Номер 185, страница 283 - гдз по алгебре 9 класс учебник Арефьева, Пирютко

Алгебра, 9 класс Учебник, авторы: Арефьева Ирина Глебовна, Пирютко Ольга Николаевна, издательство Народная асвета, Минск, 2019, голубого цвета

Авторы: Арефьева И. Г., Пирютко О. Н.

Тип: Учебник

Издательство: Народная асвета

Год издания: 2019 - 2025

Цвет обложки: голубой, синий с графиком

ISBN: 978-985-03-3077-2

Допущено Министерством образования Республики Беларусь

Популярные ГДЗ в 9 классе

Итоговое повторение. Функции и их свойства - номер 185, страница 283.

№185 (с. 283)
Условие. №185 (с. 283)
скриншот условия
Алгебра, 9 класс Учебник, авторы: Арефьева Ирина Глебовна, Пирютко Ольга Николаевна, издательство Народная асвета, Минск, 2019, голубого цвета, страница 283, номер 185, Условие

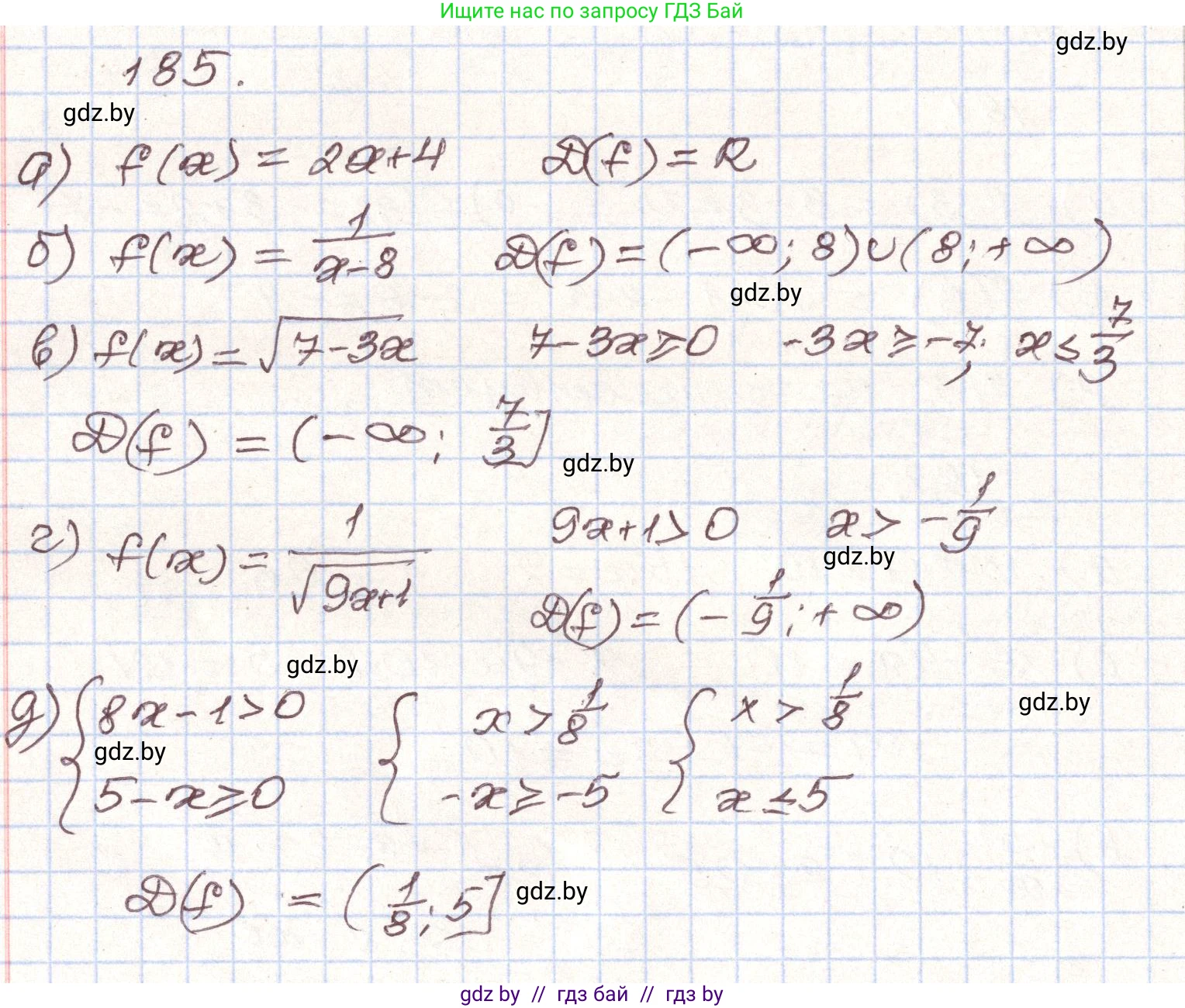
185. Найдите область определения функции:

а) $f(x) = 2x + 4;$

б) $f(x) = \frac{1}{x-8};$

в) $f(x) = \sqrt{7-3x};$

г) $f(x) = \frac{1}{\sqrt{9x+1}};$

д) $f(x) = \frac{1}{\sqrt{8x-1}} + \sqrt{5-x};$

е) $y = \frac{1}{\sqrt{30-x-x^2}};$

ж) $y = \frac{1}{\sqrt{16-x^2}} + \sqrt{x^2+4x}.$

Решение. №185 (с. 283)
Алгебра, 9 класс Учебник, авторы: Арефьева Ирина Глебовна, Пирютко Ольга Николаевна, издательство Народная асвета, Минск, 2019, голубого цвета, страница 283, номер 185, Решение Алгебра, 9 класс Учебник, авторы: Арефьева Ирина Глебовна, Пирютко Ольга Николаевна, издательство Народная асвета, Минск, 2019, голубого цвета, страница 283, номер 185, Решение (продолжение 2)
Решение 2. №185 (с. 283)

а) $f(x) = 2x + 4$
Данная функция является линейной. Область определения линейной функции — все действительные числа, так как для любого значения $x$ можно вычислить значение функции. Нет операций, накладывающих ограничения, таких как деление на ноль или извлечение корня из отрицательного числа.
Ответ: $x \in (-\infty; +\infty)$

б) $f(x) = \frac{1}{x-8}$
Данная функция является дробно-рациональной. Единственное ограничение для таких функций — знаменатель дроби не должен быть равен нулю. Найдем значение $x$, при котором знаменатель обращается в ноль:
$x - 8 = 0$
$x = 8$
Следовательно, область определения функции — все действительные числа, кроме $x=8$.
Ответ: $x \in (-\infty; 8) \cup (8; +\infty)$

в) $f(x) = \sqrt{7-3x}$
Данная функция содержит квадратный корень. Выражение под знаком корня (подкоренное выражение) должно быть неотрицательным (больше или равно нулю).
$7 - 3x \ge 0$
Решим это линейное неравенство:
$-3x \ge -7$
Разделим обе части на -3, при этом знак неравенства изменится на противоположный:
$x \le \frac{7}{3}$
Преобразуем неправильную дробь в смешанное число, чтобы выделить целую часть: $\frac{7}{3} = 2\frac{1}{3}$.
Таким образом, $x \le 2\frac{1}{3}$.
Ответ: $x \in (-\infty; 2\frac{1}{3}]$

г) $f(x) = \frac{1}{\sqrt{9x+1}}$
Данная функция содержит квадратный корень в знаменателе. Это означает, что подкоренное выражение должно быть строго положительным (больше нуля), так как оно не может быть отрицательным (из-за корня) и не может быть равным нулю (из-за деления на ноль).
$9x + 1 > 0$
Решим неравенство:
$9x > -1$
$x > -\frac{1}{9}$
Ответ: $x \in (-\frac{1}{9}; +\infty)$

д) $f(x) = \frac{1}{\sqrt{8x-1}} + \sqrt{5-x}$
Область определения этой функции является пересечением областей определения двух слагаемых. Рассмотрим каждое слагаемое отдельно.
1. Для слагаемого $\frac{1}{\sqrt{8x-1}}$ подкоренное выражение в знаменателе должно быть строго положительным:
$8x - 1 > 0 \implies 8x > 1 \implies x > \frac{1}{8}$
2. Для слагаемого $\sqrt{5-x}$ подкоренное выражение должно быть неотрицательным:
$5 - x \ge 0 \implies -x \ge -5 \implies x \le 5$
Теперь найдем пересечение двух условий: $x > \frac{1}{8}$ и $x \le 5$. Это можно записать в виде системы неравенств:
$\begin{cases} x > \frac{1}{8} \\ x \le 5 \end{cases}$
Общим решением является интервал, где выполняются оба условия.
Ответ: $x \in (\frac{1}{8}; 5]$

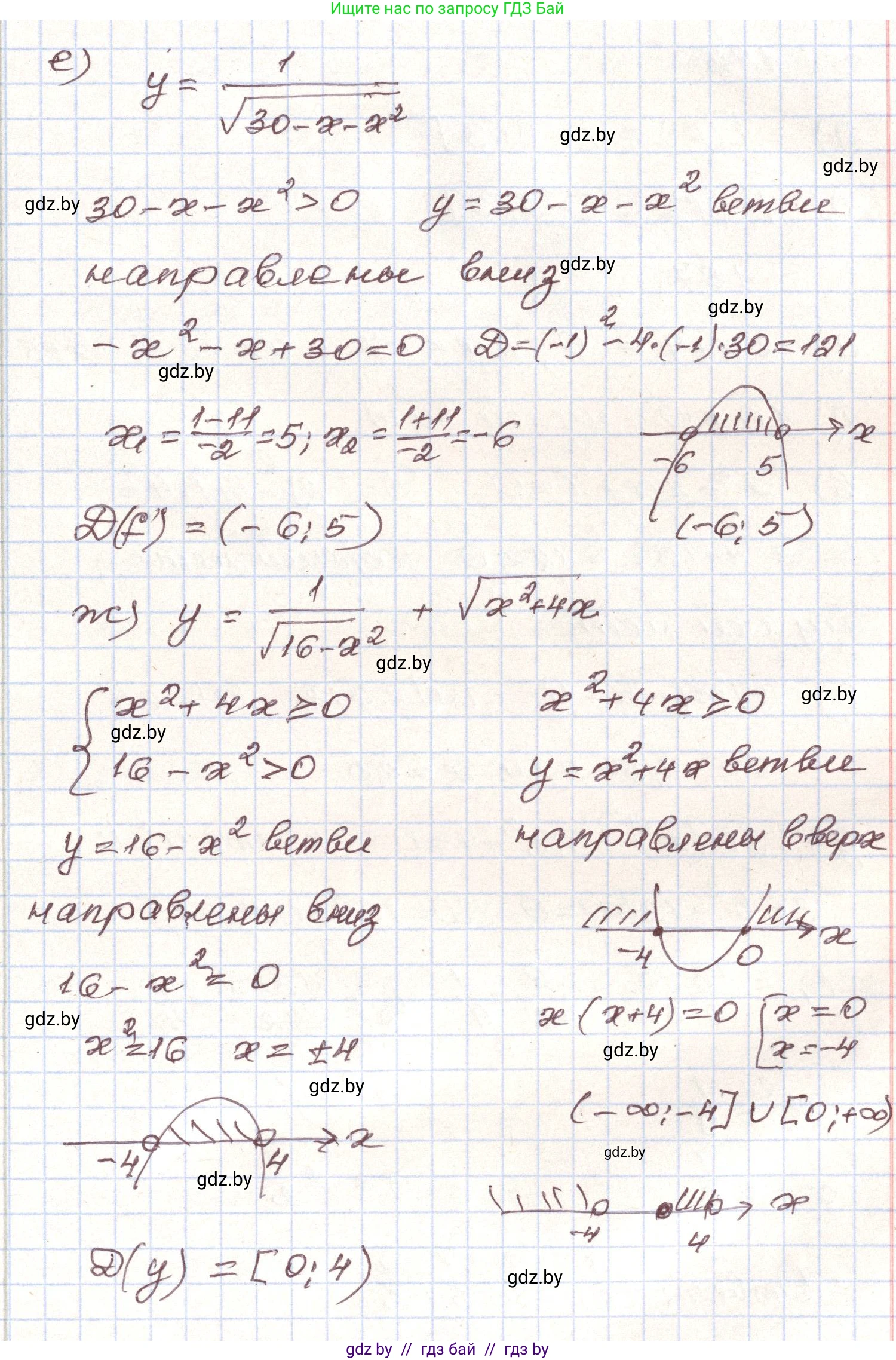
е) $y = \frac{1}{\sqrt{30-x-x^2}}$
Подкоренное выражение в знаменателе должно быть строго положительным.
$30 - x - x^2 > 0$
Умножим неравенство на -1 и сменим знак неравенства, чтобы получить стандартный вид квадратного трехчлена:
$x^2 + x - 30 < 0$
Найдем корни соответствующего уравнения $x^2 + x - 30 = 0$ с помощью теоремы Виета. Сумма корней равна -1, произведение равно -30. Корни: $x_1 = -6$ и $x_2 = 5$.
График функции $y = x^2 + x - 30$ — это парабола с ветвями вверх. Значения трехчлена отрицательны между корнями.
Следовательно, решение неравенства — интервал $(-6; 5)$.
Ответ: $x \in (-6; 5)$

ж) $y = \frac{1}{\sqrt{16-x^2}} + \sqrt{x^2+4x}$
Область определения функции является пересечением областей определения двух слагаемых.
1. Для слагаемого $\frac{1}{\sqrt{16-x^2}}$ подкоренное выражение в знаменателе должно быть строго положительным:
$16 - x^2 > 0 \implies x^2 < 16 \implies |x| < 4 \implies -4 < x < 4$
2. Для слагаемого $\sqrt{x^2+4x}$ подкоренное выражение должно быть неотрицательным:
$x^2 + 4x \ge 0$
Разложим на множители: $x(x+4) \ge 0$.
Корни уравнения $x(x+4)=0$ равны $x_1 = 0$ и $x_2 = -4$. График функции $y = x^2 + 4x$ — парабола с ветвями вверх, поэтому неравенство выполняется при $x$ за пределами корней (включая корни).
$x \in (-\infty; -4] \cup [0; +\infty)$
Найдем пересечение множеств $(-4; 4)$ и $((-\infty; -4] \cup [0; +\infty))$.
Система условий:
$\begin{cases} -4 < x < 4 \\ x \le -4 \text{ или } x \ge 0 \end{cases}$
Объединяя эти условия, получаем, что $x$ должен быть не меньше 0 и строго меньше 4.
Ответ: $x \in [0; 4)$

Помогло решение? Оставьте отзыв в комментариях ниже.

Присоединяйтесь к Телеграм-группе @gdz_by_belarus

Присоединиться

Мы подготовили для вас ответ c подробным объяснением домашего задания по алгебре за 9 класс, для упражнения номер 185 расположенного на странице 283 к учебнику 2019 года издания для учащихся школ и гимназий.

Теперь на нашем сайте ГДЗ.ТОП вы всегда легко и бесплатно найдёте условие с правильным ответом на вопрос «Как решить ДЗ» и «Как сделать» задание по алгебре к упражнению №185 (с. 283), авторов: Арефьева (Ирина Глебовна), Пирютко (Ольга Николаевна), учебного пособия издательства Народная асвета.