Номер 4.1, страница 129 - гдз по геометрии 7-9 класс сборник задач Кононов, Адамович

Геометрия, 7-9 класс Сборник задач, авторы: Кононов Сергей Гаврилович, Адамович Тамара Антоновна, Ефимцева Ирина Валерьяновна, Ячейко Таиса Владимировна, издательство Народная асвета, Минск, 2023

Авторы: Кононов С. Г., Адамович Т. А., Ефимцева И. В., Ячейко Т. В.

Тип: Сборник задач

Издательство: Народная асвета

Год издания: 2023 - 2025

Цвет обложки: синий, розовый с треугольником

Допущено Министерством образования Республики Беларусь

Популярные ГДЗ в 7 классе

9 класс. Параграф 4. Синус, косинус, тангенс и котангенс тупого угла - номер 4.1, страница 129.

№4.1 (с. 129)
Условие. №4.1 (с. 129)
скриншот условия
Геометрия, 7-9 класс Сборник задач, авторы: Кононов Сергей Гаврилович, Адамович Тамара Антоновна, Ефимцева Ирина Валерьяновна, Ячейко Таиса Владимировна, издательство Народная асвета, Минск, 2023, страница 129, номер 4.1, Условие Геометрия, 7-9 класс Сборник задач, авторы: Кононов Сергей Гаврилович, Адамович Тамара Антоновна, Ефимцева Ирина Валерьяновна, Ячейко Таиса Владимировна, издательство Народная асвета, Минск, 2023, страница 129, номер 4.1, Условие (продолжение 2)

4.1. При помощи формул $sin(180^\circ - \alpha) = sin\alpha$, $cos(180^\circ - \alpha) = -cos\alpha$, $tg(180^\circ - \alpha) = -tg\alpha$, $ctg(180^\circ - \alpha) = -ctg\alpha$ выразите

значения тригонометрических функций тупого угла через тригонометрические функции острого угла:

а) $sin165^\circ$, $cos95^\circ$, $tg109^\circ$, $ctg123^\circ$;

б) $sin98^\circ$, $cos178^\circ$, $tg101^\circ$, $ctg145^\circ$.

Решение 1. №4.1 (с. 129)
Геометрия, 7-9 класс Сборник задач, авторы: Кононов Сергей Гаврилович, Адамович Тамара Антоновна, Ефимцева Ирина Валерьяновна, Ячейко Таиса Владимировна, издательство Народная асвета, Минск, 2023, страница 129, номер 4.1, Решение 1 Геометрия, 7-9 класс Сборник задач, авторы: Кононов Сергей Гаврилович, Адамович Тамара Антоновна, Ефимцева Ирина Валерьяновна, Ячейко Таиса Владимировна, издательство Народная асвета, Минск, 2023, страница 129, номер 4.1, Решение 1 (продолжение 2)
Решение 3. №4.1 (с. 129)

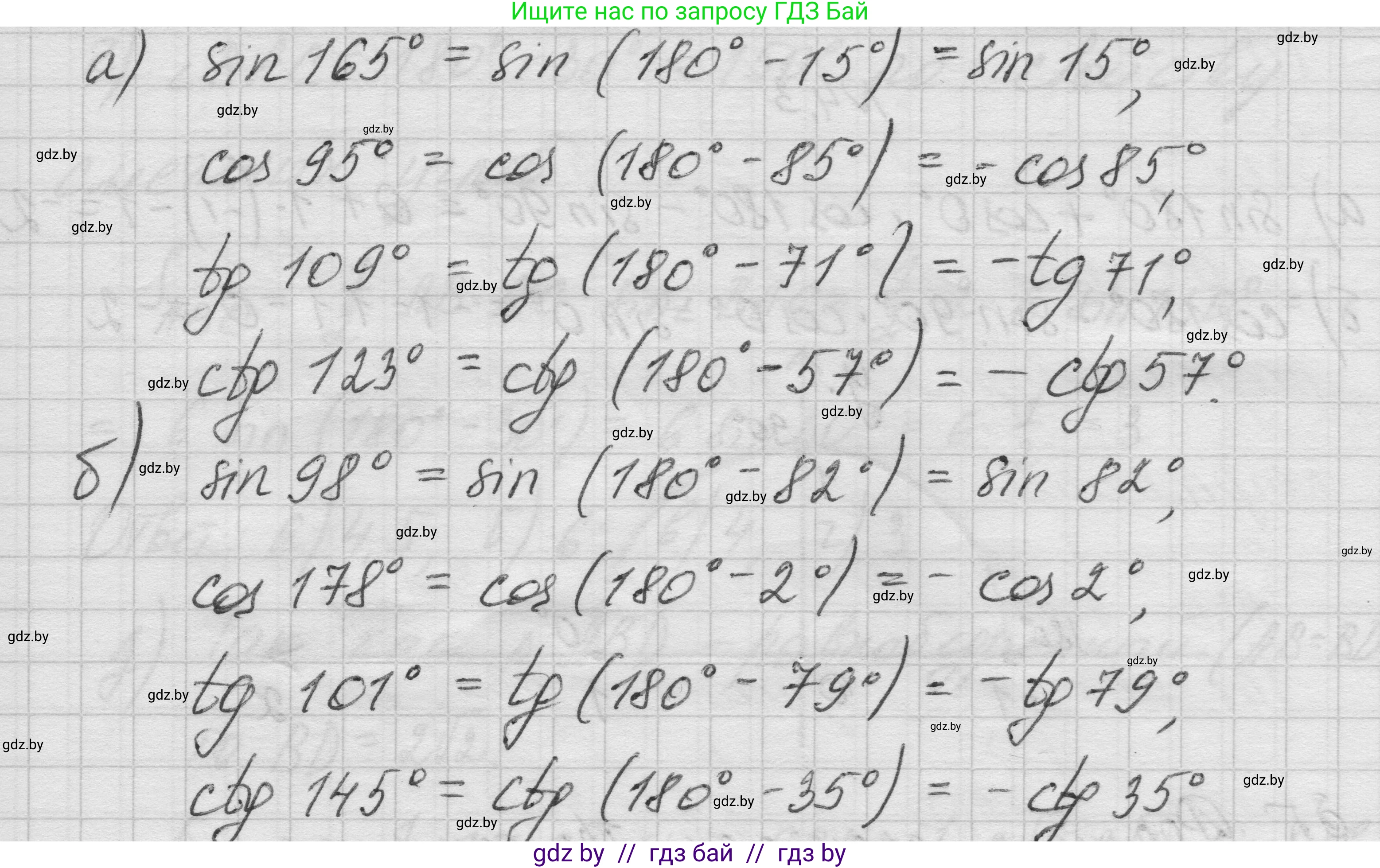
Для решения этой задачи воспользуемся формулами приведения. Каждый тупой угол $\beta$, принадлежащий интервалу $(90°; 180°)$, можно представить в виде разности $180° - \alpha$, где $\alpha$ будет острым углом из интервала $(0°; 90°)$. Затем необходимо применить соответствующие формулы, указанные в условии.

а)

Для $sin165°$:
Находим острый угол $\alpha$: $\alpha = 180° - 165° = 15°$.
Применяем формулу $sin(180° - \alpha) = sin\alpha$:
$sin165° = sin(180° - 15°) = sin15°$.

Для $cos95°$:
Находим острый угол $\alpha$: $\alpha = 180° - 95° = 85°$.
Применяем формулу $cos(180° - \alpha) = -cos\alpha$:
$cos95° = cos(180° - 85°) = -cos85°$.

Для $tg109°$:
Находим острый угол $\alpha$: $\alpha = 180° - 109° = 71°$.
Применяем формулу $tg(180° - \alpha) = -tg\alpha$:
$tg109° = tg(180° - 71°) = -tg71°$.

Для $ctg123°$:
Находим острый угол $\alpha$: $\alpha = 180° - 123° = 57°$.
Применяем формулу $ctg(180° - \alpha) = -ctg\alpha$:
$ctg123° = ctg(180° - 57°) = -ctg57°$.

Ответ: $sin165° = sin15°$; $cos95° = -cos85°$; $tg109° = -tg71°$; $ctg123° = -ctg57°$.

б)

Для $sin98°$:
Находим острый угол $\alpha$: $\alpha = 180° - 98° = 82°$.
Применяем формулу $sin(180° - \alpha) = sin\alpha$:
$sin98° = sin(180° - 82°) = sin82°$.

Для $cos178°$:
Находим острый угол $\alpha$: $\alpha = 180° - 178° = 2°$.
Применяем формулу $cos(180° - \alpha) = -cos\alpha$:
$cos178° = cos(180° - 2°) = -cos2°$.

Для $tg101°$:
Находим острый угол $\alpha$: $\alpha = 180° - 101° = 79°$.
Применяем формулу $tg(180° - \alpha) = -tg\alpha$:
$tg101° = tg(180° - 79°) = -tg79°$.

Для $ctg145°$:
Находим острый угол $\alpha$: $\alpha = 180° - 145° = 35°$.
Применяем формулу $ctg(180° - \alpha) = -ctg\alpha$:
$ctg145° = ctg(180° - 35°) = -ctg35°$.

Ответ: $sin98° = sin82°$; $cos178° = -cos2°$; $tg101° = -tg79°$; $ctg145° = -ctg35°$.

Помогло решение? Оставьте отзыв в комментариях ниже.

Присоединяйтесь к Телеграм-группе @gdz_by_belarus

Присоединиться

Мы подготовили для вас ответ c подробным объяснением домашего задания по геометрии за 7-9 класс, для упражнения номер 4.1 расположенного на странице 129 к сборнику задач 2023 года издания для учащихся школ и гимназий.

Теперь на нашем сайте ГДЗ.ТОП вы всегда легко и бесплатно найдёте условие с правильным ответом на вопрос «Как решить ДЗ» и «Как сделать» задание по геометрии к упражнению №4.1 (с. 129), авторов: Кононов (Сергей Гаврилович), Адамович (Тамара Антоновна), Ефимцева (Ирина Валерьяновна), Ячейко (Таиса Владимировна), учебного пособия издательства Народная асвета.