Номер 4.31, страница 262 - гдз по алгебре 7 класс учебник Арефьева, Пирютко

Алгебра, 7 класс Учебник, авторы: Арефьева Ирина Глебовна, Пирютко Ольга Николаевна, издательство Народная асвета, Минск, 2022, зелёного цвета

Авторы: Арефьева И. Г., Пирютко О. Н.

Тип: Учебник

Издательство: Народная асвета

Год издания: 2022 - 2025

Цвет обложки: зелёный с графиком

ISBN: ISBN 978-985-03-3770-2

Допущено Министерством образования Республики Беларусь

Популярные ГДЗ в 7 классе

Глава 4. Системы двух линейных уравнений с двумя переменными. Параграф 22. График линейного уравнения ax + by = c с двумя переменными - номер 4.31, страница 262.

№4.31 (с. 262)
Условие. №4.31 (с. 262)
скриншот условия
Алгебра, 7 класс Учебник, авторы: Арефьева Ирина Глебовна, Пирютко Ольга Николаевна, издательство Народная асвета, Минск, 2022, зелёного цвета, страница 262, номер 4.31, Условие Алгебра, 7 класс Учебник, авторы: Арефьева Ирина Глебовна, Пирютко Ольга Николаевна, издательство Народная асвета, Минск, 2022, зелёного цвета, страница 262, номер 4.31, Условие (продолжение 2)

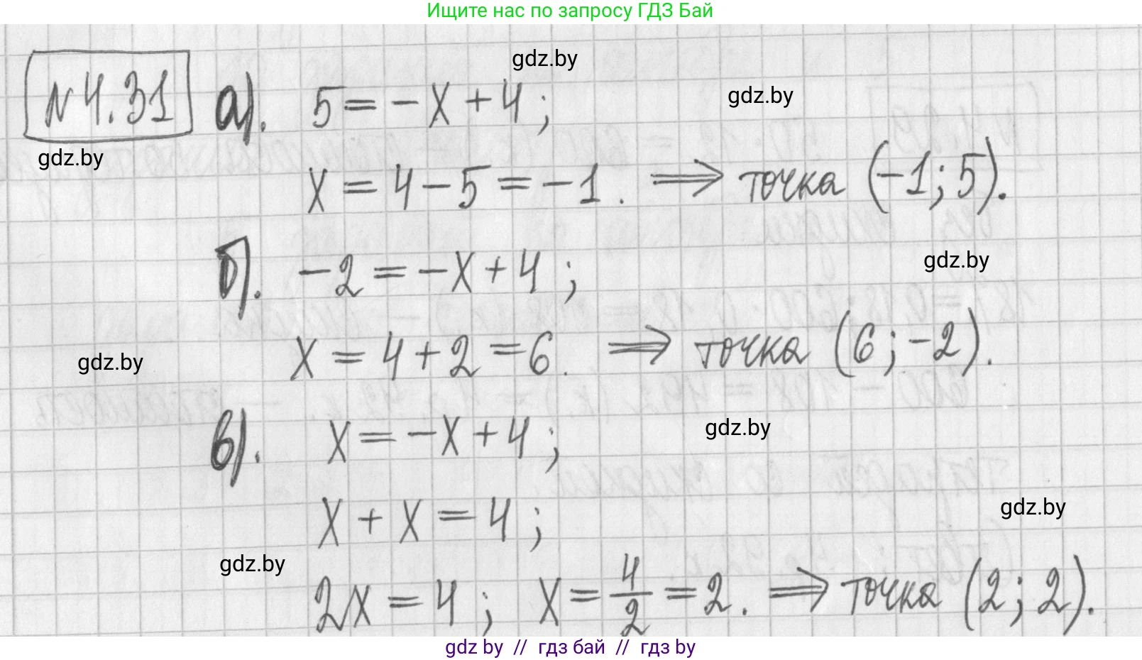
4.31. На рисунке 60 изображен график функции $y = -x + 4$. Найдите координаты точки пересечения этого графика с прямой:

а) $y = 5;$

б) $y = -2;$

в) $y = x.$

Решение. №4.31 (с. 262)
Алгебра, 7 класс Учебник, авторы: Арефьева Ирина Глебовна, Пирютко Ольга Николаевна, издательство Народная асвета, Минск, 2022, зелёного цвета, страница 262, номер 4.31, Решение
Решение 2. №4.31 (с. 262)

В задаче дан график функции $y = -x + 4$. Необходимо найти координаты точек пересечения этого графика с тремя другими прямыми.
Чтобы найти координаты точки пересечения двух графиков, нужно решить систему уравнений, которые их задают. Аналитически это означает, что мы приравниваем выражения для $y$ и решаем полученное уравнение относительно $x$.

а) $y = 5$
Найдем точку пересечения графиков $y = -x + 4$ и $y = 5$.
Приравняем правые части уравнений:
$-x + 4 = 5$
Вычтем 4 из обеих частей уравнения:
$-x = 5 - 4$
$-x = 1$
$x = -1$
Координата $y$ уже известна и равна 5.
Следовательно, точка пересечения имеет координаты $(-1, 5)$.
Ответ: $(-1, 5)$.

б) $y = -2$
Найдем точку пересечения графиков $y = -x + 4$ и $y = -2$.
Приравняем правые части уравнений:
$-x + 4 = -2$
Вычтем 4 из обеих частей уравнения:
$-x = -2 - 4$
$-x = -6$
$x = 6$
Координата $y$ уже известна и равна -2.
Следовательно, точка пересечения имеет координаты $(6, -2)$.
Ответ: $(6, -2)$.

в) $y = x$
Найдем точку пересечения графиков $y = -x + 4$ и $y = x$.
Приравняем правые части уравнений:
$x = -x + 4$
Прибавим $x$ к обеим частям уравнения:
$x + x = 4$
$2x = 4$
Разделим обе части на 2:
$x = \frac{4}{2}$
$x = 2$
Теперь найдем $y$, подставив значение $x$ в одно из уравнений. Удобнее использовать $y = x$:
$y = 2$
Следовательно, точка пересечения имеет координаты $(2, 2)$.
Ответ: $(2, 2)$.

Помогло решение? Оставьте отзыв в комментариях ниже.

Присоединяйтесь к Телеграм-группе @gdz_by_belarus

Присоединиться

Мы подготовили для вас ответ c подробным объяснением домашего задания по алгебре за 7 класс, для упражнения номер 4.31 расположенного на странице 262 к учебнику 2022 года издания для учащихся школ и гимназий.

Теперь на нашем сайте ГДЗ.ТОП вы всегда легко и бесплатно найдёте условие с правильным ответом на вопрос «Как решить ДЗ» и «Как сделать» задание по алгебре к упражнению №4.31 (с. 262), авторов: Арефьева (Ирина Глебовна), Пирютко (Ольга Николаевна), учебного пособия издательства Народная асвета.