Номер 3.219, страница 199 - гдз по алгебре 7 класс учебник Арефьева, Пирютко

Алгебра, 7 класс Учебник, авторы: Арефьева Ирина Глебовна, Пирютко Ольга Николаевна, издательство Народная асвета, Минск, 2022, зелёного цвета

Авторы: Арефьева И. Г., Пирютко О. Н.

Тип: Учебник

Издательство: Народная асвета

Год издания: 2022 - 2025

Цвет обложки: зелёный с графиком

ISBN: ISBN 978-985-03-3770-2

Допущено Министерством образования Республики Беларусь

Популярные ГДЗ в 7 классе

Глава 3. Линейные уравнения. Линейные неравенства. Линейная функция. Параграф 18. Линейные неравенства с одной переменной - номер 3.219, страница 199.

№3.219 (с. 199)
Условие. №3.219 (с. 199)
скриншот условия
Алгебра, 7 класс Учебник, авторы: Арефьева Ирина Глебовна, Пирютко Ольга Николаевна, издательство Народная асвета, Минск, 2022, зелёного цвета, страница 199, номер 3.219, Условие

3.219. Решите неравенство:

а) $9x - 7 > 2(4.5x - 2)$;

б) $-2(4x + 9) \le -8(x - 8) + 5$.

Придумайте по два примера неравенств, сводящихся к линейным:

а) которые не имеют решений;

б) решениями которых являются все числа.

Решение. №3.219 (с. 199)
Алгебра, 7 класс Учебник, авторы: Арефьева Ирина Глебовна, Пирютко Ольга Николаевна, издательство Народная асвета, Минск, 2022, зелёного цвета, страница 199, номер 3.219, Решение Алгебра, 7 класс Учебник, авторы: Арефьева Ирина Глебовна, Пирютко Ольга Николаевна, издательство Народная асвета, Минск, 2022, зелёного цвета, страница 199, номер 3.219, Решение (продолжение 2)
Решение 2. №3.219 (с. 199)

а) $9x - 7 > 2(4.5x - 2)$

Для начала раскроем скобки в правой части неравенства, умножив 2 на каждый член в скобках:

$9x - 7 > 2 \cdot 4.5x - 2 \cdot 2$

$9x - 7 > 9x - 4$

Теперь перенесем все слагаемые, содержащие переменную $x$, в левую часть, а свободные члены (числа) — в правую. При переносе через знак неравенства знак слагаемого меняется на противоположный.

$9x - 9x > -4 + 7$

Приведем подобные слагаемые в обеих частях:

$0 \cdot x > 3$

$0 > 3$

Мы получили неверное числовое неравенство, которое не зависит от значения $x$. Это означает, что ни при каком значении $x$ исходное неравенство не будет верным.

Ответ: Решений нет.

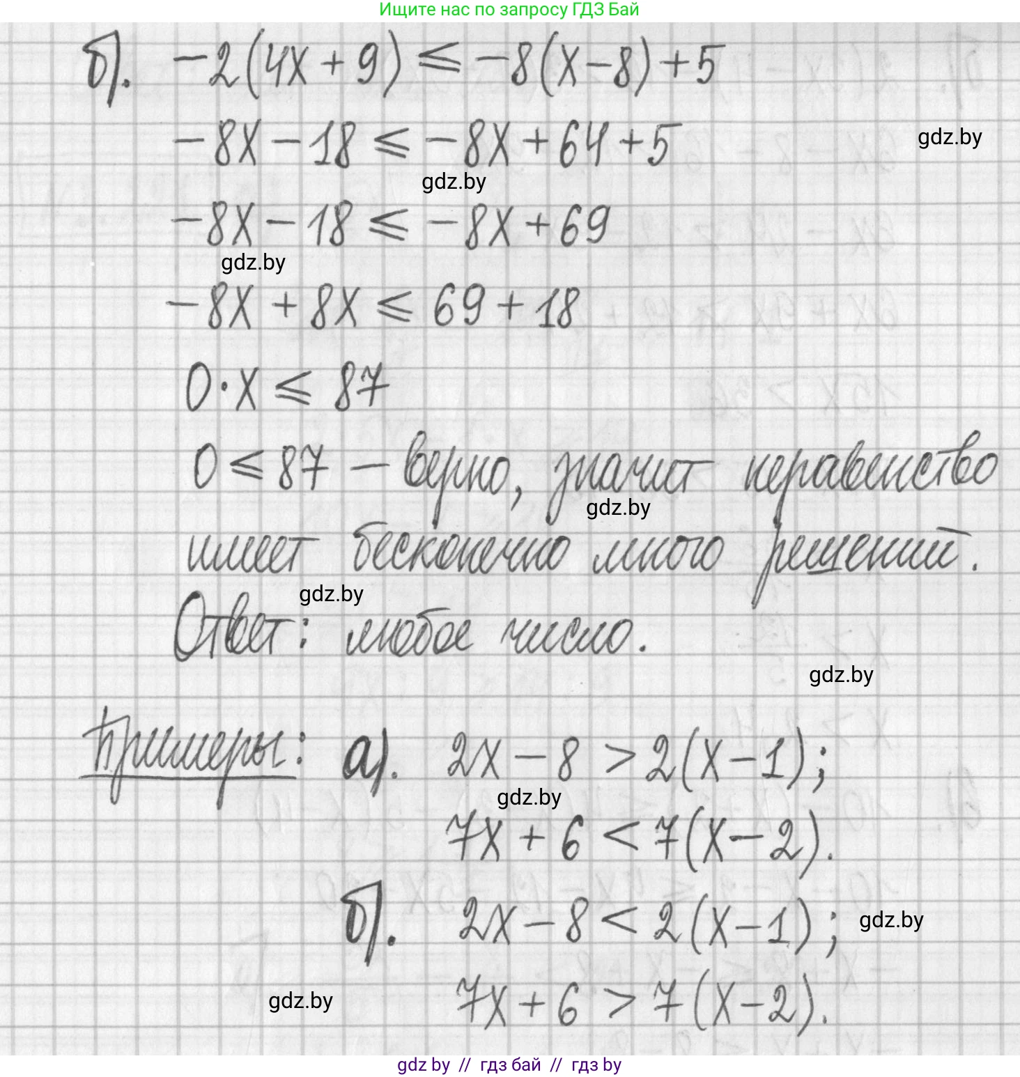
б) $-2(4x + 9) \le -8(x - 8) + 5$

Раскроем скобки в обеих частях неравенства:

$-2 \cdot 4x - 2 \cdot 9 \le -8 \cdot x - 8 \cdot (-8) + 5$

$-8x - 18 \le -8x + 64 + 5$

Упростим правую часть:

$-8x - 18 \le -8x + 69$

Перенесем слагаемые с переменной $x$ в левую часть, а свободные члены — в правую:

$-8x + 8x \le 69 + 18$

Приведем подобные слагаемые:

$0 \cdot x \le 87$

$0 \le 87$

Мы получили верное числовое неравенство. Это неравенство истинно при любом значении переменной $x$, так как $0$ всегда меньше или равно $87$.

Ответ: Любое число ($x \in \mathbb{R}$).


Придумайте по два примера неравенств, сводящихся к линейным:

а) которые не имеют решений;

Неравенство не имеет решений, если после всех преобразований переменная $x$ сокращается, и мы получаем неверное числовое неравенство (например, $5 > 10$).

  1. $4(x - 1) > 4x$
    (Раскрыв скобки, получим $4x - 4 > 4x$, что приводит к неверному неравенству $-4 > 0$)
  2. $15 - 2x < -2(x - 8)$
    (Раскрыв скобки, получим $15 - 2x < -2x + 16$, что приводит к неверному неравенству $15 < 16$ — ой, ошибка, это верное неравенство. Исправим: $15 - 2x > -2(x - 7)$, что дает $15 - 2x > -2x + 14$, т.е. $15 > 14$ - опять верно. Нужен другой пример.)
    Исправленный пример 2: $10 - 2x < 5 - 2x$
    (Это неравенство упрощается до $10 < 5$, что неверно).
    Пример 2 в более сложном виде: $2(5-x) < 5-2x$.

б) решениями которых являются все числа.

Решением неравенства являются все числа, если после всех преобразований переменная $x$ сокращается, и мы получаем верное числовое неравенство (например, $-2 < 5$).

  1. $3x + 5 \ge 3(x - 1)$
    (Раскрыв скобки, получим $3x + 5 \ge 3x - 3$, что приводит к верному неравенству $5 \ge -3$)
  2. $-5(x - 2) < 20 - 5x$
    (Раскрыв скобки, получим $-5x + 10 < 20 - 5x$, что приводит к верному неравенству $10 < 20$)

Помогло решение? Оставьте отзыв в комментариях ниже.

Присоединяйтесь к Телеграм-группе @gdz_by_belarus

Присоединиться

Мы подготовили для вас ответ c подробным объяснением домашего задания по алгебре за 7 класс, для упражнения номер 3.219 расположенного на странице 199 к учебнику 2022 года издания для учащихся школ и гимназий.

Теперь на нашем сайте ГДЗ.ТОП вы всегда легко и бесплатно найдёте условие с правильным ответом на вопрос «Как решить ДЗ» и «Как сделать» задание по алгебре к упражнению №3.219 (с. 199), авторов: Арефьева (Ирина Глебовна), Пирютко (Ольга Николаевна), учебного пособия издательства Народная асвета.