Номер 26, страница 249 - гдз по алгебре 8 класс учебник Арефьева, Пирютко

Алгебра, 8 класс Учебник, авторы: Арефьева Ирина Глебовна, Пирютко Ольга Николаевна, издательство Адукацыя i выхаванне, Минск, 2024, бирюзового цвета

Авторы: Арефьева И. Г., Пирютко О. Н.

Тип: Учебник

Издательство: Адукацыя i выхаванне

Год издания: 2024 - 2025

Цвет обложки: бирюзовый с графиком

ISBN: ISBN 978-985-03-4081-8

Допущено Министерством образования Республики Беларусь

Популярные ГДЗ в 8 классе

Повторение курса алгебры 8-го класса. Квадратные уравнения - номер 26, страница 249.

№26 (с. 249)
Условие. №26 (с. 249)
скриншот условия
Алгебра, 8 класс Учебник, авторы: Арефьева Ирина Глебовна, Пирютко Ольга Николаевна, издательство Адукацыя i выхаванне, Минск, 2024, бирюзового цвета, страница 249, номер 26, Условие

26. Решите уравнение, используя метод замены переменной:

а) $(x^2 - 3)^4 + (x^2 - 3)^2 = 20;$

б) $(x^2 + 5x)^2 - 2(x^2 + 5x) - 24 = 0;$

в) $2(x^2 - x + 1)^2 - 3(x^2 - x + 1) = 2;$

г) $(x^2 + x)(x^2 + x - 4) - 12 = 0;$

д) $(x^2 + 2x)(x^2 + 2x - 5) = 84;$

е) $(x^2 - 3x + 1)(x^2 - 3x - 1) = 3;$

ж) $(2x^2 + x - 1)(2x^2 + x - 4) + 2 = 0;$

з) $(x^2 - 10x + 17)^2 - (x - 2)(x - 8) = 1.$

Решение. №26 (с. 249)
Алгебра, 8 класс Учебник, авторы: Арефьева Ирина Глебовна, Пирютко Ольга Николаевна, издательство Адукацыя i выхаванне, Минск, 2024, бирюзового цвета, страница 249, номер 26, Решение Алгебра, 8 класс Учебник, авторы: Арефьева Ирина Глебовна, Пирютко Ольга Николаевна, издательство Адукацыя i выхаванне, Минск, 2024, бирюзового цвета, страница 249, номер 26, Решение (продолжение 2) Алгебра, 8 класс Учебник, авторы: Арефьева Ирина Глебовна, Пирютко Ольга Николаевна, издательство Адукацыя i выхаванне, Минск, 2024, бирюзового цвета, страница 249, номер 26, Решение (продолжение 3)
Решение 2. №26 (с. 249)

а) Дано уравнение $(x^2 - 3)^4 + (x^2 - 3)^2 = 20$.

Это биквадратное уравнение относительно выражения $(x^2-3)$. Введем замену переменной. Пусть $t = (x^2 - 3)^2$. Так как $t$ является квадратом действительного выражения, должно выполняться условие $t \ge 0$.

Подставив $t$ в исходное уравнение, получим:

$t^2 + t = 20$

$t^2 + t - 20 = 0$

Решим это квадратное уравнение относительно $t$. По теореме Виета, произведение корней равно $-20$, а их сумма равна $-1$. Корнями являются $t_1 = 4$ и $t_2 = -5$.

Проверим корни на соответствие условию $t \ge 0$:

  • $t_1 = 4$ удовлетворяет условию.
  • $t_2 = -5$ не удовлетворяет условию, поэтому это посторонний корень.

Выполним обратную замену для $t = 4$:

$(x^2 - 3)^2 = 4$

Извлекая квадратный корень, получаем два уравнения:

1) $x^2 - 3 = 2 \implies x^2 = 5 \implies x_{1,2} = \pm\sqrt{5}$

2) $x^2 - 3 = -2 \implies x^2 = 1 \implies x_{3,4} = \pm 1$

Ответ: $\pm 1; \pm\sqrt{5}$.


б) Дано уравнение $(x^2 + 5x)^2 - 2(x^2 + 5x) - 24 = 0$.

Введем замену переменной. Пусть $t = x^2 + 5x$.

Уравнение принимает вид:

$t^2 - 2t - 24 = 0$

Решим это квадратное уравнение относительно $t$. По теореме Виета, произведение корней равно $-24$, а их сумма равна $2$. Корнями являются $t_1 = 6$ и $t_2 = -4$.

Выполним обратную замену для каждого значения $t$:

1) $x^2 + 5x = 6 \implies x^2 + 5x - 6 = 0$

По теореме Виета, $x_1 = 1$, $x_2 = -6$.

2) $x^2 + 5x = -4 \implies x^2 + 5x + 4 = 0$

По теореме Виета, $x_3 = -1$, $x_4 = -4$.

Ответ: $-6; -4; -1; 1$.


в) Дано уравнение $2(x^2 - x + 1)^2 - 3(x^2 - x + 1) = 2$.

Введем замену переменной. Пусть $t = x^2 - x + 1$.

Уравнение принимает вид:

$2t^2 - 3t = 2$

$2t^2 - 3t - 2 = 0$

Решим это квадратное уравнение относительно $t$. Дискриминант $\Delta = (-3)^2 - 4(2)(-2) = 9 + 16 = 25$.

$t = \frac{3 \pm \sqrt{25}}{2 \cdot 2} = \frac{3 \pm 5}{4}$

$t_1 = \frac{3 + 5}{4} = 2$

$t_2 = \frac{3 - 5}{4} = -\frac{1}{2}$

Выполним обратную замену:

1) $x^2 - x + 1 = 2 \implies x^2 - x - 1 = 0$

Дискриминант $\Delta = (-1)^2 - 4(1)(-1) = 1 + 4 = 5$.

$x_{1,2} = \frac{1 \pm \sqrt{5}}{2}$

2) $x^2 - x + 1 = -\frac{1}{2} \implies x^2 - x + \frac{3}{2} = 0$

Дискриминант $\Delta = (-1)^2 - 4(1)(\frac{3}{2}) = 1 - 6 = -5$. Так как $\Delta < 0$, в этом случае действительных корней нет.

Ответ: $\frac{1 \pm \sqrt{5}}{2}$.


г) Дано уравнение $(x^2 + x)(x^2 + x - 4) - 12 = 0$.

Введем замену переменной. Пусть $t = x^2 + x$.

Уравнение принимает вид:

$t(t - 4) - 12 = 0$

$t^2 - 4t - 12 = 0$

Решим это квадратное уравнение относительно $t$. По теореме Виета, $t_1 = 6$, $t_2 = -2$.

Выполним обратную замену:

1) $x^2 + x = 6 \implies x^2 + x - 6 = 0$

По теореме Виета, $x_1 = 2$, $x_2 = -3$.

2) $x^2 + x = -2 \implies x^2 + x + 2 = 0$

Дискриминант $\Delta = 1^2 - 4(1)(2) = 1 - 8 = -7$. Так как $\Delta < 0$, действительных корней нет.

Ответ: $-3; 2$.


д) Дано уравнение $(x^2 + 2x)(x^2 + 2x - 5) = 84$.

Введем замену переменной. Пусть $t = x^2 + 2x$.

Уравнение принимает вид:

$t(t - 5) = 84$

$t^2 - 5t - 84 = 0$

Решим это квадратное уравнение. Дискриминант $\Delta = (-5)^2 - 4(1)(-84) = 25 + 336 = 361 = 19^2$.

$t = \frac{5 \pm 19}{2}$

$t_1 = \frac{5 + 19}{2} = 12$

$t_2 = \frac{5 - 19}{2} = -7$

Выполним обратную замену:

1) $x^2 + 2x = 12 \implies x^2 + 2x - 12 = 0$

Дискриминант $D/4 = 1^2 - 1(-12) = 1 + 12 = 13$.

$x_{1,2} = -1 \pm \sqrt{13}$

2) $x^2 + 2x = -7 \implies x^2 + 2x + 7 = 0$

Дискриминант $D/4 = 1^2 - 1(7) = 1 - 7 = -6$. Так как $D/4 < 0$, действительных корней нет.

Ответ: $-1 \pm \sqrt{13}$.


е) Дано уравнение $(x^2 - 3x + 1)(x^2 - 3x - 1) = 3$.

Введем замену переменной. Пусть $t = x^2 - 3x$.

Уравнение принимает вид:

$(t + 1)(t - 1) = 3$

$t^2 - 1 = 3$

$t^2 = 4 \implies t = \pm 2$

Выполним обратную замену:

1) $x^2 - 3x = 2 \implies x^2 - 3x - 2 = 0$

Дискриминант $\Delta = (-3)^2 - 4(1)(-2) = 9 + 8 = 17$.

$x_{1,2} = \frac{3 \pm \sqrt{17}}{2}$

2) $x^2 - 3x = -2 \implies x^2 - 3x + 2 = 0$

По теореме Виета, $x_3 = 1$, $x_4 = 2$.

Ответ: $1; 2; \frac{3 \pm \sqrt{17}}{2}$.


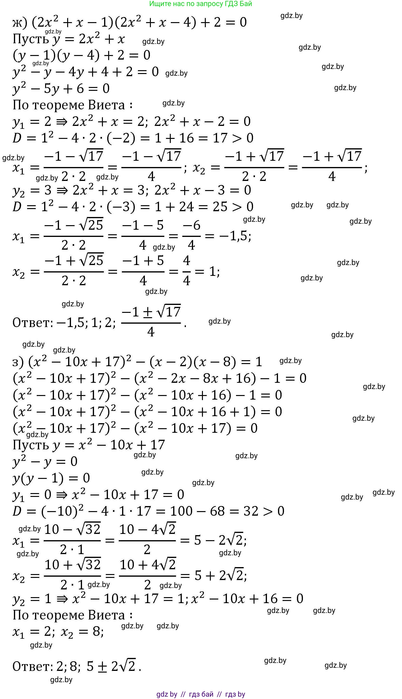
ж) Дано уравнение $(2x^2 + x - 1)(2x^2 + x - 4) + 2 = 0$.

Введем замену переменной. Пусть $t = 2x^2 + x$.

Уравнение принимает вид:

$(t - 1)(t - 4) + 2 = 0$

$t^2 - 5t + 4 + 2 = 0$

$t^2 - 5t + 6 = 0$

Решим это квадратное уравнение. По теореме Виета, $t_1 = 2$, $t_2 = 3$.

Выполним обратную замену:

1) $2x^2 + x = 2 \implies 2x^2 + x - 2 = 0$

Дискриминант $\Delta = 1^2 - 4(2)(-2) = 1 + 16 = 17$.

$x_{1,2} = \frac{-1 \pm \sqrt{17}}{4}$

2) $2x^2 + x = 3 \implies 2x^2 + x - 3 = 0$

Дискриминант $\Delta = 1^2 - 4(2)(-3) = 1 + 24 = 25 = 5^2$.

$x = \frac{-1 \pm 5}{4}$

$x_3 = \frac{-1 + 5}{4} = 1$

$x_4 = \frac{-1 - 5}{4} = -\frac{6}{4} = -\frac{3}{2} = -1\frac{1}{2}$

Ответ: $-1\frac{1}{2}; 1; \frac{-1 \pm \sqrt{17}}{4}$.


з) Дано уравнение $(x^2 - 10x + 17)^2 - (x - 2)(x - 8) = 1$.

Раскроем скобки во втором слагаемом: $(x - 2)(x - 8) = x^2 - 8x - 2x + 16 = x^2 - 10x + 16$.

Уравнение принимает вид:

$(x^2 - 10x + 17)^2 - (x^2 - 10x + 16) = 1$

Введем замену переменной. Пусть $t = x^2 - 10x + 16$. Тогда $x^2 - 10x + 17 = t + 1$.

Подставим в уравнение:

$(t + 1)^2 - t = 1$

$t^2 + 2t + 1 - t = 1$

$t^2 + t = 0$

$t(t + 1) = 0$

Отсюда $t_1 = 0$, $t_2 = -1$.

Выполним обратную замену:

1) $x^2 - 10x + 16 = 0$

По теореме Виета, $x_1 = 2$, $x_2 = 8$.

2) $x^2 - 10x + 16 = -1 \implies x^2 - 10x + 17 = 0$

Дискриминант $D/4 = (-5)^2 - 1(17) = 25 - 17 = 8$.

$x_{3,4} = 5 \pm \sqrt{8} = 5 \pm 2\sqrt{2}$.

Ответ: $2; 8; 5 \pm 2\sqrt{2}$.

Помогло решение? Оставьте отзыв в комментариях ниже.

Присоединяйтесь к Телеграм-группе @gdz_by_belarus

Присоединиться

Мы подготовили для вас ответ c подробным объяснением домашего задания по алгебре за 8 класс, для упражнения номер 26 расположенного на странице 249 к учебнику 2024 года издания для учащихся школ и гимназий.

Теперь на нашем сайте ГДЗ.ТОП вы всегда легко и бесплатно найдёте условие с правильным ответом на вопрос «Как решить ДЗ» и «Как сделать» задание по алгебре к упражнению №26 (с. 249), авторов: Арефьева (Ирина Глебовна), Пирютко (Ольга Николаевна), учебного пособия издательства Адукацыя i выхаванне.