Номер 2.239, страница 101 - гдз по алгебре 7 класс учебник Арефьева, Пирютко

Алгебра, 7 класс Учебник, авторы: Арефьева Ирина Глебовна, Пирютко Ольга Николаевна, издательство Народная асвета, Минск, 2022, зелёного цвета

Авторы: Арефьева И. Г., Пирютко О. Н.

Тип: Учебник

Издательство: Народная асвета

Год издания: 2022 - 2025

Цвет обложки: зелёный с графиком

ISBN: ISBN 978-985-03-3770-2

Допущено Министерством образования Республики Беларусь

Популярные ГДЗ в 7 классе

Глава 2. Выражения и их преобразования. Параграф 11. Умножение многочленов - номер 2.239, страница 101.

№2.239 (с. 101)
Условие. №2.239 (с. 101)
скриншот условия
Алгебра, 7 класс Учебник, авторы: Арефьева Ирина Глебовна, Пирютко Ольга Николаевна, издательство Народная асвета, Минск, 2022, зелёного цвета, страница 101, номер 2.239, Условие

2.239. Упростите выражение и найдите его значение:

а) $ (x - 4)(x - 1) - (x + 3)(x + 2) \text{ при } x = 0,26; $

б) $ (a + 2)(a - 5) - (a - 1)(a - 4) \text{ при } a = 1,125; $

в) $ -(x - 2)(5x - 4) + (5x - 1)(x + 3) \text{ при } x = -1,05. $

Решение. №2.239 (с. 101)
Алгебра, 7 класс Учебник, авторы: Арефьева Ирина Глебовна, Пирютко Ольга Николаевна, издательство Народная асвета, Минск, 2022, зелёного цвета, страница 101, номер 2.239, Решение Алгебра, 7 класс Учебник, авторы: Арефьева Ирина Глебовна, Пирютко Ольга Николаевна, издательство Народная асвета, Минск, 2022, зелёного цвета, страница 101, номер 2.239, Решение (продолжение 2)
Решение 2. №2.239 (с. 101)

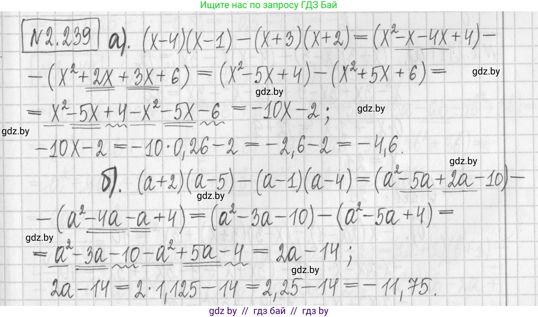
а) Упростим выражение $(x-4)(x-1) - (x+3)(x+2)$. Для этого раскроем скобки в каждом произведении многочленов, используя правило $(a+b)(c+d) = ac+ad+bc+bd$:

$(x-4)(x-1) = x \cdot x + x \cdot (-1) - 4 \cdot x - 4 \cdot (-1) = x^2 - x - 4x + 4 = x^2 - 5x + 4$.

$(x+3)(x+2) = x \cdot x + x \cdot 2 + 3 \cdot x + 3 \cdot 2 = x^2 + 2x + 3x + 6 = x^2 + 5x + 6$.

Теперь подставим раскрытые скобки обратно в исходное выражение и приведем подобные слагаемые:

$(x^2 - 5x + 4) - (x^2 + 5x + 6) = x^2 - 5x + 4 - x^2 - 5x - 6 = (x^2 - x^2) + (-5x - 5x) + (4 - 6) = -10x - 2$.

Упрощенное выражение: $-10x - 2$.

Подставим значение $x = 0,26$ в упрощенное выражение:

$-10 \cdot 0,26 - 2 = -2,6 - 2 = -4,6$.

Чтобы выделить целую часть, представим десятичную дробь в виде смешанного числа. Сначала запишем в виде неправильной дроби: $-4,6 = -\frac{46}{10} = -\frac{23}{5}$. Теперь выделим целую часть: $-\frac{23}{5} = -4\frac{3}{5}$.

Ответ: $-4\frac{3}{5}$.

б) Упростим выражение $(a+2)(a-5) - (a-1)(a-4)$. Раскроем скобки:

$(a+2)(a-5) = a^2 - 5a + 2a - 10 = a^2 - 3a - 10$.

$(a-1)(a-4) = a^2 - 4a - a + 4 = a^2 - 5a + 4$.

Вычтем второе выражение из первого и приведем подобные слагаемые:

$(a^2 - 3a - 10) - (a^2 - 5a + 4) = a^2 - 3a - 10 - a^2 + 5a - 4 = (a^2 - a^2) + (-3a + 5a) + (-10 - 4) = 2a - 14$.

Упрощенное выражение: $2a - 14$.

Найдем значение выражения при $a = 1,125$:

$2 \cdot 1,125 - 14 = 2,25 - 14 = -11,75$.

Представим результат $-11,75$ в виде смешанного числа. Дробная часть $0,75$ равна $\frac{75}{100} = \frac{3}{4}$. Таким образом, $-11,75 = -11\frac{3}{4}$.

Ответ: $-11\frac{3}{4}$.

в) Упростим выражение $-(x-2)(5x-4) + (5x-1)(x+3)$. Сначала раскроем скобки:

$-(x-2)(5x-4) = -(5x^2 - 4x - 10x + 8) = -(5x^2 - 14x + 8) = -5x^2 + 14x - 8$.

$(5x-1)(x+3) = 5x^2 + 15x - x - 3 = 5x^2 + 14x - 3$.

Сложим полученные выражения и приведем подобные слагаемые:

$(-5x^2 + 14x - 8) + (5x^2 + 14x - 3) = (-5x^2 + 5x^2) + (14x + 14x) + (-8 - 3) = 28x - 11$.

Упрощенное выражение: $28x - 11$.

Подставим значение $x = -1,05$ в упрощенное выражение:

$28 \cdot (-1,05) - 11 = -(28 \cdot 1 + 28 \cdot 0,05) - 11 = -(28 + 1,4) - 11 = -29,4 - 11 = -40,4$.

Представим результат $-40,4$ в виде смешанного числа. Сначала запишем в виде неправильной дроби: $-40,4 = -\frac{404}{10} = -\frac{202}{5}$. Теперь выделим целую часть: $-\frac{202}{5} = -40\frac{2}{5}$.

Ответ: $-40\frac{2}{5}$.

Помогло решение? Оставьте отзыв в комментариях ниже.

Присоединяйтесь к Телеграм-группе @gdz_by_belarus

Присоединиться

Мы подготовили для вас ответ c подробным объяснением домашего задания по алгебре за 7 класс, для упражнения номер 2.239 расположенного на странице 101 к учебнику 2022 года издания для учащихся школ и гимназий.

Теперь на нашем сайте ГДЗ.ТОП вы всегда легко и бесплатно найдёте условие с правильным ответом на вопрос «Как решить ДЗ» и «Как сделать» задание по алгебре к упражнению №2.239 (с. 101), авторов: Арефьева (Ирина Глебовна), Пирютко (Ольга Николаевна), учебного пособия издательства Народная асвета.