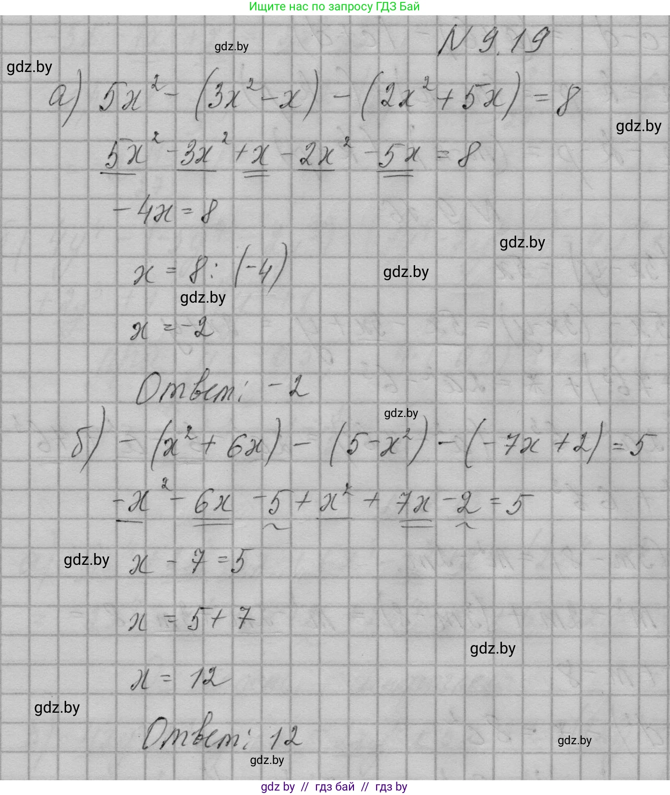
9.19*. Решите уравнение:

a) $5x^2 - (3x^2 - x) - (2x^2 + 5x) = 8;$

б) $-(x^2 + 6x) - (5 - x^2) - (-7x + 2) = 5.$

Решение. №9.19 (с. 39)
Алгебра, 7-9 класс Сборник задач, авторы: Арефьева Ирина Глебовна, Пирютко Ольга Николаевна, издательство Народная асвета, Минск, 2020, страница 39, номер 9.19, Решение
Решение 2. №9.19 (с. 39)

а) $5x^2 - (3x^2 - x) - (2x^2 + 5x) = 8$

Для решения уравнения сначала раскроем скобки. Если перед скобкой стоит знак минус, все знаки внутри скобок меняются на противоположные.

$5x^2 - 3x^2 + x - 2x^2 - 5x = 8$

Теперь приведем подобные слагаемые. Сгруппируем слагаемые с $x^2$ и с $x$.

$(5x^2 - 3x^2 - 2x^2) + (x - 5x) = 8$

$(5 - 3 - 2)x^2 + (1 - 5)x = 8$

$0 \cdot x^2 - 4x = 8$

Уравнение упрощается до линейного:

$-4x = 8$

Чтобы найти $x$, разделим обе части уравнения на -4.

$x = \frac{8}{-4}$

$x = -2$

Ответ: -2

б) $-(x^2 + 6x) - (5 - x^2) - (-7x + 2) = 5$

Раскроем все скобки. Так как перед каждой скобкой стоит знак минус, знаки всех слагаемых внутри скобок изменятся на противоположные.

$-x^2 - 6x - 5 + x^2 + 7x - 2 = 5$

Теперь приведем подобные слагаемые, сгруппировав их.

$(-x^2 + x^2) + (-6x + 7x) + (-5 - 2) = 5$

$0 \cdot x^2 + 1 \cdot x - 7 = 5$

Уравнение упрощается до линейного:

$x - 7 = 5$

Чтобы найти $x$, перенесем -7 в правую часть уравнения, изменив знак на противоположный.

$x = 5 + 7$

$x = 12$

Ответ: 12

Помогло решение? Оставьте отзыв в комментариях ниже.

Присоединяйтесь к Телеграм-группе @gdz_by_belarus

Присоединиться

Мы подготовили для вас ответ c подробным объяснением домашего задания по алгебре за 7-9 класс, для упражнения номер 9.19 расположенного на странице 39 к сборнику задач 2020 года издания для учащихся школ и гимназий.

Теперь на нашем сайте ГДЗ.ТОП вы всегда легко и бесплатно найдёте условие с правильным ответом на вопрос «Как решить ДЗ» и «Как сделать» задание по алгебре к упражнению №9.19 (с. 39), авторов: Арефьева (Ирина Глебовна), Пирютко (Ольга Николаевна), учебного пособия издательства Народная асвета.