Номер 38, страница 9 - гдз по алгебре 8 класс учебник Арефьева, Пирютко

Алгебра, 8 класс Учебник, авторы: Арефьева Ирина Глебовна, Пирютко Ольга Николаевна, издательство Адукацыя i выхаванне, Минск, 2024, бирюзового цвета

Авторы: Арефьева И. Г., Пирютко О. Н.

Тип: Учебник

Издательство: Адукацыя i выхаванне

Год издания: 2024 - 2025

Цвет обложки: бирюзовый с графиком

ISBN: ISBN 978-985-03-4081-8

Допущено Министерством образования Республики Беларусь

Популярные ГДЗ в 8 классе

Повторение курса алгебры 7-го класса. Выражения и их преобразования - номер 38, страница 9.

№38 (с. 9)
Условие. №38 (с. 9)
скриншот условия
Алгебра, 8 класс Учебник, авторы: Арефьева Ирина Глебовна, Пирютко Ольга Николаевна, издательство Адукацыя i выхаванне, Минск, 2024, бирюзового цвета, страница 9, номер 38, Условие

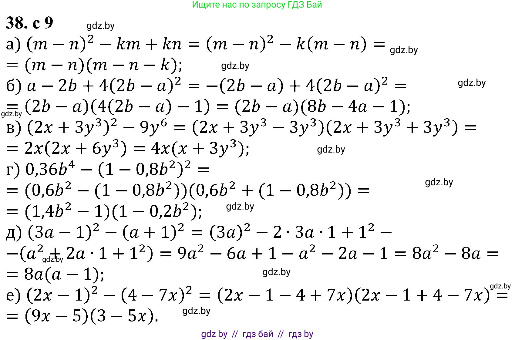
38. Разложите на множители, применив различные способы:

а) $(m-n)^2 - km + kn;$

б) $a - 2b + 4(2b - a)^2;$

в) $(2x + 3y^3)^2 - 9y^6;$

г) $0,36b^4 - (1 - 0,8b^2)^2;$

д) $(3a - 1)^2 - (a + 1)^2;$

е) $(2x - 1)^2 - (4 - 7x)^2.$

Решение. №38 (с. 9)
Алгебра, 8 класс Учебник, авторы: Арефьева Ирина Глебовна, Пирютко Ольга Николаевна, издательство Адукацыя i выхаванне, Минск, 2024, бирюзового цвета, страница 9, номер 38, Решение
Решение 2. №38 (с. 9)

а) В выражении $(m - n)^2 - km + kn$ сгруппируем последние два слагаемых и вынесем за скобки общий множитель $-k$:

$-km + kn = -k(m - n)$

Теперь исходное выражение выглядит так:

$(m - n)^2 - k(m - n)$

Общий множитель $(m - n)$ можно вынести за скобку:

$(m - n)((m - n) - k) = (m - n)(m - n - k)$

Ответ: $(m - n)(m - n - k)$

б) В выражении $a - 2b + 4(2b - a)^2$ заметим, что $(2b - a) = -(a - 2b)$. Так как выражение возводится в квадрат, знак не имеет значения: $(2b - a)^2 = (a - 2b)^2$.

Подставим это в исходное выражение:

$(a - 2b) + 4(a - 2b)^2$

Теперь можно вынести общий множитель $(a - 2b)$ за скобки:

$(a - 2b)(1 + 4(a - 2b))$

Раскроем внутренние скобки второго множителя:

$(a - 2b)(1 + 4a - 8b)$

Ответ: $(a - 2b)(1 + 4a - 8b)$

в) Выражение $(2x + 3y^3)^2 - 9y^6$ можно представить в виде разности квадратов. Для этого запишем $9y^6$ как $(3y^3)^2$:

$(2x + 3y^3)^2 - (3y^3)^2$

Применим формулу разности квадратов $A^2 - B^2 = (A - B)(A + B)$, где $A = 2x + 3y^3$ и $B = 3y^3$:

$((2x + 3y^3) - 3y^3)((2x + 3y^3) + 3y^3)$

Упростим выражения в каждой скобке:

$(2x + 3y^3 - 3y^3)(2x + 3y^3 + 3y^3) = (2x)(2x + 6y^3)$

Вынесем общий множитель $2$ из второй скобки:

$(2x) \cdot 2(x + 3y^3) = 4x(x + 3y^3)$

Ответ: $4x(x + 3y^3)$

г) Выражение $0,36b^4 - (1 - 0,8b^2)^2$ также является разностью квадратов. Представим $0,36b^4$ как $(0,6b^2)^2$:

$(0,6b^2)^2 - (1 - 0,8b^2)^2$

Применим формулу разности квадратов $A^2 - B^2 = (A - B)(A + B)$, где $A = 0,6b^2$ и $B = 1 - 0,8b^2$:

$(0,6b^2 - (1 - 0,8b^2))(0,6b^2 + (1 - 0,8b^2))$

Раскроем внутренние скобки и упростим:

$(0,6b^2 - 1 + 0,8b^2)(0,6b^2 + 1 - 0,8b^2) = (1,4b^2 - 1)(1 - 0,2b^2)$

Ответ: $(1,4b^2 - 1)(1 - 0,2b^2)$

д) Выражение $(3a - 1)^2 - (a + 1)^2$ является разностью квадратов. Применим формулу $A^2 - B^2 = (A - B)(A + B)$, где $A = 3a - 1$ и $B = a + 1$:

$((3a - 1) - (a + 1))((3a - 1) + (a + 1))$

Упростим выражения в каждой из скобок:

$(3a - 1 - a - 1)(3a - 1 + a + 1) = (2a - 2)(4a)$

Вынесем общий множитель $2$ из первой скобки:

$2(a - 1)(4a) = 8a(a - 1)$

Ответ: $8a(a - 1)$

е) Выражение $(2x - 1)^2 - (4 - 7x)^2$ также является разностью квадратов. Применим формулу $A^2 - B^2 = (A - B)(A + B)$, где $A = 2x - 1$ и $B = 4 - 7x$:

$((2x - 1) - (4 - 7x))((2x - 1) + (4 - 7x))$

Упростим выражения в каждой из скобок:

$(2x - 1 - 4 + 7x)(2x - 1 + 4 - 7x) = (9x - 5)(3 - 5x)$

Ответ: $(9x - 5)(3 - 5x)$

Помогло решение? Оставьте отзыв в комментариях ниже.

Присоединяйтесь к Телеграм-группе @gdz_by_belarus

Присоединиться

Мы подготовили для вас ответ c подробным объяснением домашего задания по алгебре за 8 класс, для упражнения номер 38 расположенного на странице 9 к учебнику 2024 года издания для учащихся школ и гимназий.

Теперь на нашем сайте ГДЗ.ТОП вы всегда легко и бесплатно найдёте условие с правильным ответом на вопрос «Как решить ДЗ» и «Как сделать» задание по алгебре к упражнению №38 (с. 9), авторов: Арефьева (Ирина Глебовна), Пирютко (Ольга Николаевна), учебного пособия издательства Адукацыя i выхаванне.