Номер 1.34, страница 15 - гдз по алгебре 7 класс учебник Арефьева, Пирютко

Алгебра, 7 класс Учебник, авторы: Арефьева Ирина Глебовна, Пирютко Ольга Николаевна, издательство Народная асвета, Минск, 2022, зелёного цвета

Авторы: Арефьева И. Г., Пирютко О. Н.

Тип: Учебник

Издательство: Народная асвета

Год издания: 2022 - 2025

Цвет обложки: зелёный с графиком

ISBN: ISBN 978-985-03-3770-2

Допущено Министерством образования Республики Беларусь

Популярные ГДЗ в 7 классе

Глава 1. Степень с натуральным и целым показателями. Параграф 1. Степень с натуральным показателем и ее свойства - номер 1.34, страница 15.

№1.34 (с. 15)
Условие. №1.34 (с. 15)
скриншот условия
Алгебра, 7 класс Учебник, авторы: Арефьева Ирина Глебовна, Пирютко Ольга Николаевна, издательство Народная асвета, Минск, 2022, зелёного цвета, страница 15, номер 1.34, Условие

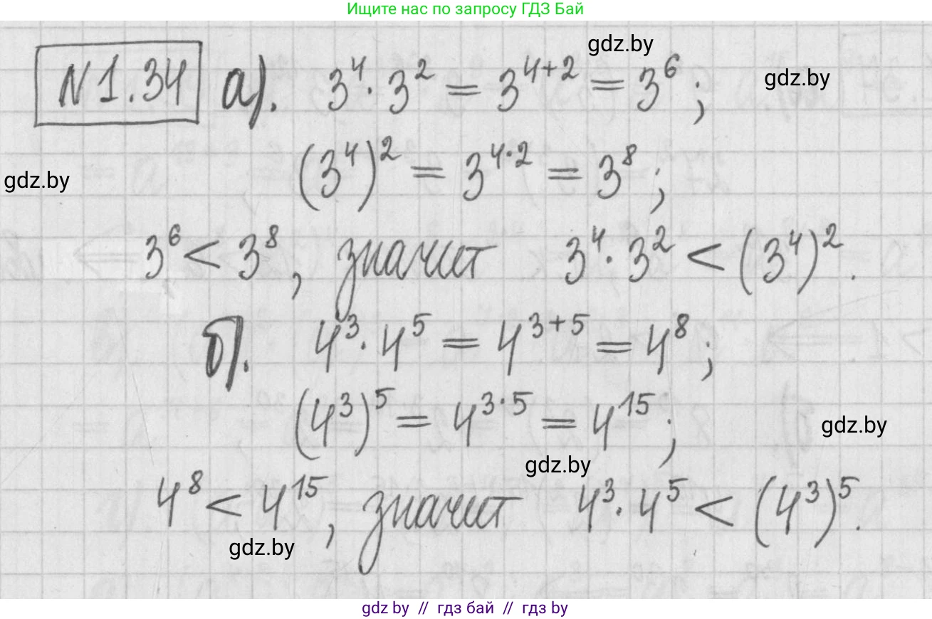
1.34. Сравните значения выражений:

а) $3^4 \cdot 3^2$ и $(3^4)^2$;

б) $4^3 \cdot 4^5$ и $(4^3)^5$.

Решение. №1.34 (с. 15)
Алгебра, 7 класс Учебник, авторы: Арефьева Ирина Глебовна, Пирютко Ольга Николаевна, издательство Народная асвета, Минск, 2022, зелёного цвета, страница 15, номер 1.34, Решение
Решение 2. №1.34 (с. 15)
Для решения данной задачи мы воспользуемся свойствами степеней для упрощения выражений, а затем сравним их.

a) $3^4 \cdot 3^2$ и $(3^4)^2$

Для сравнения значений этих выражений мы упростим каждое из них:

  1. Упростим первое выражение $3^4 \cdot 3^2$.
    Согласно свойству умножения степеней с одинаковым основанием, их показатели складываются ($a^m \cdot a^n = a^{m+n}$).
    $3^4 \cdot 3^2 = 3^{4+2} = 3^6$.
  2. Упростим второе выражение $(3^4)^2$.
    Согласно свойству возведения степени в степень, их показатели перемножаются ($(a^m)^n = a^{m \cdot n}$).
    $(3^4)^2 = 3^{4 \cdot 2} = 3^8$.

Теперь сравним полученные результаты: $3^6$ и $3^8$.
Так как основание степени (3) больше 1, то больше то значение, у которого больше показатель степени. Поскольку $6 < 8$, то $3^6 < 3^8$.
Следовательно, $3^4 \cdot 3^2 < (3^4)^2$.

Ответ: $3^4 \cdot 3^2 < (3^4)^2$.

б) $4^3 \cdot 4^5$ и $(4^3)^5$

Действуем аналогично предыдущему пункту:

  1. Упростим первое выражение $4^3 \cdot 4^5$.
    Используем правило умножения степеней с одинаковым основанием ($a^m \cdot a^n = a^{m+n}$):
    $4^3 \cdot 4^5 = 4^{3+5} = 4^8$.
  2. Упростим второе выражение $(4^3)^5$.
    Используем правило возведения степени в степень ($(a^m)^n = a^{m \cdot n}$):
    $(4^3)^5 = 4^{3 \cdot 5} = 4^{15}$.

Сравним полученные результаты: $4^8$ и $4^{15}$.
Основание степени (4) больше 1, значит, чем больше показатель, тем больше значение степени. Так как $8 < 15$, то $4^8 < 4^{15}$.
Следовательно, $4^3 \cdot 4^5 < (4^3)^5$.

Ответ: $4^3 \cdot 4^5 < (4^3)^5$.

Помогло решение? Оставьте отзыв в комментариях ниже.

Присоединяйтесь к Телеграм-группе @gdz_by_belarus

Присоединиться

Мы подготовили для вас ответ c подробным объяснением домашего задания по алгебре за 7 класс, для упражнения номер 1.34 расположенного на странице 15 к учебнику 2022 года издания для учащихся школ и гимназий.

Теперь на нашем сайте ГДЗ.ТОП вы всегда легко и бесплатно найдёте условие с правильным ответом на вопрос «Как решить ДЗ» и «Как сделать» задание по алгебре к упражнению №1.34 (с. 15), авторов: Арефьева (Ирина Глебовна), Пирютко (Ольга Николаевна), учебного пособия издательства Народная асвета.