Номер 4.199, страница 243 - гдз по алгебре 9 класс учебник Арефьева, Пирютко

Алгебра, 9 класс Учебник, авторы: Арефьева Ирина Глебовна, Пирютко Ольга Николаевна, издательство Народная асвета, Минск, 2019, голубого цвета

Авторы: Арефьева И. Г., Пирютко О. Н.

Тип: Учебник

Издательство: Народная асвета

Год издания: 2019 - 2025

Цвет обложки: голубой, синий с графиком

ISBN: 978-985-03-3077-2

Допущено Министерством образования Республики Беларусь

Популярные ГДЗ в 9 классе

Глава 4. Прогрессии. Параграф 17. Геометрическая прогрессия - номер 4.199, страница 243.

№4.199 (с. 243)
Условие. №4.199 (с. 243)
скриншот условия
Алгебра, 9 класс Учебник, авторы: Арефьева Ирина Глебовна, Пирютко Ольга Николаевна, издательство Народная асвета, Минск, 2019, голубого цвета, страница 243, номер 4.199, Условие

4.199. Найдите, при каком значении переменной значения выражений будут последовательными членами геометрической прогрессии:

а) $5$; $9-4x$ и $4x+1$;

б) $x+11$; $x-5$ и $2x-10$;

в) $4$; $x-5$ и $(x+3)^2$.

Решение. №4.199 (с. 243)
Алгебра, 9 класс Учебник, авторы: Арефьева Ирина Глебовна, Пирютко Ольга Николаевна, издательство Народная асвета, Минск, 2019, голубого цвета, страница 243, номер 4.199, Решение Алгебра, 9 класс Учебник, авторы: Арефьева Ирина Глебовна, Пирютко Ольга Николаевна, издательство Народная асвета, Минск, 2019, голубого цвета, страница 243, номер 4.199, Решение (продолжение 2)
Решение 2. №4.199 (с. 243)

Для того чтобы три числа $b_1$, $b_2$ и $b_3$ были последовательными членами геометрической прогрессии, необходимо и достаточно, чтобы выполнялось характеристическое свойство геометрической прогрессии: квадрат среднего члена равен произведению двух крайних членов.

Формула: $b_2^2 = b_1 \cdot b_3$

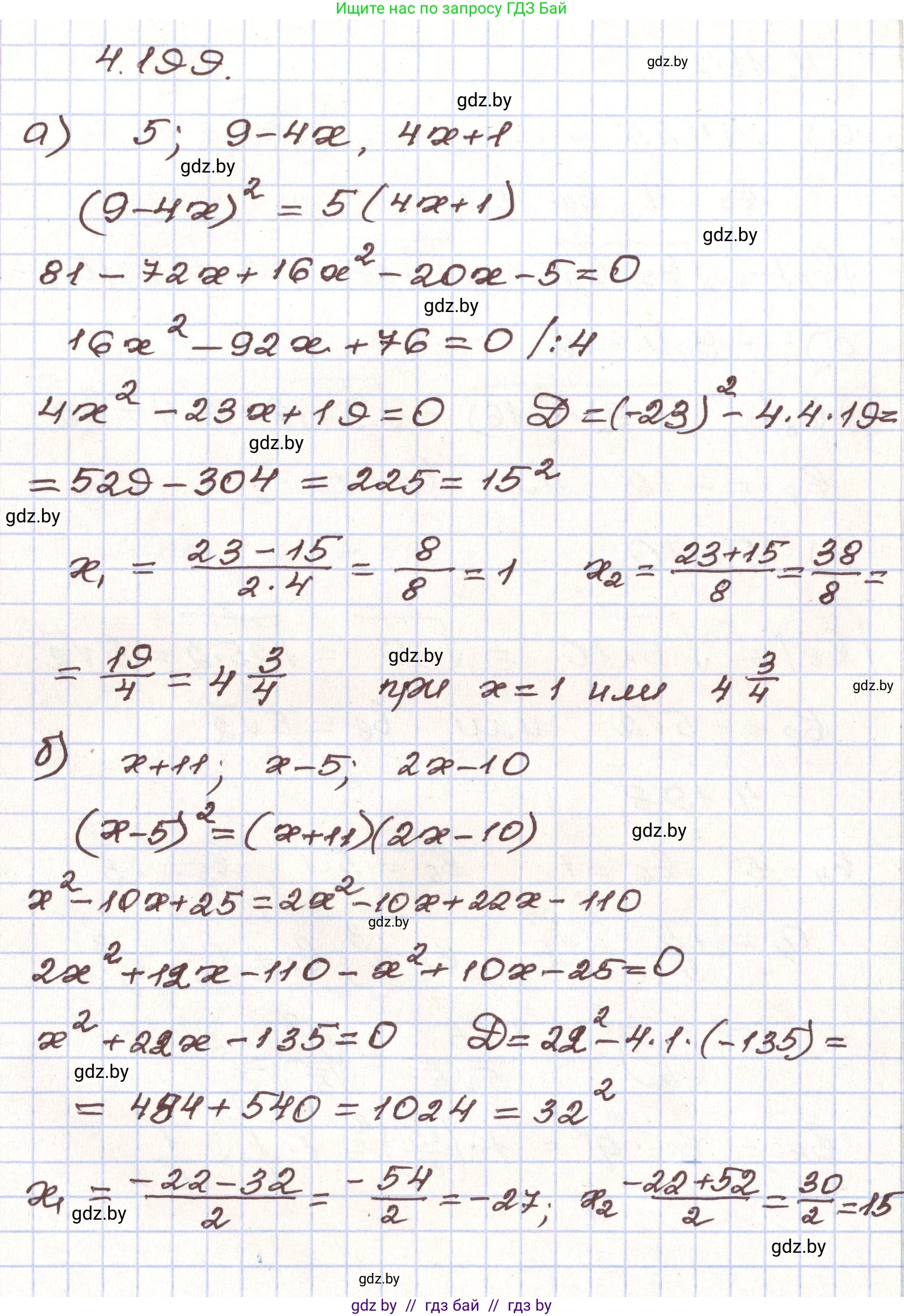
а) 5; 9 − 4x и 4x + 1;

Пусть $b_1 = 5$, $b_2 = 9 - 4x$ и $b_3 = 4x + 1$.

Согласно свойству геометрической прогрессии, составим уравнение:

$(9 - 4x)^2 = 5 \cdot (4x + 1)$

Раскроем скобки в обеих частях уравнения:

$81 - 2 \cdot 9 \cdot 4x + (4x)^2 = 20x + 5$

$81 - 72x + 16x^2 = 20x + 5$

Перенесем все члены в левую часть и приведем подобные слагаемые, чтобы получить квадратное уравнение:

$16x^2 - 72x - 20x + 81 - 5 = 0$

$16x^2 - 92x + 76 = 0$

Для удобства разделим все уравнение на 4:

$4x^2 - 23x + 19 = 0$

Решим квадратное уравнение через дискриминант $D = b^2 - 4ac$:

$D = (-23)^2 - 4 \cdot 4 \cdot 19 = 529 - 304 = 225$

Найдем корни уравнения:

$x_1 = \frac{-(-23) + \sqrt{225}}{2 \cdot 4} = \frac{23 + 15}{8} = \frac{38}{8} = \frac{19}{4}$

$x_2 = \frac{-(-23) - \sqrt{225}}{2 \cdot 4} = \frac{23 - 15}{8} = \frac{8}{8} = 1$

Преобразуем неправильную дробь $\frac{19}{4}$ в смешанное число: $\frac{19}{4} = 4\frac{3}{4}$.

Ответ: $1$ и $\mathbf{4}\frac{3}{4}$.

б) x + 11; x − 5 и 2x − 10;

Пусть $b_1 = x + 11$, $b_2 = x - 5$ и $b_3 = 2x - 10$.

Составим уравнение на основе свойства геометрической прогрессии:

$(x - 5)^2 = (x + 11)(2x - 10)$

Вынесем общий множитель 2 в правой части:

$(x - 5)^2 = (x + 11) \cdot 2(x - 5)$

Перенесем все в левую часть и вынесем общий множитель $(x - 5)$ за скобки:

$(x - 5)^2 - 2(x + 11)(x - 5) = 0$

$(x - 5) \cdot [ (x - 5) - 2(x + 11) ] = 0$

$(x - 5) \cdot (x - 5 - 2x - 22) = 0$

$(x - 5) \cdot (-x - 27) = 0$

Произведение равно нулю, если один из множителей равен нулю:

1) $x - 5 = 0 \implies x = 5$

2) $-x - 27 = 0 \implies -x = 27 \implies x = -27$

Ответ: $-27$ и $5$.

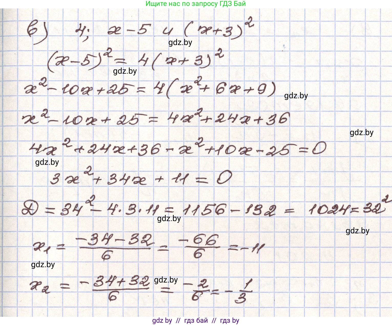
в) 4; x − 5 и (x + 3)²;

Пусть $b_1 = 4$, $b_2 = x - 5$ и $b_3 = (x + 3)^2$.

Составим уравнение, используя свойство геометрической прогрессии:

$(x - 5)^2 = 4 \cdot (x + 3)^2$

Это уравнение вида $A^2 = B^2$, которое равносильно $A = B$ или $A = -B$. Возьмем квадратный корень из обеих частей:

$\sqrt{(x - 5)^2} = \sqrt{4(x + 3)^2}$

$|x - 5| = 2|x + 3|$

Раскроем модули, что приводит к двум случаям:

Случай 1: $x - 5 = 2(x + 3)$

$x - 5 = 2x + 6$

$x - 2x = 6 + 5$

$-x = 11 \implies x = -11$

Случай 2: $x - 5 = -2(x + 3)$

$x - 5 = -2x - 6$

$x + 2x = 5 - 6$

$3x = -1 \implies x = -\frac{1}{3}$

Ответ: $-11$ и $-\frac{1}{3}$.

Помогло решение? Оставьте отзыв в комментариях ниже.

Присоединяйтесь к Телеграм-группе @gdz_by_belarus

Присоединиться

Мы подготовили для вас ответ c подробным объяснением домашего задания по алгебре за 9 класс, для упражнения номер 4.199 расположенного на странице 243 к учебнику 2019 года издания для учащихся школ и гимназий.

Теперь на нашем сайте ГДЗ.ТОП вы всегда легко и бесплатно найдёте условие с правильным ответом на вопрос «Как решить ДЗ» и «Как сделать» задание по алгебре к упражнению №4.199 (с. 243), авторов: Арефьева (Ирина Глебовна), Пирютко (Ольга Николаевна), учебного пособия издательства Народная асвета.