Номер 273, страница 131 - гдз по геометрии 8 класс учебник Казаков, Казакова

Геометрия, 8 класс Учебник, авторы: Казаков Валерий Владимирович, Казакова Ольга Олеговна, издательство Адукацыя i выхаванне, Минск, 2024, оранжевого цвета

Авторы: Казаков В. В., Казакова О. О.

Тип: Учебник

Издательство: Адукацыя i выхаванне

Год издания: 2024 - 2025

Цвет обложки: оранжевый

Допущено Министерством образования Республики Беларусь

Популярные ГДЗ в 8 классе

Глава 3. Подобие треугольников. Параграф 20. Подобие треугольников - номер 273, страница 131.

№273 (с. 131)
Условие. №273 (с. 131)
скриншот условия
Геометрия, 8 класс Учебник, авторы: Казаков Валерий Владимирович, Казакова Ольга Олеговна, издательство Адукацыя i выхаванне, Минск, 2024, оранжевого цвета, страница 131, номер 273, Условие

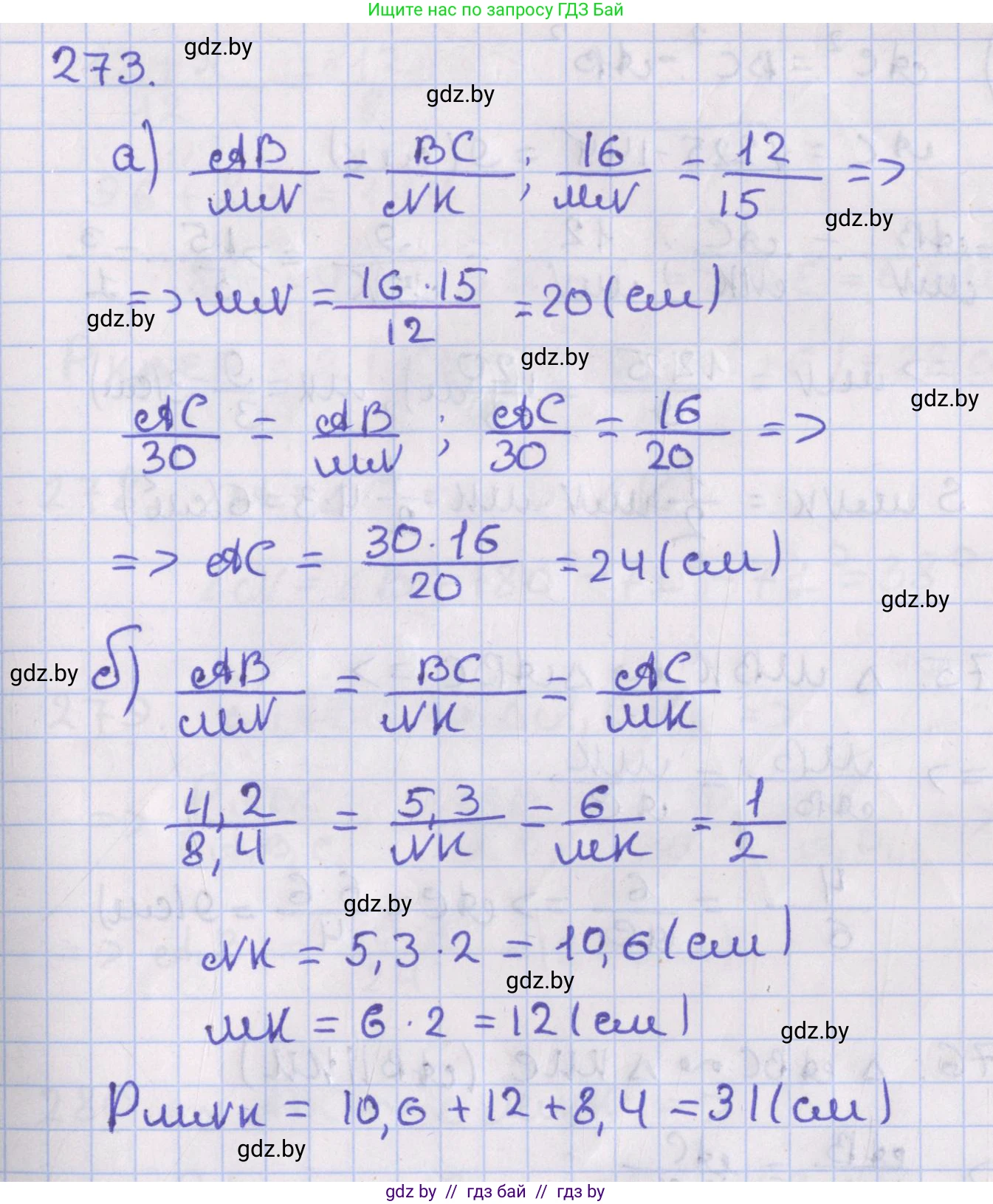
273. Треугольники ABC и MNK на рисунках 258, а), б) подобны, $\angle A = \angle M$, $\angle C = \angle K$. Найдите:

а) сумму $AC + MN$;

б) периметр треугольника MNK (размеры даны в сантиметрах).

Рис. 258

Решение. №273 (с. 131)
Геометрия, 8 класс Учебник, авторы: Казаков Валерий Владимирович, Казакова Ольга Олеговна, издательство Адукацыя i выхаванне, Минск, 2024, оранжевого цвета, страница 131, номер 273, Решение
Решение 2. №273 (с. 131)
Геометрия, 8 класс Учебник, авторы: Казаков Валерий Владимирович, Казакова Ольга Олеговна, издательство Адукацыя i выхаванне, Минск, 2024, оранжевого цвета, страница 131, номер 273, Решение 2
Решение 3. №273 (с. 131)

а)

По условию задачи треугольники $ABC$ и $MNK$ подобны, так как два угла одного треугольника соответственно равны двум углам другого ($\angle A = \angle M$ и $\angle C = \angle K$). Из подобия треугольников ($\triangle ABC \sim \triangle MNK$) следует, что их соответствующие стороны пропорциональны.

Соответствующими являются стороны, лежащие напротив равных углов:
– сторона $BC$ (напротив $\angle A$) соответствует стороне $NK$ (напротив $\angle M$);
– сторона $AB$ (напротив $\angle C$) соответствует стороне $MN$ (напротив $\angle K$);
– сторона $AC$ соответствует стороне $MK$.

Запишем отношение соответствующих сторон:

$\frac{AB}{MN} = \frac{BC}{NK} = \frac{AC}{MK}$

Подставим известные значения из рисунка а): $AB = 16$, $BC = 12$, $NK = 15$, $MK = 30$.

$\frac{16}{MN} = \frac{12}{15} = \frac{AC}{30}$

Из отношения известных сторон $BC$ и $NK$ найдем коэффициент подобия $k$:

$k = \frac{BC}{NK} = \frac{12}{15} = \frac{4}{5}$

Теперь, используя этот коэффициент, найдем длины неизвестных сторон $AC$ и $MN$.

Найдем $AC$ из пропорции $\frac{AC}{MK} = k$:

$\frac{AC}{30} = \frac{4}{5}$

$AC = \frac{4 \times 30}{5} = \frac{120}{5} = 24$

Найдем $MN$ из пропорции $\frac{AB}{MN} = k$:

$\frac{16}{MN} = \frac{4}{5}$

$MN = \frac{16 \times 5}{4} = \frac{80}{4} = 20$

Наконец, найдем искомую сумму $AC + MN$:

$AC + MN = 24 + 20 = 44$

Ответ: 44.

б)

Так же, как и в пункте а), треугольники $ABC$ и $MNK$ подобны ($\triangle ABC \sim \triangle MNK$), поскольку $\angle A = \angle M$ и $\angle C = \angle K$. Следовательно, их соответствующие стороны пропорциональны:

$\frac{AB}{MN} = \frac{BC}{NK} = \frac{AC}{MK} = k$

Подставим известные значения из рисунка б): $AB = 4,2$ см, $BC = 5,3$ см, $AC = 6$ см, $MN = 8,4$ см.

$\frac{4,2}{8,4} = \frac{5,3}{NK} = \frac{6}{MK}$

Найдем коэффициент подобия $k$ из отношения известных соответствующих сторон $AB$ и $MN$:

$k = \frac{AB}{MN} = \frac{4,2}{8,4} = \frac{1}{2}$

Для нахождения периметра треугольника $MNK$ ($P_{MNK} = MN + NK + MK$), нам необходимо найти длины сторон $NK$ и $MK$.

Найдем $NK$ из пропорции $\frac{BC}{NK} = k$:

$\frac{5,3}{NK} = \frac{1}{2}$

$NK = 5,3 \times 2 = 10,6$ см

Найдем $MK$ из пропорции $\frac{AC}{MK} = k$:

$\frac{6}{MK} = \frac{1}{2}$

$MK = 6 \times 2 = 12$ см

Теперь вычислим периметр треугольника $MNK$:

$P_{MNK} = MN + NK + MK = 8,4 + 10,6 + 12 = 19 + 12 = 31$ см.

Альтернативный способ: отношение периметров подобных треугольников равно коэффициенту подобия.
$P_{ABC} = AB + BC + AC = 4,2 + 5,3 + 6 = 15,5$ см.
$\frac{P_{ABC}}{P_{MNK}} = k \Rightarrow \frac{15,5}{P_{MNK}} = \frac{1}{2}$
$P_{MNK} = 15,5 \times 2 = 31$ см.

Ответ: 31 см.

Помогло решение? Оставьте отзыв в комментариях ниже.

Присоединяйтесь к Телеграм-группе @gdz_by_belarus

Присоединиться

Мы подготовили для вас ответ c подробным объяснением домашего задания по геометрии за 8 класс, для упражнения номер 273 расположенного на странице 131 к учебнику 2024 года издания для учащихся школ и гимназий.

Теперь на нашем сайте ГДЗ.ТОП вы всегда легко и бесплатно найдёте условие с правильным ответом на вопрос «Как решить ДЗ» и «Как сделать» задание по геометрии к упражнению №273 (с. 131), авторов: Казаков (Валерий Владимирович), Казакова (Ольга Олеговна), учебного пособия издательства Адукацыя i выхаванне.