Номер 1.37, страница 15 - гдз по алгебре 7 класс учебник Арефьева, Пирютко

Алгебра, 7 класс Учебник, авторы: Арефьева Ирина Глебовна, Пирютко Ольга Николаевна, издательство Народная асвета, Минск, 2022, зелёного цвета

Авторы: Арефьева И. Г., Пирютко О. Н.

Тип: Учебник

Издательство: Народная асвета

Год издания: 2022 - 2025

Цвет обложки: зелёный с графиком

ISBN: ISBN 978-985-03-3770-2

Допущено Министерством образования Республики Беларусь

Популярные ГДЗ в 7 классе

Глава 1. Степень с натуральным и целым показателями. Параграф 1. Степень с натуральным показателем и ее свойства - номер 1.37, страница 15.

№1.37 (с. 15)
Условие. №1.37 (с. 15)
скриншот условия
Алгебра, 7 класс Учебник, авторы: Арефьева Ирина Глебовна, Пирютко Ольга Николаевна, издательство Народная асвета, Минск, 2022, зелёного цвета, страница 15, номер 1.37, Условие

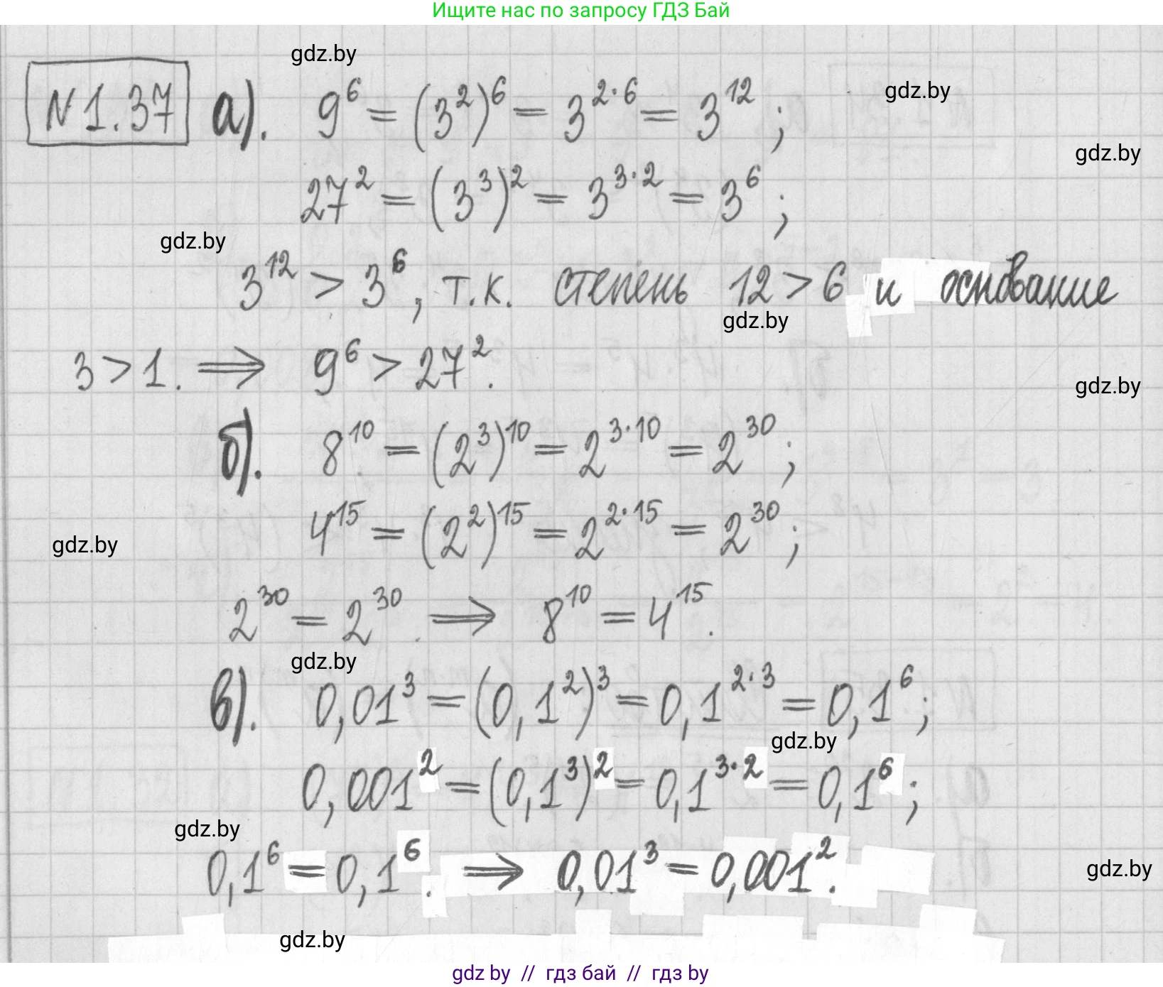
1.37. Сравните значения степеней, представив их в виде степеней с одинаковыми основаниями:

а) $9^6$ и $27^2$;

б) $8^{10}$ и $4^{15}$;

в) $0,01^3$ и $0,001^2$.

Решение. №1.37 (с. 15)
Алгебра, 7 класс Учебник, авторы: Арефьева Ирина Глебовна, Пирютко Ольга Николаевна, издательство Народная асвета, Минск, 2022, зелёного цвета, страница 15, номер 1.37, Решение
Решение 2. №1.37 (с. 15)

Для сравнения значений степеней необходимо привести их к одинаковому основанию. Затем, если основание больше 1, большей будет та степень, у которой показатель больше. Если основание от 0 до 1, то большей будет та степень, у которой показатель меньше.

а) 9⁶ и 27²

Приведем степени к общему основанию 3, так как $9 = 3^2$ и $27 = 3^3$.
$9^6 = (3^2)^6 = 3^{2 \cdot 6} = 3^{12}$
$27^2 = (3^3)^2 = 3^{3 \cdot 2} = 3^6$
Теперь сравним $3^{12}$ и $3^6$. Так как основание $3 > 1$ и показатель $12 > 6$, то $3^{12} > 3^6$.
Следовательно, $9^6 > 27^2$.
Ответ: $9^6 > 27^2$.

б) 8¹⁰ и 4¹⁵

Приведем степени к общему основанию 2, так как $8 = 2^3$ и $4 = 2^2$.
$8^{10} = (2^3)^{10} = 2^{3 \cdot 10} = 2^{30}$
$4^{15} = (2^2)^{15} = 2^{2 \cdot 15} = 2^{30}$
Сравниваем $2^{30}$ и $2^{30}$. Значения равны.
Следовательно, $8^{10} = 4^{15}$.
Ответ: $8^{10} = 4^{15}$.

в) 0,01³ и 0,001²

Приведем степени к общему основанию 0,1, так как $0,01 = (0,1)^2$ и $0,001 = (0,1)^3$.
$0,01^3 = ((0,1)^2)^3 = (0,1)^{2 \cdot 3} = (0,1)^6$
$0,001^2 = ((0,1)^3)^2 = (0,1)^{3 \cdot 2} = (0,1)^6$
Сравниваем $(0,1)^6$ и $(0,1)^6$. Значения равны.
Следовательно, $0,01^3 = 0,001^2$.
Ответ: $0,01^3 = 0,001^2$.

Помогло решение? Оставьте отзыв в комментариях ниже.

Присоединяйтесь к Телеграм-группе @gdz_by_belarus

Присоединиться

Мы подготовили для вас ответ c подробным объяснением домашего задания по алгебре за 7 класс, для упражнения номер 1.37 расположенного на странице 15 к учебнику 2022 года издания для учащихся школ и гимназий.

Теперь на нашем сайте ГДЗ.ТОП вы всегда легко и бесплатно найдёте условие с правильным ответом на вопрос «Как решить ДЗ» и «Как сделать» задание по алгебре к упражнению №1.37 (с. 15), авторов: Арефьева (Ирина Глебовна), Пирютко (Ольга Николаевна), учебного пособия издательства Народная асвета.