Номер 409, страница 188 - гдз по геометрии 8 класс учебник Казаков, Казакова

Геометрия, 8 класс Учебник, авторы: Казаков Валерий Владимирович, Казакова Ольга Олеговна, издательство Адукацыя i выхаванне, Минск, 2024, оранжевого цвета

Авторы: Казаков В. В., Казакова О. О.

Тип: Учебник

Издательство: Адукацыя i выхаванне

Год издания: 2024 - 2025

Цвет обложки: оранжевый

Допущено Министерством образования Республики Беларусь

Популярные ГДЗ в 8 классе

Глава 4. Окружность. Параграф 28. Углы, образованные хордами, секущими и касательными - номер 409, страница 188.

№409 (с. 188)
Условие. №409 (с. 188)
скриншот условия
Геометрия, 8 класс Учебник, авторы: Казаков Валерий Владимирович, Казакова Ольга Олеговна, издательство Адукацыя i выхаванне, Минск, 2024, оранжевого цвета, страница 188, номер 409, Условие Геометрия, 8 класс Учебник, авторы: Казаков Валерий Владимирович, Казакова Ольга Олеговна, издательство Адукацыя i выхаванне, Минск, 2024, оранжевого цвета, страница 188, номер 409, Условие (продолжение 2)

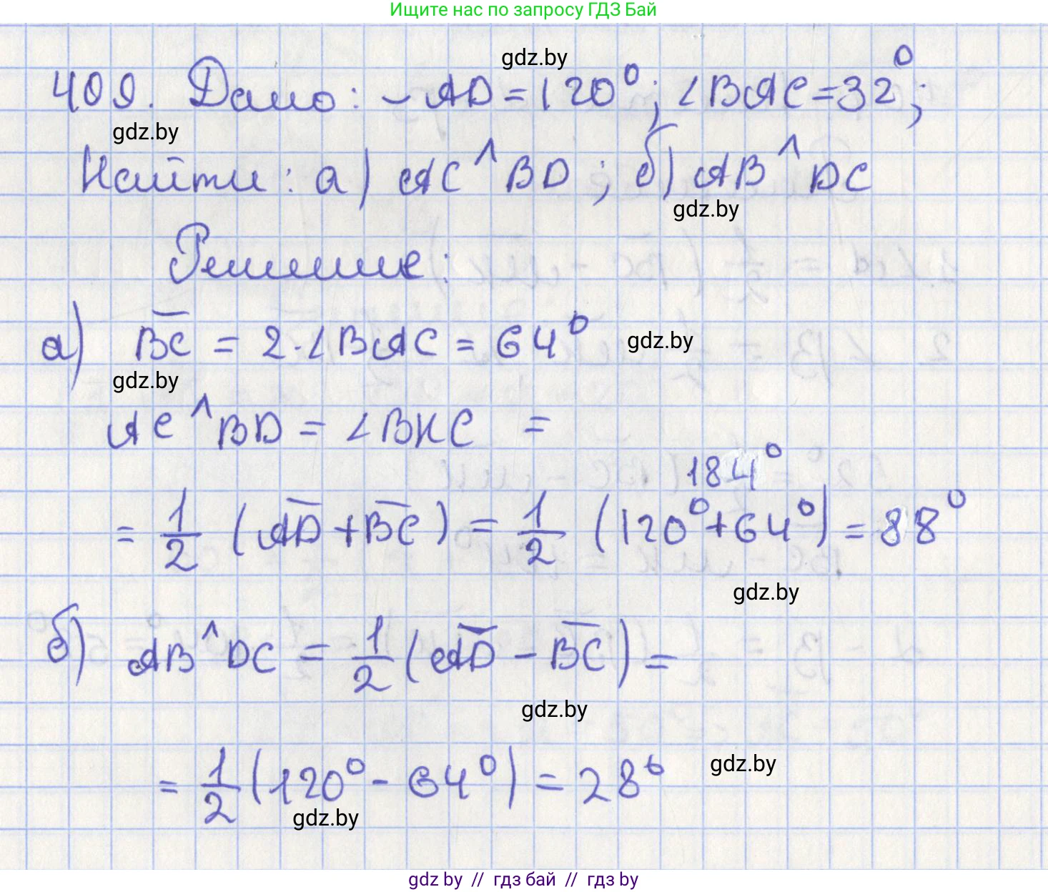
409. Известно, что $\stackrel{\frown}{AD} = 120^{\circ}$, $\angle BAC = 32^{\circ}$ (рис. 380). Найдите угол между прямыми:

а) $AC$ и $BD$;

б) $AB$ и $DC$.

Рис. 380

Решение. №409 (с. 188)
Геометрия, 8 класс Учебник, авторы: Казаков Валерий Владимирович, Казакова Ольга Олеговна, издательство Адукацыя i выхаванне, Минск, 2024, оранжевого цвета, страница 188, номер 409, Решение
Решение 2. №409 (с. 188)
Геометрия, 8 класс Учебник, авторы: Казаков Валерий Владимирович, Казакова Ольга Олеговна, издательство Адукацыя i выхаванне, Минск, 2024, оранжевого цвета, страница 188, номер 409, Решение 2
Решение 3. №409 (с. 188)

а) AC и BD

Угол между прямыми AC и BD — это угол, образованный при пересечении хорд AC и BD. Обозначим точку их пересечения как K. Углом между прямыми принято считать меньший из образовавшихся смежных углов. Найдем один из углов при пересечении, например, $\angle AKD$.

Величина угла между пересекающимися хордами равна полусумме градусных мер дуг, заключенных между его сторонами и сторонами вертикального ему угла. Для угла $\angle AKD$ и вертикального ему угла $\angle BKC$ это дуги AD и BC. Формула имеет вид:$$ \angle AKD = \frac{1}{2}(\cup AD + \cup BC) $$

По условию задачи, градусная мера дуги AD равна $120^\circ$: $\cup AD = 120^\circ$.

Угол $\angle BAC$ является вписанным углом, который опирается на дугу BC. Величина вписанного угла равна половине градусной меры дуги, на которую он опирается. По условию $\angle BAC = 32^\circ$, следовательно, можем найти градусную меру дуги BC:$$ \cup BC = 2 \cdot \angle BAC = 2 \cdot 32^\circ = 64^\circ $$

Теперь мы можем вычислить угол $\angle AKD$, подставив известные значения дуг в формулу:$$ \angle AKD = \frac{1}{2}(120^\circ + 64^\circ) = \frac{1}{2}(184^\circ) = 92^\circ $$

Угол $\angle AKB$ является смежным с углом $\angle AKD$, поэтому их сумма равна $180^\circ$.$$ \angle AKB = 180^\circ - \angle AKD = 180^\circ - 92^\circ = 88^\circ $$

Наименьший из двух углов, образованных при пересечении прямых, равен $88^\circ$. Следовательно, угол между прямыми AC и BD равен $88^\circ$.

Ответ: $88^\circ$

б) AB и DC

Прямые AB и DC являются секущими к окружности, которые, судя по расположению точек на рисунке, пересекаются вне ее. Обозначим точку их пересечения как P.

Угол между двумя секущими, проведенными из одной точки вне окружности, равен полуразности градусных мер большей (дальней) и меньшей (ближней) дуг, которые эти секущие высекают на окружности. В данном случае это дуги AD и BC. Формула для вычисления угла $\angle P$:$$ \angle P = \frac{1}{2}(\cup AD - \cup BC) $$

Градусные меры этих дуг нам известны из условия и предыдущего пункта: $\cup AD = 120^\circ$ и $\cup BC = 64^\circ$.

Подставляем известные значения в формулу и находим искомый угол:$$ \angle P = \frac{1}{2}(120^\circ - 64^\circ) = \frac{1}{2}(56^\circ) = 28^\circ $$

Ответ: $28^\circ$

Помогло решение? Оставьте отзыв в комментариях ниже.

Присоединяйтесь к Телеграм-группе @gdz_by_belarus

Присоединиться

Мы подготовили для вас ответ c подробным объяснением домашего задания по геометрии за 8 класс, для упражнения номер 409 расположенного на странице 188 к учебнику 2024 года издания для учащихся школ и гимназий.

Теперь на нашем сайте ГДЗ.ТОП вы всегда легко и бесплатно найдёте условие с правильным ответом на вопрос «Как решить ДЗ» и «Как сделать» задание по геометрии к упражнению №409 (с. 188), авторов: Казаков (Валерий Владимирович), Казакова (Ольга Олеговна), учебного пособия издательства Адукацыя i выхаванне.