Номер 4.197, страница 243 - гдз по алгебре 9 класс учебник Арефьева, Пирютко

Алгебра, 9 класс Учебник, авторы: Арефьева Ирина Глебовна, Пирютко Ольга Николаевна, издательство Народная асвета, Минск, 2019, голубого цвета

Авторы: Арефьева И. Г., Пирютко О. Н.

Тип: Учебник

Издательство: Народная асвета

Год издания: 2019 - 2025

Цвет обложки: голубой, синий с графиком

ISBN: 978-985-03-3077-2

Допущено Министерством образования Республики Беларусь

Популярные ГДЗ в 9 классе

Глава 4. Прогрессии. Параграф 17. Геометрическая прогрессия - номер 4.197, страница 243.

№4.197 (с. 243)
Условие. №4.197 (с. 243)
скриншот условия
Алгебра, 9 класс Учебник, авторы: Арефьева Ирина Глебовна, Пирютко Ольга Николаевна, издательство Народная асвета, Минск, 2019, голубого цвета, страница 243, номер 4.197, Условие

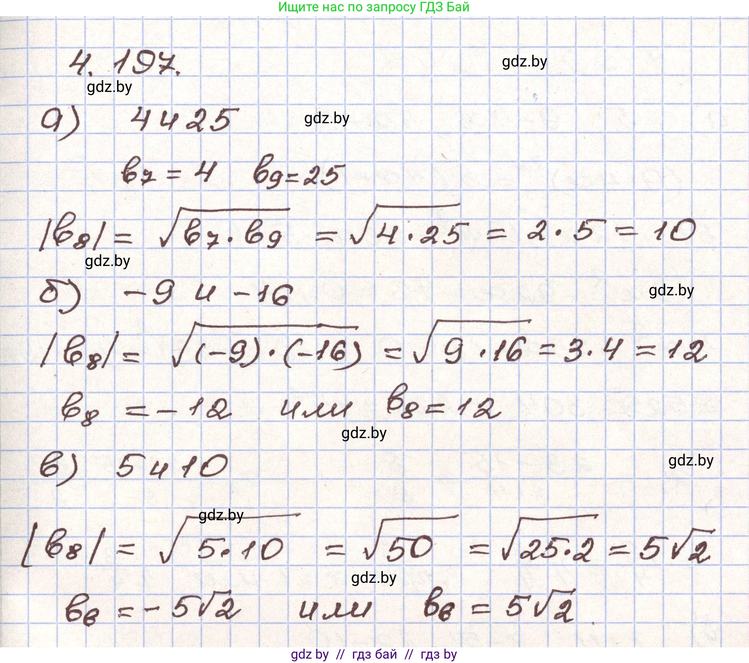
4.197. Найдите восьмой член геометрической прогрессии, если седьмой и девятый ее члены соответственно равны:

а) $4$ и $25$;

б) $-9$ и $-16$;

в) $5$ и $10$.

Решение. №4.197 (с. 243)
Алгебра, 9 класс Учебник, авторы: Арефьева Ирина Глебовна, Пирютко Ольга Николаевна, издательство Народная асвета, Минск, 2019, голубого цвета, страница 243, номер 4.197, Решение
Решение 2. №4.197 (с. 243)

Для решения этой задачи используется свойство геометрической прогрессии: любой член прогрессии, начиная со второго, является средним геометрическим своих соседей (предыдущего и последующего членов). Для восьмого члена $b_8$, седьмого $b_7$ и девятого $b_9$ это свойство записывается в виде формулы:

$$ b_8^2 = b_7 \cdot b_9 $$

Из этой формулы следует, что $b_8 = \pm\sqrt{b_7 \cdot b_9}$. Наличие двух возможных знаков означает, что может существовать две прогрессии, удовлетворяющие условию: одна с положительным знаменателем $q$, другая с отрицательным.

а) Даны седьмой и девятый члены прогрессии: $b_7 = 4$ и $b_9 = 25$.

Подставим эти значения в формулу:

$$ b_8^2 = 4 \cdot 25 = 100 $$

Тогда восьмой член равен:

$$ b_8 = \pm\sqrt{100} = \pm 10 $$

Ответ: 10 или -10.

б) Даны седьмой и девятый члены прогрессии: $b_7 = -9$ и $b_9 = -16$.

Подставим эти значения в формулу:

$$ b_8^2 = (-9) \cdot (-16) = 144 $$

Тогда восьмой член равен:

$$ b_8 = \pm\sqrt{144} = \pm 12 $$

Ответ: 12 или -12.

в) Даны седьмой и девятый члены прогрессии: $b_7 = 5$ и $b_9 = 10$.

Подставим эти значения в формулу:

$$ b_8^2 = 5 \cdot 10 = 50 $$

Тогда восьмой член равен:

$$ b_8 = \pm\sqrt{50} = \pm\sqrt{25 \cdot 2} = \pm 5\sqrt{2} $$

Ответ: $5\sqrt{2}$ или $-5\sqrt{2}$.

Помогло решение? Оставьте отзыв в комментариях ниже.

Присоединяйтесь к Телеграм-группе @gdz_by_belarus

Присоединиться

Мы подготовили для вас ответ c подробным объяснением домашего задания по алгебре за 9 класс, для упражнения номер 4.197 расположенного на странице 243 к учебнику 2019 года издания для учащихся школ и гимназий.

Теперь на нашем сайте ГДЗ.ТОП вы всегда легко и бесплатно найдёте условие с правильным ответом на вопрос «Как решить ДЗ» и «Как сделать» задание по алгебре к упражнению №4.197 (с. 243), авторов: Арефьева (Ирина Глебовна), Пирютко (Ольга Николаевна), учебного пособия издательства Народная асвета.