Номер 14.31, страница 65 - гдз по алгебре 7-9 класс сборник задач Арефьева, Пирютко

Алгебра, 7-9 класс Сборник задач, авторы: Арефьева Ирина Глебовна, Пирютко Ольга Николаевна, издательство Народная асвета, Минск, 2020

Авторы: Арефьева И. Г., Пирютко О. Н.

Тип: Сборник задач

Издательство: Народная асвета

Год издания: 2020 - 2025

Цвет обложки: синий с графиками

Допущено Министерством образования Республики Беларусь

Популярные ГДЗ в 7 классе

7 класс. Параграф 14. Линейные уравнения с одной переменной. Решение текстовых задач с помощью линейных уравнений - номер 14.31, страница 65.

№14.31 (с. 65)
Условие. №14.31 (с. 65)
скриншот условия
Алгебра, 7-9 класс Сборник задач, авторы: Арефьева Ирина Глебовна, Пирютко Ольга Николаевна, издательство Народная асвета, Минск, 2020, страница 65, номер 14.31, Условие

14.31. Примените формулы сокращенного умножения и решите уравнение:

а) $(x + 7)^2 = x(x + 7) - 1;$

б) $16x^2 - (4x - 1)^2 = 5x - 1;$

в) $(x - 1)^2 - 7x = 15 + (x - 3)^2;$

г) $(x - 4)^2 - (x - 8)^2 = 32;$

д) $(3x - 1)^2 - 9(1 + x)^2 = 2;$

е) $(2x - 3)(x - 1) - 2(x + 5)^2 = x - 3;$

ж) $(1 - 4x)(1 + 4x) = 4 - 4(2x - 1)^2.$

Решение. №14.31 (с. 65)
Алгебра, 7-9 класс Сборник задач, авторы: Арефьева Ирина Глебовна, Пирютко Ольга Николаевна, издательство Народная асвета, Минск, 2020, страница 65, номер 14.31, Решение Алгебра, 7-9 класс Сборник задач, авторы: Арефьева Ирина Глебовна, Пирютко Ольга Николаевна, издательство Народная асвета, Минск, 2020, страница 65, номер 14.31, Решение (продолжение 2) Алгебра, 7-9 класс Сборник задач, авторы: Арефьева Ирина Глебовна, Пирютко Ольга Николаевна, издательство Народная асвета, Минск, 2020, страница 65, номер 14.31, Решение (продолжение 3)
Решение 2. №14.31 (с. 65)

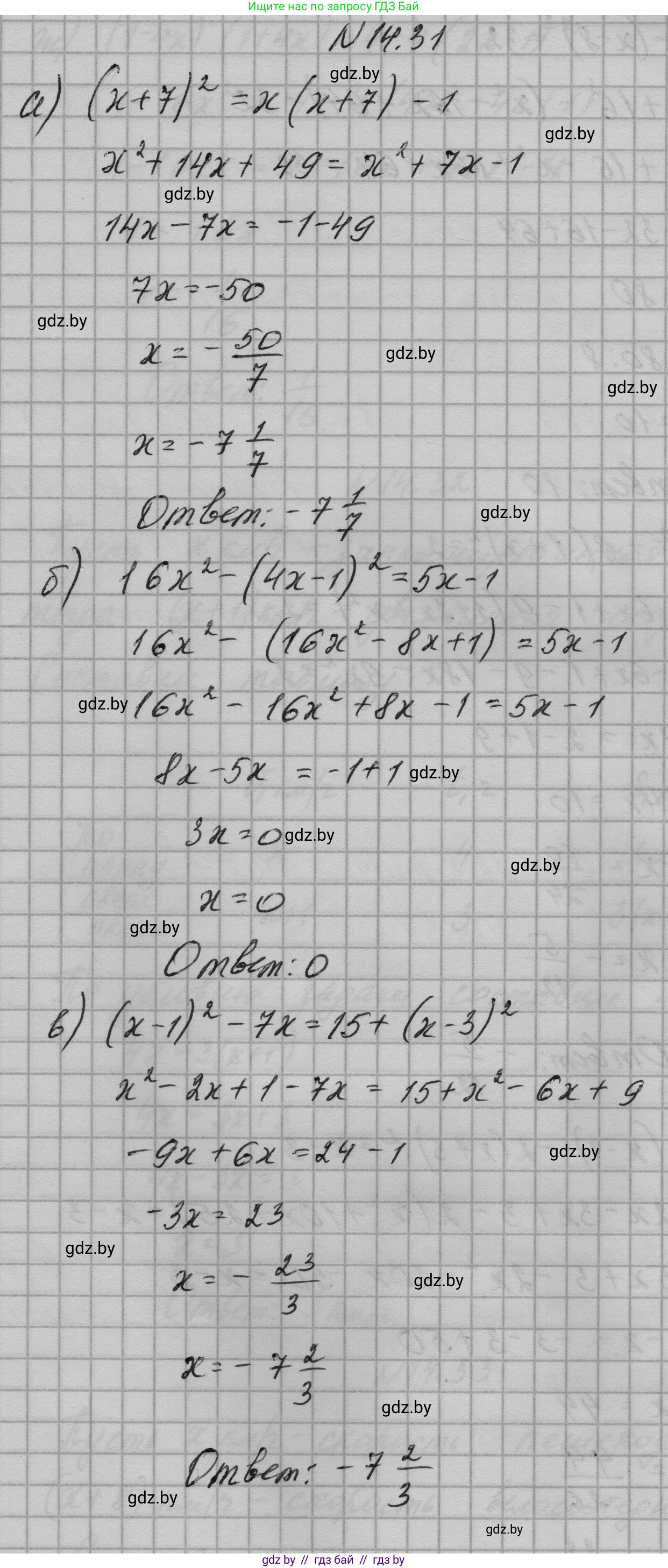
а) $(x + 7)^2 = x(x + 7) - 1$

Раскроем скобки. В левой части уравнения используем формулу квадрата суммы $(a+b)^2=a^2+2ab+b^2$. В правой части применим распределительный закон умножения.

$x^2 + 2 \cdot x \cdot 7 + 7^2 = x^2 + 7x - 1$

$x^2 + 14x + 49 = x^2 + 7x - 1$

Вычтем $x^2$ из обеих частей уравнения. Затем перенесем слагаемые с $x$ в левую часть, а числа — в правую.

$14x - 7x = -1 - 49$

Приведем подобные слагаемые:

$7x = -50$

Найдем $x$:

$x = -\frac{50}{7}$

Ответ: $x = -\frac{50}{7}$.

б) $16x^2 - (4x - 1)^2 = 5x - 1$

В левой части уравнения применим формулу разности квадратов $a^2-b^2=(a-b)(a+b)$, где $a = \sqrt{16x^2} = 4x$ и $b = 4x - 1$.

$(4x - (4x - 1))(4x + (4x - 1)) = 5x - 1$

Раскроем внутренние скобки:

$(4x - 4x + 1)(4x + 4x - 1) = 5x - 1$

$(1)(8x - 1) = 5x - 1$

$8x - 1 = 5x - 1$

Перенесем слагаемые с $x$ в левую часть, а числа — в правую.

$8x - 5x = -1 + 1$

$3x = 0$

$x = 0$

Ответ: $x = 0$.

в) $(x - 1)^2 - 7x = 15 + (x - 3)^2$

Раскроем скобки, используя формулу квадрата разности $(a-b)^2=a^2-2ab+b^2$.

$(x^2 - 2 \cdot x \cdot 1 + 1^2) - 7x = 15 + (x^2 - 2 \cdot x \cdot 3 + 3^2)$

$(x^2 - 2x + 1) - 7x = 15 + (x^2 - 6x + 9)$

Приведем подобные слагаемые в обеих частях уравнения:

$x^2 - 9x + 1 = x^2 - 6x + 24$

Вычтем $x^2$ из обеих частей. Перенесем слагаемые с $x$ в правую часть, а числа — в левую.

$1 - 24 = -6x + 9x$

$-23 = 3x$

$x = -\frac{23}{3}$

Ответ: $x = -\frac{23}{3}$.

г) $(x - 4)^2 - (x - 8)^2 = 32$

Применим формулу разности квадратов $a^2-b^2=(a-b)(a+b)$, где $a = x - 4$ и $b = x - 8$.

$((x - 4) - (x - 8))((x - 4) + (x - 8)) = 32$

Раскроем внутренние скобки:

$(x - 4 - x + 8)(x - 4 + x - 8) = 32$

Упростим выражения в скобках:

$(4)(2x - 12) = 32$

Разделим обе части уравнения на 4:

$2x - 12 = 8$

$2x = 8 + 12$

$2x = 20$

$x = 10$

Ответ: $x = 10$.

д) $(3x - 1)^2 - 9(1 + x)^2 = 2$

Представим $9(1 + x)^2$ как $(3(1+x))^2 = (3+3x)^2$. Теперь уравнение можно решить, используя формулу разности квадратов $a^2-b^2=(a-b)(a+b)$.

$(3x - 1)^2 - (3x + 3)^2 = 2$

$((3x - 1) - (3x + 3))((3x - 1) + (3x + 3)) = 2$

$(3x - 1 - 3x - 3)(3x - 1 + 3x + 3) = 2$

$(-4)(6x + 2) = 2$

Раскроем скобки:

$-24x - 8 = 2$

$-24x = 2 + 8$

$-24x = 10$

$x = -\frac{10}{24} = -\frac{5}{12}$

Ответ: $x = -\frac{5}{12}$.

е) $(2x - 3)(x - 1) - 2(x + 5)^2 = x - 3$

Раскроем скобки. Первое слагаемое — умножение многочленов, второе — квадрат суммы.

$(2x^2 - 2x - 3x + 3) - 2(x^2 + 2 \cdot x \cdot 5 + 5^2) = x - 3$

$(2x^2 - 5x + 3) - 2(x^2 + 10x + 25) = x - 3$

$2x^2 - 5x + 3 - 2x^2 - 20x - 50 = x - 3$

Приведем подобные слагаемые в левой части:

$(2x^2 - 2x^2) + (-5x - 20x) + (3 - 50) = x - 3$

$-25x - 47 = x - 3$

Перенесем слагаемые с $x$ в правую часть, а числа — в левую.

$-47 + 3 = x + 25x$

$-44 = 26x$

$x = -\frac{44}{26} = -\frac{22}{13}$

Ответ: $x = -\frac{22}{13}$.

ж) $(1 - 4x)(1 + 4x) = 4 - 4(2x - 1)^2$

В левой части применим формулу разности квадратов $(a-b)(a+b)=a^2-b^2$. В правой части раскроем квадрат разности $(a-b)^2=a^2-2ab+b^2$.

$1^2 - (4x)^2 = 4 - 4((2x)^2 - 2 \cdot 2x \cdot 1 + 1^2)$

$1 - 16x^2 = 4 - 4(4x^2 - 4x + 1)$

Раскроем скобки в правой части:

$1 - 16x^2 = 4 - 16x^2 + 16x - 4$

Приведем подобные слагаемые в правой части:

$1 - 16x^2 = -16x^2 + 16x$

Прибавим $16x^2$ к обеим частям уравнения:

$1 = 16x$

$x = \frac{1}{16}$

Ответ: $x = \frac{1}{16}$.

Помогло решение? Оставьте отзыв в комментариях ниже.

Присоединяйтесь к Телеграм-группе @gdz_by_belarus

Присоединиться

Мы подготовили для вас ответ c подробным объяснением домашего задания по алгебре за 7-9 класс, для упражнения номер 14.31 расположенного на странице 65 к сборнику задач 2020 года издания для учащихся школ и гимназий.

Теперь на нашем сайте ГДЗ.ТОП вы всегда легко и бесплатно найдёте условие с правильным ответом на вопрос «Как решить ДЗ» и «Как сделать» задание по алгебре к упражнению №14.31 (с. 65), авторов: Арефьева (Ирина Глебовна), Пирютко (Ольга Николаевна), учебного пособия издательства Народная асвета.