Номер 29.58, страница 139 - гдз по алгебре 7-9 класс сборник задач Арефьева, Пирютко
Авторы: Арефьева И. Г., Пирютко О. Н.
Тип: Сборник задач
Издательство: Народная асвета
Год издания: 2020 - 2025
Цвет обложки: синий с графиками
Допущено Министерством образования Республики Беларусь
Популярные ГДЗ в 7 классе
8 класс. Параграф 29. Квадратичная функция и ее свойства - номер 29.58, страница 139.
№29.58 (с. 139)
Условие. №29.58 (с. 139)
скриншот условия
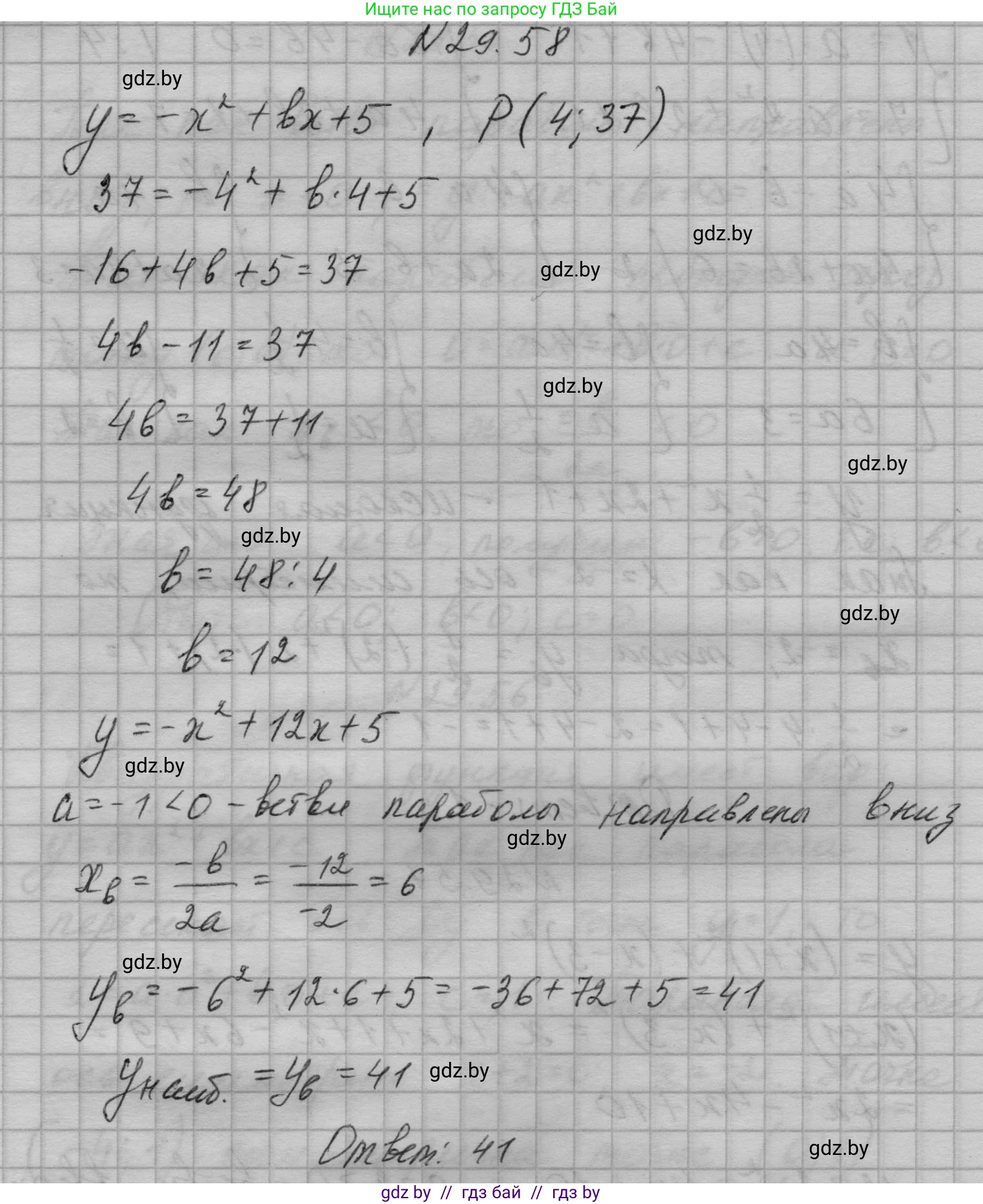
29.58*. Точка P(4; 37) принадлежит графику функции $y = -x^2 + bx + 5$. Найдите наибольшее значение функции.
Решение. №29.58 (с. 139)
Решение 2. №29.58 (с. 139)
Поскольку точка $P(4; 37)$ принадлежит графику функции $y = -x^2 + bx + 5$, ее координаты удовлетворяют уравнению функции. Подставим значения $x = 4$ и $y = 37$ в уравнение, чтобы найти неизвестный коэффициент $b$.
$37 = -(4)^2 + b \cdot 4 + 5$
$37 = -16 + 4b + 5$
$37 = 4b - 11$
$4b = 37 + 11$
$4b = 48$
$b = \frac{48}{4}$
$b = 12$
Теперь, когда мы знаем значение $b$, уравнение функции принимает вид: $y = -x^2 + 12x + 5$.
Это квадратичная функция, графиком которой является парабола. Коэффициент при $x^2$ равен $-1$, что меньше нуля, следовательно, ветви параболы направлены вниз. Это означает, что функция достигает своего наибольшего значения в вершине параболы.
Абсциссу вершины параболы ($x_в$) находим по формуле $x_в = -\frac{b}{2a}$:
$x_в = -\frac{12}{2 \cdot (-1)} = -\frac{12}{-2} = 6$
Чтобы найти наибольшее значение функции (ординату вершины $y_в$), подставим найденное значение $x_в = 6$ в уравнение функции:
$y_{наиб} = -(6)^2 + 12 \cdot 6 + 5$
$y_{наиб} = -36 + 72 + 5$
$y_{наиб} = 36 + 5$
$y_{наиб} = 41$
Ответ: 41
Другие задания:
Помогло решение? Оставьте отзыв в комментариях ниже.
Присоединяйтесь к Телеграм-группе @gdz_by_belarus
ПрисоединитьсяМы подготовили для вас ответ c подробным объяснением домашего задания по алгебре за 7-9 класс, для упражнения номер 29.58 расположенного на странице 139 к сборнику задач 2020 года издания для учащихся школ и гимназий.
Теперь на нашем сайте ГДЗ.ТОП вы всегда легко и бесплатно найдёте условие с правильным ответом на вопрос «Как решить ДЗ» и «Как сделать» задание по алгебре к упражнению №29.58 (с. 139), авторов: Арефьева (Ирина Глебовна), Пирютко (Ольга Николаевна), учебного пособия издательства Народная асвета.