Номер 9, страница 73 - гдз по алгебре 9 класс учебник Арефьева, Пирютко

Алгебра, 9 класс Учебник, авторы: Арефьева Ирина Глебовна, Пирютко Ольга Николаевна, издательство Народная асвета, Минск, 2019, голубого цвета

Авторы: Арефьева И. Г., Пирютко О. Н.

Тип: Учебник

Издательство: Народная асвета

Год издания: 2019 - 2025

Цвет обложки: голубой, синий с графиком

ISBN: 978-985-03-3077-2

Допущено Министерством образования Республики Беларусь

Популярные ГДЗ в 9 классе

Глава 1. Рациональные выражения. Я проверяю свои знания - номер 9, страница 73.

№9 (с. 73)
Условие. №9 (с. 73)
скриншот условия
Алгебра, 9 класс Учебник, авторы: Арефьева Ирина Глебовна, Пирютко Ольга Николаевна, издательство Народная асвета, Минск, 2019, голубого цвета, страница 73, номер 9, Условие

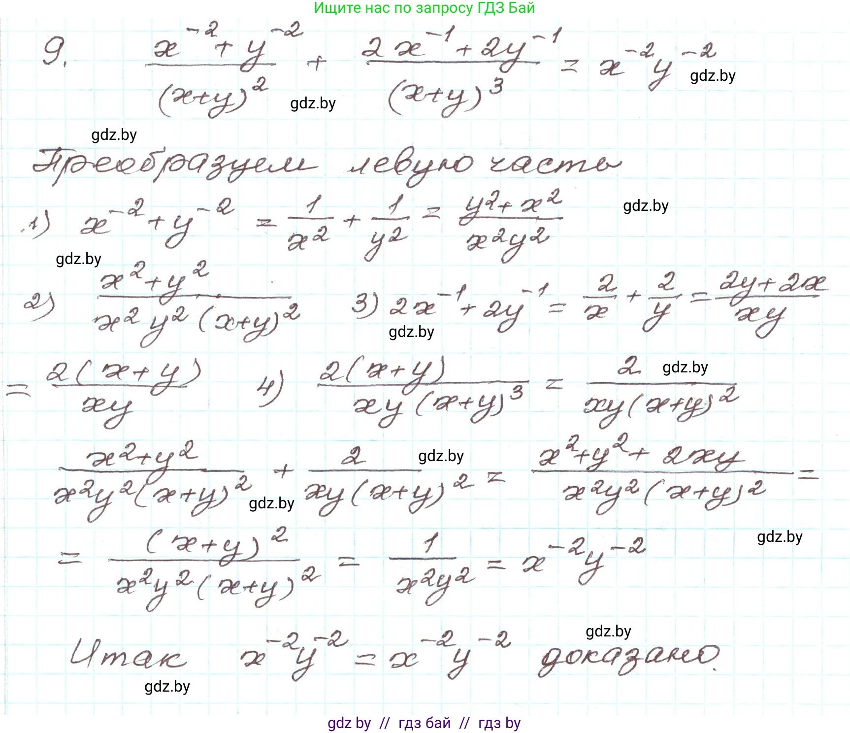
9. Докажите тождество

$ \frac{x^{-2}+y^{-2}}{(x+y)^2}+\frac{2x^{-1}+2y^{-1}}{(x+y)^3}=x^{-2}y^{-2} $

Решение. №9 (с. 73)
Алгебра, 9 класс Учебник, авторы: Арефьева Ирина Глебовна, Пирютко Ольга Николаевна, издательство Народная асвета, Минск, 2019, голубого цвета, страница 73, номер 9, Решение
Решение 2. №9 (с. 73)

Для доказательства тождества необходимо преобразовать одну из его частей так, чтобы она стала идентичной другой части. Преобразуем левую часть (ЛЧ) выражения.

Исходное тождество:

$ \frac{x^{-2} + y^{-2}}{(x + y)^2} + \frac{2x^{-1} + 2y^{-1}}{(x + y)^3} = x^{-2}y^{-2} $

1. Начнем с преобразования выражений с отрицательными степенями в числителях дробей, используя правило $ a^{-n} = \frac{1}{a^n} $.

$ x^{-2} + y^{-2} = \frac{1}{x^2} + \frac{1}{y^2} = \frac{y^2 + x^2}{x^2y^2} $

$ 2x^{-1} + 2y^{-1} = 2(\frac{1}{x}) + 2(\frac{1}{y}) = \frac{2y + 2x}{xy} = \frac{2(x+y)}{xy} $

2. Теперь подставим эти преобразованные выражения обратно в левую часть исходного тождества.

$ ЛЧ = \frac{\frac{x^2 + y^2}{x^2y^2}}{(x + y)^2} + \frac{\frac{2(x+y)}{xy}}{(x + y)^3} $

3. Упростим полученные "многоэтажные" дроби.

$ ЛЧ = \frac{x^2 + y^2}{x^2y^2(x + y)^2} + \frac{2(x+y)}{xy(x + y)^3} $

4. Во второй дроби можно сократить общий множитель $ (x+y) $ в числителе и знаменателе.

$ ЛЧ = \frac{x^2 + y^2}{x^2y^2(x + y)^2} + \frac{2}{xy(x + y)^2} $

5. Приведем дроби к общему знаменателю, который равен $ x^2y^2(x + y)^2 $. Для этого домножим числитель и знаменатель второй дроби на $ xy $.

$ ЛЧ = \frac{x^2 + y^2}{x^2y^2(x + y)^2} + \frac{2 \cdot xy}{xy \cdot xy(x + y)^2} = \frac{x^2 + y^2}{x^2y^2(x + y)^2} + \frac{2xy}{x^2y^2(x + y)^2} $

6. Теперь, когда знаменатели одинаковы, сложим числители.

$ ЛЧ = \frac{x^2 + y^2 + 2xy}{x^2y^2(x + y)^2} $

7. Выражение в числителе $ x^2 + 2xy + y^2 $ является формулой квадрата суммы: $ (x+y)^2 $.

$ ЛЧ = \frac{(x+y)^2}{x^2y^2(x+y)^2} $

8. Сократим дробь на общий множитель $ (x+y)^2 $.

$ ЛЧ = \frac{1}{x^2y^2} $

9. Наконец, представим результат в виде произведения степеней с отрицательным показателем, чтобы он соответствовал правой части тождества.

$ ЛЧ = x^{-2}y^{-2} $

Таким образом, мы преобразовали левую часть тождества и получили в точности его правую часть. Следовательно, тождество доказано.

Ответ: Доказано.

Помогло решение? Оставьте отзыв в комментариях ниже.

Присоединяйтесь к Телеграм-группе @gdz_by_belarus

Присоединиться

Мы подготовили для вас ответ c подробным объяснением домашего задания по алгебре за 9 класс, для упражнения номер 9 расположенного на странице 73 к учебнику 2019 года издания для учащихся школ и гимназий.

Теперь на нашем сайте ГДЗ.ТОП вы всегда легко и бесплатно найдёте условие с правильным ответом на вопрос «Как решить ДЗ» и «Как сделать» задание по алгебре к упражнению №9 (с. 73), авторов: Арефьева (Ирина Глебовна), Пирютко (Ольга Николаевна), учебного пособия издательства Народная асвета.