Номер 1, страница 265 - гдз по алгебре 9 класс учебник Арефьева, Пирютко

Алгебра, 9 класс Учебник, авторы: Арефьева Ирина Глебовна, Пирютко Ольга Николаевна, издательство Народная асвета, Минск, 2019, голубого цвета

Авторы: Арефьева И. Г., Пирютко О. Н.

Тип: Учебник

Издательство: Народная асвета

Год издания: 2019 - 2025

Цвет обложки: голубой, синий с графиком

ISBN: 978-985-03-3077-2

Допущено Министерством образования Республики Беларусь

Популярные ГДЗ в 9 классе

Итоговое повторение. Числа и вычисления - номер 1, страница 265.

№1 (с. 265)
Условие. №1 (с. 265)
скриншот условия
Алгебра, 9 класс Учебник, авторы: Арефьева Ирина Глебовна, Пирютко Ольга Николаевна, издательство Народная асвета, Минск, 2019, голубого цвета, страница 265, номер 1, Условие

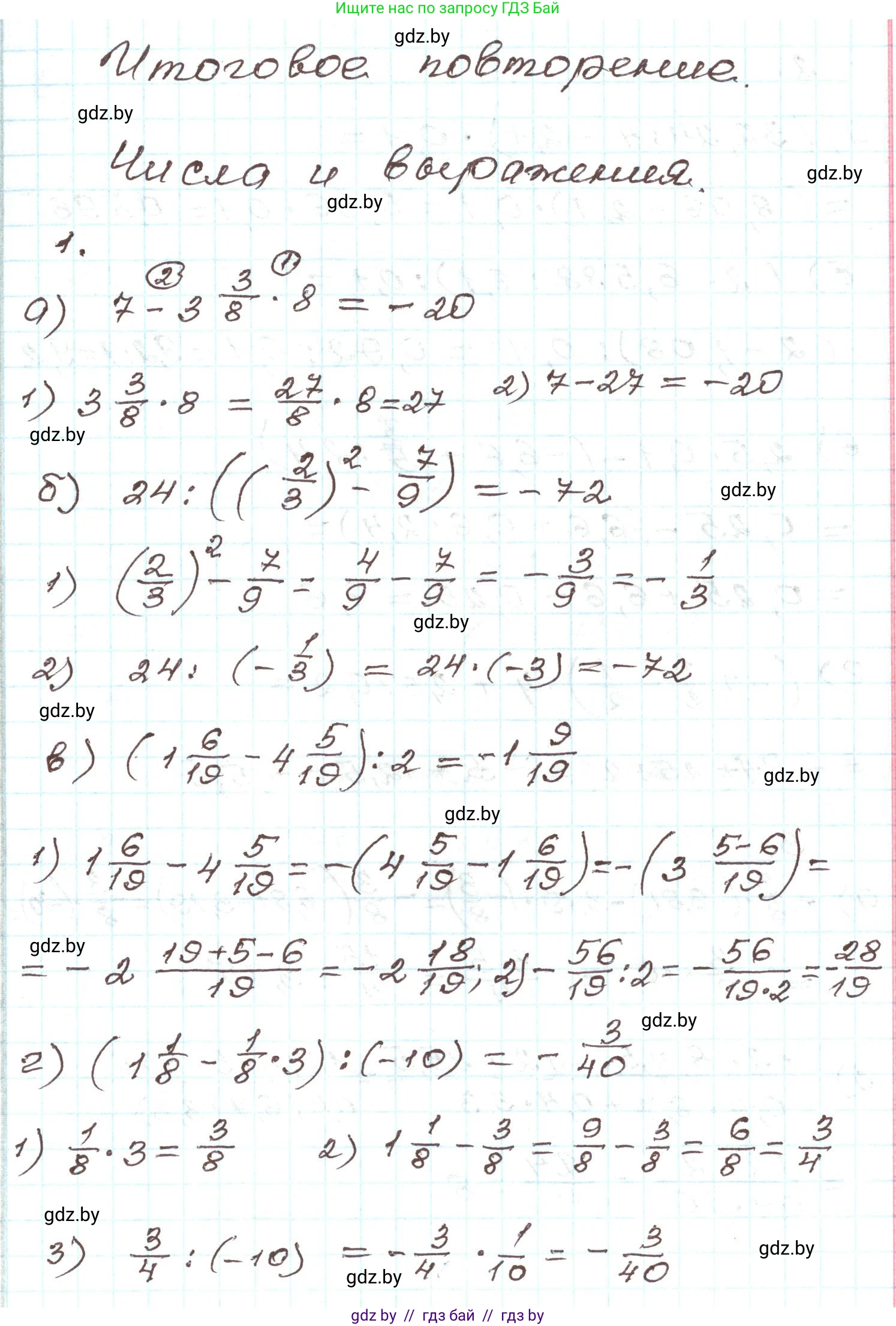
1. Установите порядок действий и найдите значение выражения:

а) $7 - 3\frac{3}{8} \cdot 8;$

б) $24 : \left(\left(\frac{2}{3}\right)^2 - \frac{7}{9}\right);$

в) $\left(1\frac{6}{19} - 4\frac{5}{19}\right) : 2;$

г) $\left(1\frac{1}{8} - \frac{1}{8} \cdot 3\right) : (-10).$

Решение. №1 (с. 265)
Алгебра, 9 класс Учебник, авторы: Арефьева Ирина Глебовна, Пирютко Ольга Николаевна, издательство Народная асвета, Минск, 2019, голубого цвета, страница 265, номер 1, Решение
Решение 2. №1 (с. 265)

а) $7 - 3\frac{3}{8} \cdot 8$

Порядок действий: в первую очередь выполняется умножение, а затем вычитание.

1. Выполним умножение. Для этого представим смешанное число $3\frac{3}{8}$ в виде неправильной дроби:

$3\frac{3}{8} = \frac{3 \cdot 8 + 3}{8} = \frac{24 + 3}{8} = \frac{27}{8}$

Теперь умножим полученную дробь на 8:

$\frac{27}{8} \cdot 8 = \frac{27 \cdot 8}{8} = 27$

2. Выполним вычитание:

$7 - 27 = -20$

Ответ: -20.

б) $24 : ((\frac{2}{3})^2 - \frac{7}{9})$

Порядок действий: сначала выполняются действия в скобках (возведение в степень, а затем вычитание), после этого — деление.

1. Возведем дробь в степень внутри скобок:

$(\frac{2}{3})^2 = \frac{2^2}{3^2} = \frac{4}{9}$

2. Выполним вычитание в скобках:

$\frac{4}{9} - \frac{7}{9} = \frac{4-7}{9} = -\frac{3}{9}$

Сократим полученную дробь:

$-\frac{3}{9} = -\frac{1}{3}$

3. Выполним деление:

$24 : (-\frac{1}{3}) = 24 \cdot (-\frac{3}{1}) = -72$

Ответ: -72.

в) $(1\frac{6}{19} - 4\frac{5}{19}) : 2$

Порядок действий: сначала выполняем вычитание в скобках, а затем деление.

1. Выполним вычитание в скобках. Для этого переведем смешанные числа в неправильные дроби:

$1\frac{6}{19} = \frac{1 \cdot 19 + 6}{19} = \frac{25}{19}$

$4\frac{5}{19} = \frac{4 \cdot 19 + 5}{19} = \frac{76 + 5}{19} = \frac{81}{19}$

Теперь вычтем дроби:

$\frac{25}{19} - \frac{81}{19} = \frac{25 - 81}{19} = -\frac{56}{19}$

2. Выполним деление:

$(-\frac{56}{19}) : 2 = -\frac{56}{19} \cdot \frac{1}{2} = -\frac{56}{19 \cdot 2} = -\frac{28}{19}$

3. Так как результат – неправильная дробь, выделим из нее целую часть:

$-\frac{28}{19} = -1\frac{9}{19}$

Ответ: $-1\frac{9}{19}$.

г) $(1\frac{1}{8} - \frac{1}{8} \cdot 3) : (-10)$

Порядок действий: сначала выполняем действия в скобках (умножение, затем вычитание), после этого — деление.

1. Выполним умножение в скобках:

$\frac{1}{8} \cdot 3 = \frac{3}{8}$

2. Выполним вычитание в скобках. Для этого представим смешанное число $1\frac{1}{8}$ в виде неправильной дроби:

$1\frac{1}{8} = \frac{1 \cdot 8 + 1}{8} = \frac{9}{8}$

Теперь вычтем дроби:

$\frac{9}{8} - \frac{3}{8} = \frac{9-3}{8} = \frac{6}{8}$

Сократим полученную дробь:

$\frac{6}{8} = \frac{3}{4}$

3. Выполним деление:

$\frac{3}{4} : (-10) = \frac{3}{4} \cdot (-\frac{1}{10}) = -\frac{3}{4 \cdot 10} = -\frac{3}{40}$

Ответ: $-\frac{3}{40}$.

Помогло решение? Оставьте отзыв в комментариях ниже.

Присоединяйтесь к Телеграм-группе @gdz_by_belarus

Присоединиться

Мы подготовили для вас ответ c подробным объяснением домашего задания по алгебре за 9 класс, для упражнения номер 1 расположенного на странице 265 к учебнику 2019 года издания для учащихся школ и гимназий.

Теперь на нашем сайте ГДЗ.ТОП вы всегда легко и бесплатно найдёте условие с правильным ответом на вопрос «Как решить ДЗ» и «Как сделать» задание по алгебре к упражнению №1 (с. 265), авторов: Арефьева (Ирина Глебовна), Пирютко (Ольга Николаевна), учебного пособия издательства Народная асвета.