Номер 1.39, страница 15 - гдз по алгебре 7 класс учебник Арефьева, Пирютко

Алгебра, 7 класс Учебник, авторы: Арефьева Ирина Глебовна, Пирютко Ольга Николаевна, издательство Народная асвета, Минск, 2022, зелёного цвета

Авторы: Арефьева И. Г., Пирютко О. Н.

Тип: Учебник

Издательство: Народная асвета

Год издания: 2022 - 2025

Цвет обложки: зелёный с графиком

ISBN: ISBN 978-985-03-3770-2

Допущено Министерством образования Республики Беларусь

Популярные ГДЗ в 7 классе

Глава 1. Степень с натуральным и целым показателями. Параграф 1. Степень с натуральным показателем и ее свойства - номер 1.39, страница 15.

№1.39 (с. 15)
Условие. №1.39 (с. 15)
скриншот условия
Алгебра, 7 класс Учебник, авторы: Арефьева Ирина Глебовна, Пирютко Ольга Николаевна, издательство Народная асвета, Минск, 2022, зелёного цвета, страница 15, номер 1.39, Условие

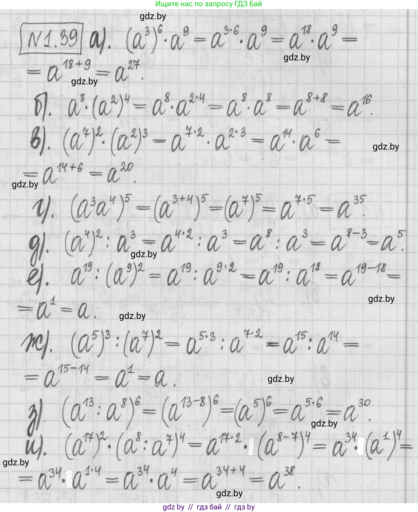
1.39. Представьте в виде степени с основанием a выражение:

а) $(a^3)^6 \cdot a^9;$

б) $a^8 \cdot (a^2)^4;$

в) $(a^7)^2 \cdot (a^2)^3;$

г) $(a^3 a^4)^5;$

д) $(a^4)^2 : a^3;$

е) $a^{19} : (a^9)^2;$

ж) $(a^5)^3 : (a^7)^2;$

з) $(a^{13} : a^8)^6;$

и) $(a^{17})^2 \cdot (a^8 : a^7)^4.$

Решение. №1.39 (с. 15)
Алгебра, 7 класс Учебник, авторы: Арефьева Ирина Глебовна, Пирютко Ольга Николаевна, издательство Народная асвета, Минск, 2022, зелёного цвета, страница 15, номер 1.39, Решение
Решение 2. №1.39 (с. 15)

Для решения данной задачи необходимо использовать следующие свойства степеней:

  • При умножении степеней с одинаковым основанием их показатели складываются: $a^m \cdot a^n = a^{m+n}$
  • При делении степеней с одинаковым основанием их показатели вычитаются: $a^m : a^n = a^{m-n}$
  • При возведении степени в степень показатели перемножаются: $(a^m)^n = a^{m \cdot n}$

а)Упростим выражение $(a^3)^6 \cdot a^9$.
Сначала возведем степень в степень: $(a^3)^6 = a^{3 \cdot 6} = a^{18}$.
Теперь умножим степени с одинаковым основанием: $a^{18} \cdot a^9 = a^{18+9} = a^{27}$.
Ответ: $a^{27}$.

б)Упростим выражение $a^8 \cdot (a^2)^4$.
Сначала возведем степень в степень: $(a^2)^4 = a^{2 \cdot 4} = a^8$.
Теперь умножим степени: $a^8 \cdot a^8 = a^{8+8} = a^{16}$.
Ответ: $a^{16}$.

в)Упростим выражение $(a^7)^2 \cdot (a^2)^3$.
Возведем в степень каждую часть выражения: $(a^7)^2 = a^{7 \cdot 2} = a^{14}$ и $(a^2)^3 = a^{2 \cdot 3} = a^6$.
Теперь перемножим результаты: $a^{14} \cdot a^6 = a^{14+6} = a^{20}$.
Ответ: $a^{20}$.

г)Упростим выражение $(a^3 a^4)^5$.
Сначала выполним действие в скобках, используя правило умножения степеней: $a^3 \cdot a^4 = a^{3+4} = a^7$.
Теперь возведем результат в степень: $(a^7)^5 = a^{7 \cdot 5} = a^{35}$.
Ответ: $a^{35}$.

д)Упростим выражение $(a^4)^2 : a^3$.
Сначала возведем степень в степень: $(a^4)^2 = a^{4 \cdot 2} = a^8$.
Теперь выполним деление степеней с одинаковым основанием: $a^8 : a^3 = a^{8-3} = a^5$.
Ответ: $a^5$.

е)Упростим выражение $a^{19} : (a^9)^2$.
Сначала возведем степень в степень: $(a^9)^2 = a^{9 \cdot 2} = a^{18}$.
Теперь выполним деление: $a^{19} : a^{18} = a^{19-18} = a^1 = a$.
Ответ: $a$.

ж)Упростим выражение $(a^5)^3 : (a^7)^2$.
Возведем в степень каждую часть выражения: $(a^5)^3 = a^{5 \cdot 3} = a^{15}$ и $(a^7)^2 = a^{7 \cdot 2} = a^{14}$.
Теперь выполним деление: $a^{15} : a^{14} = a^{15-14} = a^1 = a$.
Ответ: $a$.

з)Упростим выражение $(a^{13} : a^8)^6$.
Сначала выполним действие в скобках, используя правило деления степеней: $a^{13} : a^8 = a^{13-8} = a^5$.
Теперь возведем результат в степень: $(a^5)^6 = a^{5 \cdot 6} = a^{30}$.
Ответ: $a^{30}$.

и)Упростим выражение $(a^{17})^2 \cdot (a^8 : a^7)^4$.
Упростим каждую часть выражения по отдельности.
Первая часть: $(a^{17})^2 = a^{17 \cdot 2} = a^{34}$.
Вторая часть (сначала в скобках): $a^8 : a^7 = a^{8-7} = a^1 = a$.
Теперь возводим вторую часть в степень: $(a)^4 = a^4$.
Наконец, перемножим результаты: $a^{34} \cdot a^4 = a^{34+4} = a^{38}$.
Ответ: $a^{38}$.

Помогло решение? Оставьте отзыв в комментариях ниже.

Присоединяйтесь к Телеграм-группе @gdz_by_belarus

Присоединиться

Мы подготовили для вас ответ c подробным объяснением домашего задания по алгебре за 7 класс, для упражнения номер 1.39 расположенного на странице 15 к учебнику 2022 года издания для учащихся школ и гимназий.

Теперь на нашем сайте ГДЗ.ТОП вы всегда легко и бесплатно найдёте условие с правильным ответом на вопрос «Как решить ДЗ» и «Как сделать» задание по алгебре к упражнению №1.39 (с. 15), авторов: Арефьева (Ирина Глебовна), Пирютко (Ольга Николаевна), учебного пособия издательства Народная асвета.