Номер 7, страница 73 - гдз по алгебре 9 класс учебник Арефьева, Пирютко

Алгебра, 9 класс Учебник, авторы: Арефьева Ирина Глебовна, Пирютко Ольга Николаевна, издательство Народная асвета, Минск, 2019, голубого цвета

Авторы: Арефьева И. Г., Пирютко О. Н.

Тип: Учебник

Издательство: Народная асвета

Год издания: 2019 - 2025

Цвет обложки: голубой, синий с графиком

ISBN: 978-985-03-3077-2

Допущено Министерством образования Республики Беларусь

Популярные ГДЗ в 9 классе

Глава 1. Рациональные выражения. Я проверяю свои знания - номер 7, страница 73.

№7 (с. 73)
Условие. №7 (с. 73)
скриншот условия
Алгебра, 9 класс Учебник, авторы: Арефьева Ирина Глебовна, Пирютко Ольга Николаевна, издательство Народная асвета, Минск, 2019, голубого цвета, страница 73, номер 7, Условие

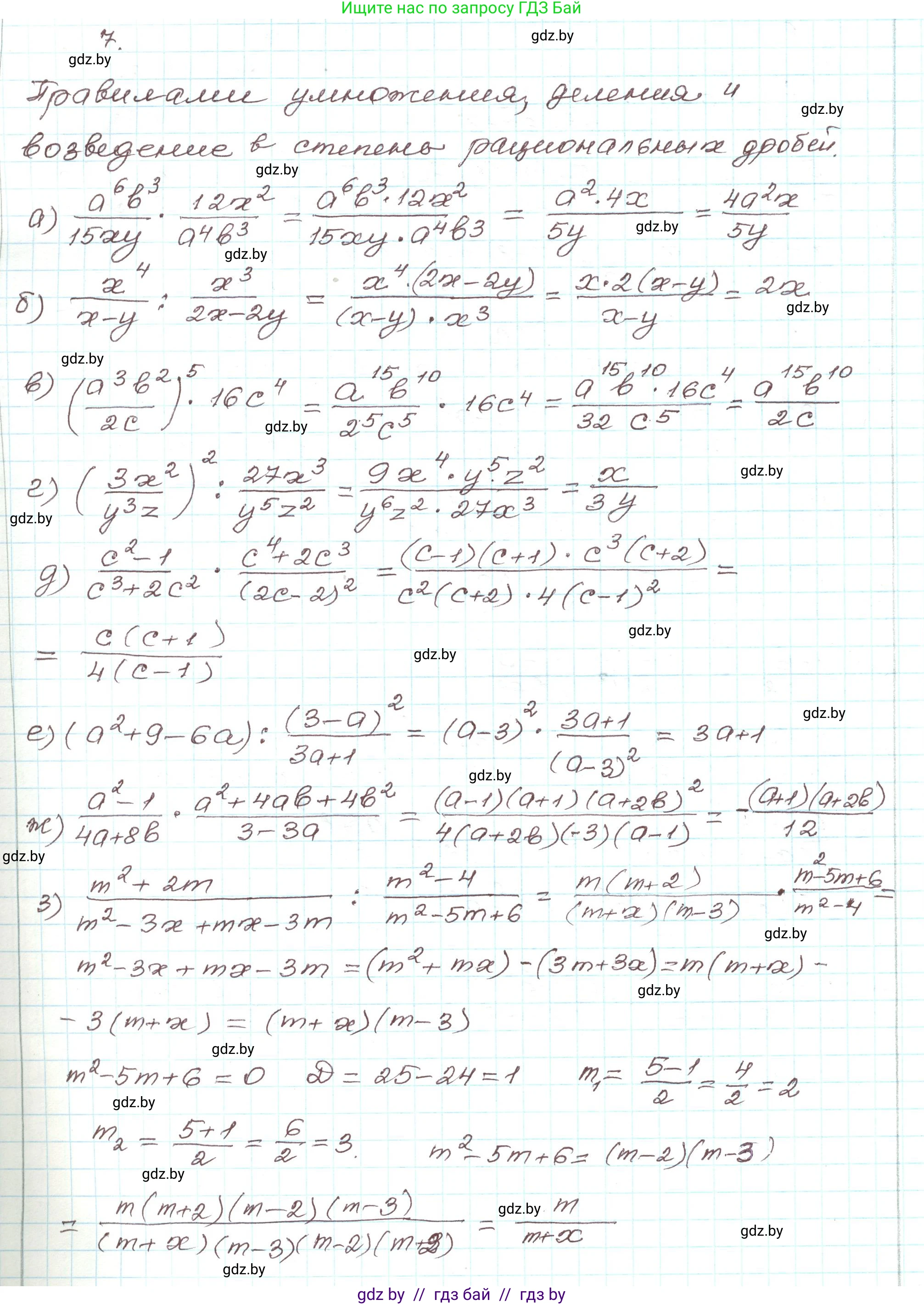
7. Каким правилом нужно воспользоваться, чтобы выполнить умножение рациональных дробей; деление рациональных дробей; возведение рациональной дроби в степень? Примените эти правила и выполните действия:

а) $\frac{a^6b^3}{15xy} \cdot \frac{12x^2}{a^4b^3};$

б) $\frac{x^4}{x-y} : \frac{x^3}{2x-2y};$

в) $\left(\frac{a^3b^2}{2c}\right)^5 \cdot 16c^4;$

г) $\left(\frac{3x^2}{y^3z}\right)^2 : \frac{27x^3}{y^5z^2};$

д) $\frac{c^2-1}{c^3+2c^2} \cdot \frac{c^4+2c^3}{(2c-2)^2};$

е) $\left(a^2 + 9 - 6a\right) : \frac{(3-a)^2}{3a+1};$

ж) $\frac{a^2-1}{4a+8b} \cdot \frac{a^2+4ab+4b^2}{3-3a};$

з) $\frac{m^2+2m}{m^2-3x+mx-3m} : \frac{m^2-4}{m^2-5m+6}.$

Решение. №7 (с. 73)
Алгебра, 9 класс Учебник, авторы: Арефьева Ирина Глебовна, Пирютко Ольга Николаевна, издательство Народная асвета, Минск, 2019, голубого цвета, страница 73, номер 7, Решение
Решение 2. №7 (с. 73)

Для выполнения указанных действий с рациональными дробями необходимо использовать следующие правила:

  • Умножение рациональных дробей: Чтобы умножить одну рациональную дробь на другую, нужно перемножить их числители и знаменатели соответственно. Результат произведения числителей становится новым числителем, а результат произведения знаменателей — новым знаменателем.
    Формула: $\frac{A}{B} \cdot \frac{C}{D} = \frac{A \cdot C}{B \cdot D}$
  • Деление рациональных дробей: Чтобы разделить одну рациональную дробь на другую, нужно первую дробь умножить на дробь, обратную (перевернутую) второй.
    Формула: $\frac{A}{B} : \frac{C}{D} = \frac{A}{B} \cdot \frac{D}{C} = \frac{A \cdot D}{B \cdot C}$
  • Возведение рациональной дроби в степень: Чтобы возвести рациональную дробь в степень, нужно возвести в эту степень отдельно числитель и знаменатель.
    Формула: $(\frac{A}{B})^n = \frac{A^n}{B^n}$

Применим эти правила для выполнения действий:

а) $\frac{a^6b^3}{15xy} \cdot \frac{12x^2}{a^4b^3} = \frac{a^6b^3 \cdot 12x^2}{15xy \cdot a^4b^3}$
Сокращаем числовые коэффициенты: $\frac{12}{15} = \frac{4}{5}$.
Сокращаем переменные, используя свойства степеней ($\frac{a^m}{a^n} = a^{m-n}$):
$\frac{a^6}{a^4} = a^{6-4} = a^2$
$\frac{b^3}{b^3} = 1$
$\frac{x^2}{x} = x^{2-1} = x$
Собираем все вместе:
$\frac{4 \cdot a^2 \cdot 1 \cdot x}{5 \cdot 1 \cdot y} = \frac{4a^2x}{5y}$
Ответ: $\frac{4a^2x}{5y}$

б) $\frac{x^4}{x-y} : \frac{x^3}{2x-2y}$
Применяем правило деления, переворачивая вторую дробь и заменяя деление умножением. Также выносим общий множитель в знаменателе второй дроби:
$\frac{x^4}{x-y} \cdot \frac{2x-2y}{x^3} = \frac{x^4}{x-y} \cdot \frac{2(x-y)}{x^3}$
Теперь умножаем и сокращаем:
$\frac{x^4 \cdot 2(x-y)}{(x-y) \cdot x^3} = \frac{2x^4(x-y)}{x^3(x-y)}$
Сокращаем $(x-y)$ и $x^3$:
$2x^{4-3} = 2x$
Ответ: $2x$

в) $(\frac{a^3b^2}{2c})^5 \cdot 16c^4$
Сначала возводим дробь в степень:
$\frac{(a^3)^5(b^2)^5}{(2c)^5} \cdot 16c^4 = \frac{a^{15}b^{10}}{32c^5} \cdot 16c^4$
Теперь умножаем:
$\frac{a^{15}b^{10} \cdot 16c^4}{32c^5} = \frac{16a^{15}b^{10}c^4}{32c^5}$
Сокращаем коэффициенты и переменные:
$\frac{16}{32} = \frac{1}{2}$
$\frac{c^4}{c^5} = \frac{1}{c}$
Результат: $\frac{a^{15}b^{10}}{2c}$
Ответ: $\frac{a^{15}b^{10}}{2c}$

г) $(\frac{3x^2}{y^3z})^2 : \frac{27x^3}{y^5z^2}$
Возводим первую дробь в степень:
$\frac{(3x^2)^2}{(y^3z)^2} = \frac{9x^4}{y^6z^2}$
Теперь выполняем деление:
$\frac{9x^4}{y^6z^2} : \frac{27x^3}{y^5z^2} = \frac{9x^4}{y^6z^2} \cdot \frac{y^5z^2}{27x^3} = \frac{9x^4y^5z^2}{27x^3y^6z^2}$
Сокращаем:
$\frac{9}{27} = \frac{1}{3}$
$\frac{x^4}{x^3} = x$
$\frac{y^5}{y^6} = \frac{1}{y}$
$\frac{z^2}{z^2} = 1$
Результат: $\frac{x}{3y}$
Ответ: $\frac{x}{3y}$

д) $\frac{c^2-1}{c^3+2c^2} \cdot \frac{c^4+2c^3}{(2c-2)^2}$
Раскладываем числители и знаменатели на множители:
$c^2-1 = (c-1)(c+1)$
$c^3+2c^2 = c^2(c+2)$
$c^4+2c^3 = c^3(c+2)$
$(2c-2)^2 = (2(c-1))^2 = 4(c-1)^2$
Подставляем и умножаем:
$\frac{(c-1)(c+1)}{c^2(c+2)} \cdot \frac{c^3(c+2)}{4(c-1)^2} = \frac{(c-1)(c+1)c^3(c+2)}{4c^2(c+2)(c-1)^2}$
Сокращаем общие множители $(c+2)$, $c^2$, и $(c-1)$:
$\frac{c(c+1)}{4(c-1)} = \frac{c^2+c}{4c-4}$
Получилась неправильная дробь (степень числителя больше степени знаменателя). Выделим целую часть с помощью деления многочлена на многочлен (в столбик):
$(c^2+c) : (4c-4)$. Получаем частное $\frac{1}{4}c + \frac{1}{2}$ и остаток $2$.
Таким образом: $\frac{c^2+c}{4c-4} = \frac{1}{4}c + \frac{1}{2} + \frac{2}{4c-4} = \frac{c+2}{4} + \frac{1}{2(c-1)}$
Ответ: $\frac{c+2}{4} + \frac{1}{2(c-1)}$

е) $(a^2+9-6a) : \frac{(3-a)^2}{3a+1}$
Представим первый многочлен в виде дроби и разложим его на множители:
$a^2-6a+9 = (a-3)^2$
Заметим, что $(3-a)^2 = (-(a-3))^2 = (a-3)^2$.
Выполняем деление:
$\frac{(a-3)^2}{1} : \frac{(a-3)^2}{3a+1} = \frac{(a-3)^2}{1} \cdot \frac{3a+1}{(a-3)^2}$
Сокращаем $(a-3)^2$:
$3a+1$
Ответ: $3a+1$

ж) $\frac{a^2-1}{4a+8b} \cdot \frac{a^2+4ab+4b^2}{3-3a}$
Раскладываем на множители:
$a^2-1 = (a-1)(a+1)$
$4a+8b = 4(a+2b)$
$a^2+4ab+4b^2 = (a+2b)^2$
$3-3a = 3(1-a) = -3(a-1)$
Подставляем и умножаем:
$\frac{(a-1)(a+1)}{4(a+2b)} \cdot \frac{(a+2b)^2}{-3(a-1)} = \frac{(a-1)(a+1)(a+2b)^2}{-12(a+2b)(a-1)}$
Сокращаем общие множители $(a-1)$ и $(a+2b)$:
$\frac{(a+1)(a+2b)}{-12} = -\frac{(a+1)(a+2b)}{12}$
Ответ: $-\frac{(a+1)(a+2b)}{12}$

з) $\frac{m^2+2m}{m^2-3x+mx-3m} : \frac{m^2-4}{m^2-5m+6}$
Раскладываем все на множители:
$m^2+2m = m(m+2)$
$m^2-3x+mx-3m = (m^2-3m) + (mx-3x) = m(m-3)+x(m-3) = (m-3)(m+x)$
$m^2-4 = (m-2)(m+2)$
$m^2-5m+6 = (m-2)(m-3)$
Подставляем и выполняем деление:
$\frac{m(m+2)}{(m-3)(m+x)} : \frac{(m-2)(m+2)}{(m-2)(m-3)} = \frac{m(m+2)}{(m-3)(m+x)} \cdot \frac{(m-2)(m-3)}{(m-2)(m+2)}$
Сокращаем общие множители $(m+2)$, $(m-3)$, и $(m-2)$:
$\frac{m}{m+x}$
Получили неправильную дробь (степени числителя и знаменателя равны). Выделим целую часть:
$\frac{m}{m+x} = \frac{m+x-x}{m+x} = \frac{m+x}{m+x} - \frac{x}{m+x} = 1 - \frac{x}{m+x}$
Ответ: $1 - \frac{x}{m+x}$

Помогло решение? Оставьте отзыв в комментариях ниже.

Присоединяйтесь к Телеграм-группе @gdz_by_belarus

Присоединиться

Мы подготовили для вас ответ c подробным объяснением домашего задания по алгебре за 9 класс, для упражнения номер 7 расположенного на странице 73 к учебнику 2019 года издания для учащихся школ и гимназий.

Теперь на нашем сайте ГДЗ.ТОП вы всегда легко и бесплатно найдёте условие с правильным ответом на вопрос «Как решить ДЗ» и «Как сделать» задание по алгебре к упражнению №7 (с. 73), авторов: Арефьева (Ирина Глебовна), Пирютко (Ольга Николаевна), учебного пособия издательства Народная асвета.