Номер 4.189, страница 242 - гдз по алгебре 9 класс учебник Арефьева, Пирютко

Алгебра, 9 класс Учебник, авторы: Арефьева Ирина Глебовна, Пирютко Ольга Николаевна, издательство Народная асвета, Минск, 2019, голубого цвета

Авторы: Арефьева И. Г., Пирютко О. Н.

Тип: Учебник

Издательство: Народная асвета

Год издания: 2019 - 2025

Цвет обложки: голубой, синий с графиком

ISBN: 978-985-03-3077-2

Допущено Министерством образования Республики Беларусь

Популярные ГДЗ в 9 классе

Глава 4. Прогрессии. Параграф 17. Геометрическая прогрессия - номер 4.189, страница 242.

№4.189 (с. 242)
Условие. №4.189 (с. 242)
скриншот условия
Алгебра, 9 класс Учебник, авторы: Арефьева Ирина Глебовна, Пирютко Ольга Николаевна, издательство Народная асвета, Минск, 2019, голубого цвета, страница 242, номер 4.189, Условие

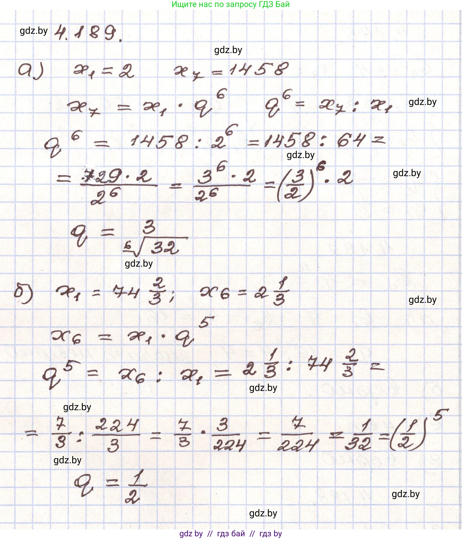
4.189. Найдите знаменатель геометрической прогрессии $(x_n)$, в которой:

а) $x_1 = 2, x_7 = 1458;$

б) $x_1 = 74\frac{2}{3}; x_6 = 2\frac{1}{3}.$

Решение. №4.189 (с. 242)
Алгебра, 9 класс Учебник, авторы: Арефьева Ирина Глебовна, Пирютко Ольга Николаевна, издательство Народная асвета, Минск, 2019, голубого цвета, страница 242, номер 4.189, Решение
Решение 2. №4.189 (с. 242)

Для решения задачи воспользуемся формулой n-го члена геометрической прогрессии: $x_n = x_1 \cdot q^{n-1}$, где $x_1$ — первый член, $x_n$ — n-й член, а $q$ — знаменатель прогрессии.

а) Даны первый и седьмой члены геометрической прогрессии: $x_1 = 2$ и $x_7 = 1458$. Подставим эти значения в формулу для седьмого члена ($n=7$):$x_7 = x_1 \cdot q^{7-1}$$1458 = 2 \cdot q^6$

Теперь выразим $q^6$:$q^6 = \frac{1458}{2}$$q^6 = 729$

Чтобы найти $q$, необходимо извлечь корень шестой степени из 729. Мы знаем, что $729 = 3^6$.$q^6 = 3^6$

Поскольку показатель степени (6) является четным числом, уравнение имеет два действительных решения: $q = 3$ и $q = -3$.

Ответ: $q = \pm 3$.

б) Даны первый и шестой члены геометрической прогрессии: $x_1 = 74\frac{2}{3}$ и $x_6 = 2\frac{1}{3}$. Для удобства вычислений сначала преобразуем смешанные числа в неправильные дроби:$x_1 = 74\frac{2}{3} = \frac{74 \cdot 3 + 2}{3} = \frac{222 + 2}{3} = \frac{224}{3}$$x_6 = 2\frac{1}{3} = \frac{2 \cdot 3 + 1}{3} = \frac{6 + 1}{3} = \frac{7}{3}$

Подставим полученные значения в формулу для шестого члена прогрессии ($n=6$):$x_6 = x_1 \cdot q^{6-1}$$\frac{7}{3} = \frac{224}{3} \cdot q^5$

Выразим $q^5$, разделив обе части уравнения на $\frac{224}{3}$:$q^5 = \frac{7/3}{224/3} = \frac{7}{3} \cdot \frac{3}{224} = \frac{7}{224}$

Сократим полученную дробь. Разделим числитель и знаменатель на 7:$q^5 = \frac{1}{32}$

Чтобы найти $q$, извлечем корень пятой степени. Мы знаем, что $32 = 2^5$, следовательно $\frac{1}{32} = (\frac{1}{2})^5$.$q^5 = (\frac{1}{2})^5$

Поскольку показатель степени (5) является нечетным числом, уравнение имеет одно действительное решение.

Ответ: $q = \frac{1}{2}$.

Помогло решение? Оставьте отзыв в комментариях ниже.

Присоединяйтесь к Телеграм-группе @gdz_by_belarus

Присоединиться

Мы подготовили для вас ответ c подробным объяснением домашего задания по алгебре за 9 класс, для упражнения номер 4.189 расположенного на странице 242 к учебнику 2019 года издания для учащихся школ и гимназий.

Теперь на нашем сайте ГДЗ.ТОП вы всегда легко и бесплатно найдёте условие с правильным ответом на вопрос «Как решить ДЗ» и «Как сделать» задание по алгебре к упражнению №4.189 (с. 242), авторов: Арефьева (Ирина Глебовна), Пирютко (Ольга Николаевна), учебного пособия издательства Народная асвета.