Номер 1.92, страница 21 - гдз по алгебре 7 класс учебник Арефьева, Пирютко

Алгебра, 7 класс Учебник, авторы: Арефьева Ирина Глебовна, Пирютко Ольга Николаевна, издательство Народная асвета, Минск, 2022, зелёного цвета

Авторы: Арефьева И. Г., Пирютко О. Н.

Тип: Учебник

Издательство: Народная асвета

Год издания: 2022 - 2025

Цвет обложки: зелёный с графиком

ISBN: ISBN 978-985-03-3770-2

Допущено Министерством образования Республики Беларусь

Популярные ГДЗ в 7 классе

Глава 1. Степень с натуральным и целым показателями. Параграф 1. Степень с натуральным показателем и ее свойства - номер 1.92, страница 21.

№1.92 (с. 21)
Условие. №1.92 (с. 21)
скриншот условия
Алгебра, 7 класс Учебник, авторы: Арефьева Ирина Глебовна, Пирютко Ольга Николаевна, издательство Народная асвета, Минск, 2022, зелёного цвета, страница 21, номер 1.92, Условие

1.92*. Докажите, что значение выражения не зависит от n:

а) $ \frac{7^{4n+8} \cdot 7^{n+3}}{7^{5n-2}} $;

б) $ \frac{(3^{5n-1})^3 \cdot 3^{3n+7}}{3^{18n-4}} $;

в) $ \frac{27^{2n+5}}{9^{3n+2}} $;

г) $ \frac{15^{n+8}}{3^{n+1} \cdot 5^{n+2}} $.

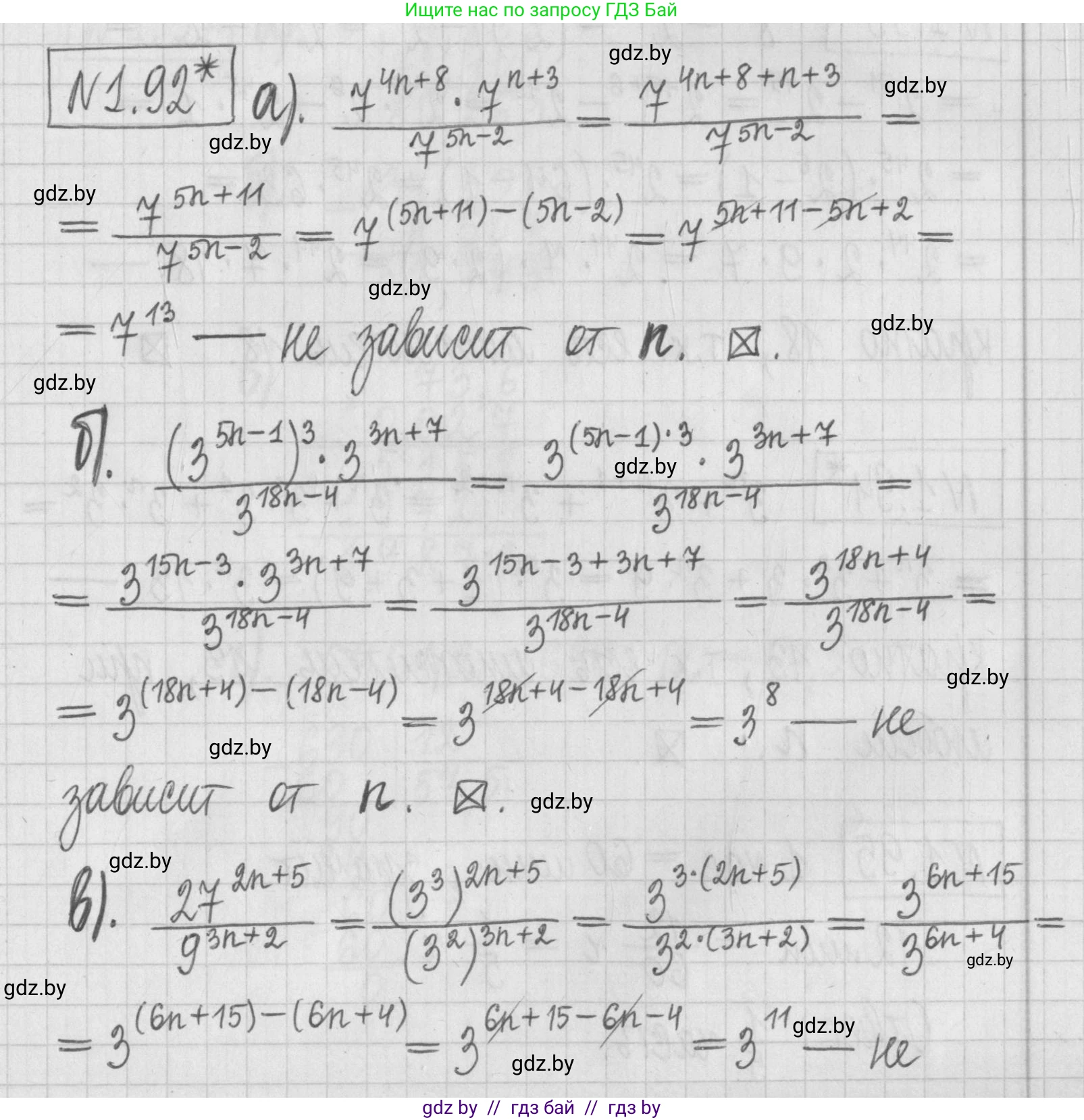
Решение. №1.92 (с. 21)
Алгебра, 7 класс Учебник, авторы: Арефьева Ирина Глебовна, Пирютко Ольга Николаевна, издательство Народная асвета, Минск, 2022, зелёного цвета, страница 21, номер 1.92, Решение Алгебра, 7 класс Учебник, авторы: Арефьева Ирина Глебовна, Пирютко Ольга Николаевна, издательство Народная асвета, Минск, 2022, зелёного цвета, страница 21, номер 1.92, Решение (продолжение 2)
Решение 2. №1.92 (с. 21)

Для доказательства того, что значение выражений не зависит от переменной n, мы будем использовать свойства степеней для упрощения каждого выражения. Основные свойства, которые нам понадобятся:

  • При умножении степеней с одинаковым основанием их показатели складываются: $a^m \cdot a^k = a^{m+k}$
  • При делении степеней с одинаковым основанием их показатели вычитаются: $\frac{a^m}{a^k} = a^{m-k}$
  • При возведении степени в степень показатели перемножаются: $(a^m)^k = a^{m \cdot k}$
  • Степень произведения равна произведению степеней: $(a \cdot b)^m = a^m \cdot b^m$

а) Упростим выражение $\frac{7^{4n+8} \cdot 7^{n+3}}{7^{5n-2}}$

1. Сначала упростим числитель, сложив показатели степеней с одинаковым основанием 7:

$7^{4n+8} \cdot 7^{n+3} = 7^{(4n+8) + (n+3)} = 7^{5n+11}$

2. Теперь разделим числитель на знаменатель, вычитая показатель знаменателя из показателя числителя:

$\frac{7^{5n+11}}{7^{5n-2}} = 7^{(5n+11) - (5n-2)} = 7^{5n+11-5n+2} = 7^{13}$

Результат является константой и не зависит от n. Вычислим значение:

$7^{13} = 96889010407$

Ответ: $96889010407$

б) Упростим выражение $\frac{(3^{5n-1})^3 \cdot 3^{3n+7}}{3^{18n-4}}$

1. Упростим первый множитель в числителе, перемножив показатели:

$(3^{5n-1})^3 = 3^{3 \cdot (5n-1)} = 3^{15n-3}$

2. Упростим весь числитель, сложив показатели:

$3^{15n-3} \cdot 3^{3n+7} = 3^{(15n-3) + (3n+7)} = 3^{18n+4}$

3. Разделим числитель на знаменатель:

$\frac{3^{18n+4}}{3^{18n-4}} = 3^{(18n+4) - (18n-4)} = 3^{18n+4-18n+4} = 3^8$

Результат является константой. Вычислим значение:

$3^8 = 6561$

Ответ: $6561$

в) Упростим выражение $\frac{27^{2n+5}}{9^{3n+2}}$

1. Представим основания 27 и 9 как степени числа 3:

$27 = 3^3$

$9 = 3^2$

2. Подставим эти значения в исходное выражение:

$\frac{(3^3)^{2n+5}}{(3^2)^{3n+2}}$

3. Упростим числитель и знаменатель, используя свойство возведения степени в степень:

$\frac{3^{3(2n+5)}}{3^{2(3n+2)}} = \frac{3^{6n+15}}{3^{6n+4}}$

4. Выполним деление, вычитая показатели:

$3^{(6n+15) - (6n+4)} = 3^{6n+15-6n-4} = 3^{11}$

Результат является константой. Вычислим значение:

$3^{11} = 177147$

Ответ: $177147$

г) Упростим выражение $\frac{15^{n+8}}{3^{n+1} \cdot 5^{n+2}}$

1. Представим основание 15 в виде произведения простых чисел: $15 = 3 \cdot 5$.

2. Применим это к числителю:

$15^{n+8} = (3 \cdot 5)^{n+8} = 3^{n+8} \cdot 5^{n+8}$

3. Подставим в исходное выражение:

$\frac{3^{n+8} \cdot 5^{n+8}}{3^{n+1} \cdot 5^{n+2}}$

4. Сгруппируем степени с одинаковыми основаниями и выполним деление:

$\frac{3^{n+8}}{3^{n+1}} \cdot \frac{5^{n+8}}{5^{n+2}} = 3^{(n+8)-(n+1)} \cdot 5^{(n+8)-(n+2)} = 3^{n+8-n-1} \cdot 5^{n+8-n-2} = 3^7 \cdot 5^6$

Результат является константой. Вычислим значение:

$3^7 = 2187$

$5^6 = 15625$

$2187 \cdot 15625 = 34171875$

Ответ: $34171875$

Помогло решение? Оставьте отзыв в комментариях ниже.

Присоединяйтесь к Телеграм-группе @gdz_by_belarus

Присоединиться

Мы подготовили для вас ответ c подробным объяснением домашего задания по алгебре за 7 класс, для упражнения номер 1.92 расположенного на странице 21 к учебнику 2022 года издания для учащихся школ и гимназий.

Теперь на нашем сайте ГДЗ.ТОП вы всегда легко и бесплатно найдёте условие с правильным ответом на вопрос «Как решить ДЗ» и «Как сделать» задание по алгебре к упражнению №1.92 (с. 21), авторов: Арефьева (Ирина Глебовна), Пирютко (Ольга Николаевна), учебного пособия издательства Народная асвета.