Номер 4.193, страница 243 - гдз по алгебре 9 класс учебник Арефьева, Пирютко

Алгебра, 9 класс Учебник, авторы: Арефьева Ирина Глебовна, Пирютко Ольга Николаевна, издательство Народная асвета, Минск, 2019, голубого цвета

Авторы: Арефьева И. Г., Пирютко О. Н.

Тип: Учебник

Издательство: Народная асвета

Год издания: 2019 - 2025

Цвет обложки: голубой, синий с графиком

ISBN: 978-985-03-3077-2

Допущено Министерством образования Республики Беларусь

Популярные ГДЗ в 9 классе

Глава 4. Прогрессии. Параграф 17. Геометрическая прогрессия - номер 4.193, страница 243.

№4.193 (с. 243)
Условие. №4.193 (с. 243)
скриншот условия
Алгебра, 9 класс Учебник, авторы: Арефьева Ирина Глебовна, Пирютко Ольга Николаевна, издательство Народная асвета, Минск, 2019, голубого цвета, страница 243, номер 4.193, Условие

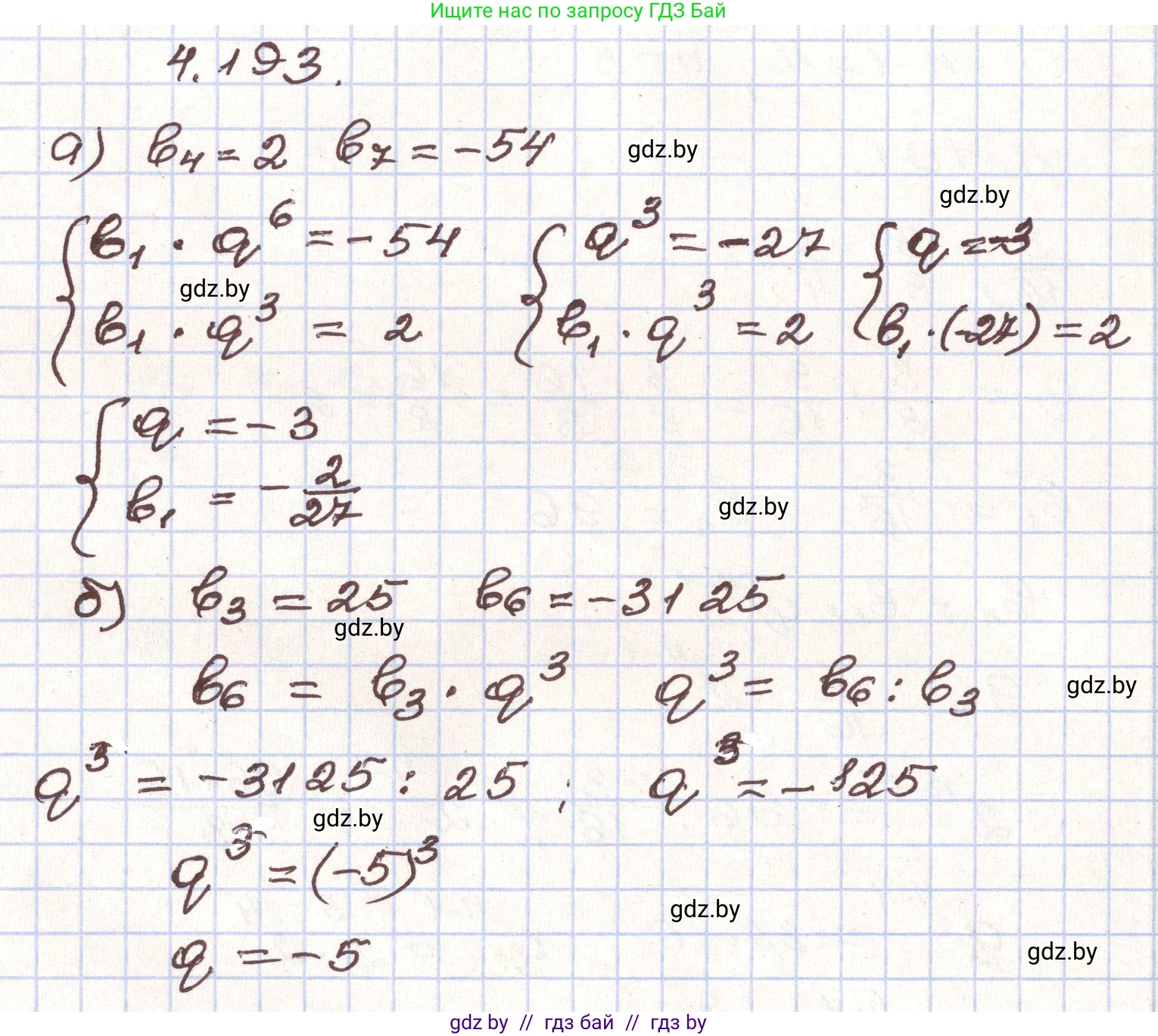
4.193. Найдите знаменатель и первый член геометрической прогрессии ($b_n$), если:

а) $b_4 = 2, b_7 = -54;$

б) $b_3 = 25, b_6 = -3125;$

в) $b_2 = 10^8, b_6 = 10^4.$

Решение. №4.193 (с. 243)
Алгебра, 9 класс Учебник, авторы: Арефьева Ирина Глебовна, Пирютко Ольга Николаевна, издательство Народная асвета, Минск, 2019, голубого цвета, страница 243, номер 4.193, Решение Алгебра, 9 класс Учебник, авторы: Арефьева Ирина Глебовна, Пирютко Ольга Николаевна, издательство Народная асвета, Минск, 2019, голубого цвета, страница 243, номер 4.193, Решение (продолжение 2)
Решение 2. №4.193 (с. 243)

а) Дано: $b_4 = 2$, $b_7 = -54$.

Для нахождения знаменателя прогрессии $q$ воспользуемся формулой, связывающей любые два члена геометрической прогрессии: $b_n = b_m \cdot q^{n-m}$.

Применим эту формулу для $b_7$ и $b_4$:

$b_7 = b_4 \cdot q^{7-4}$

$-54 = 2 \cdot q^3$

Разделим обе части уравнения на 2:

$q^3 = \frac{-54}{2} = -27$

Отсюда находим $q$, извлекая кубический корень:

$q = \sqrt[3]{-27} = -3$

Теперь найдем первый член прогрессии $b_1$, используя формулу n-го члена $b_n = b_1 \cdot q^{n-1}$ для $b_4$:

$b_4 = b_1 \cdot q^{4-1} = b_1 \cdot q^3$

$2 = b_1 \cdot (-3)^3$

$2 = b_1 \cdot (-27)$

$b_1 = -\frac{2}{27}$

Ответ: знаменатель $q = -3$, первый член $b_1 = -\frac{2}{27}$.

б) Дано: $b_3 = 25$, $b_6 = -3125$.

1. Найдем знаменатель прогрессии $q$ из соотношения $b_6 = b_3 \cdot q^{6-3}$:

$-3125 = 25 \cdot q^3$

$q^3 = \frac{-3125}{25} = -125$

$q = \sqrt[3]{-125} = -5$

2. Найдем первый член $b_1$ из формулы $b_3 = b_1 \cdot q^{3-1} = b_1 \cdot q^2$:

$25 = b_1 \cdot (-5)^2$

$25 = b_1 \cdot 25$

$b_1 = 1$

Ответ: знаменатель $q = -5$, первый член $b_1 = 1$.

в) Дано: $b_2 = 10^8$, $b_6 = 10^4$.

1. Найдем знаменатель прогрессии $q$ из соотношения $b_6 = b_2 \cdot q^{6-2}$:

$10^4 = 10^8 \cdot q^4$

$q^4 = \frac{10^4}{10^8} = 10^{-4} = \frac{1}{10000}$

Так как показатель степени $4$ — четное число, уравнение имеет два действительных корня:

$q = \pm\sqrt[4]{\frac{1}{10000}} = \pm\frac{1}{10}$

2. Следовательно, существуют две возможные прогрессии. Найдем первый член $b_1$ для каждого случая, используя формулу $b_2 = b_1 \cdot q$.

Случай 1: $q = \frac{1}{10}$

$b_1 = \frac{b_2}{q} = \frac{10^8}{1/10} = 10^8 \cdot 10 = 10^9$

Случай 2: $q = -\frac{1}{10}$

$b_1 = \frac{b_2}{q} = \frac{10^8}{-1/10} = 10^8 \cdot (-10) = -10^9$

Ответ: существует два решения: 1) $q = \frac{1}{10}$, $b_1 = 10^9$; 2) $q = -\frac{1}{10}$, $b_1 = -10^9$.

Помогло решение? Оставьте отзыв в комментариях ниже.

Присоединяйтесь к Телеграм-группе @gdz_by_belarus

Присоединиться

Мы подготовили для вас ответ c подробным объяснением домашего задания по алгебре за 9 класс, для упражнения номер 4.193 расположенного на странице 243 к учебнику 2019 года издания для учащихся школ и гимназий.

Теперь на нашем сайте ГДЗ.ТОП вы всегда легко и бесплатно найдёте условие с правильным ответом на вопрос «Как решить ДЗ» и «Как сделать» задание по алгебре к упражнению №4.193 (с. 243), авторов: Арефьева (Ирина Глебовна), Пирютко (Ольга Николаевна), учебного пособия издательства Народная асвета.