Номер 2, страница 265 - гдз по алгебре 9 класс учебник Арефьева, Пирютко

Алгебра, 9 класс Учебник, авторы: Арефьева Ирина Глебовна, Пирютко Ольга Николаевна, издательство Народная асвета, Минск, 2019, голубого цвета

Авторы: Арефьева И. Г., Пирютко О. Н.

Тип: Учебник

Издательство: Народная асвета

Год издания: 2019 - 2025

Цвет обложки: голубой, синий с графиком

ISBN: 978-985-03-3077-2

Допущено Министерством образования Республики Беларусь

Популярные ГДЗ в 9 классе

Итоговое повторение. Числа и вычисления - номер 2, страница 265.

№2 (с. 265)
Условие. №2 (с. 265)
скриншот условия
Алгебра, 9 класс Учебник, авторы: Арефьева Ирина Глебовна, Пирютко Ольга Николаевна, издательство Народная асвета, Минск, 2019, голубого цвета, страница 265, номер 2, Условие

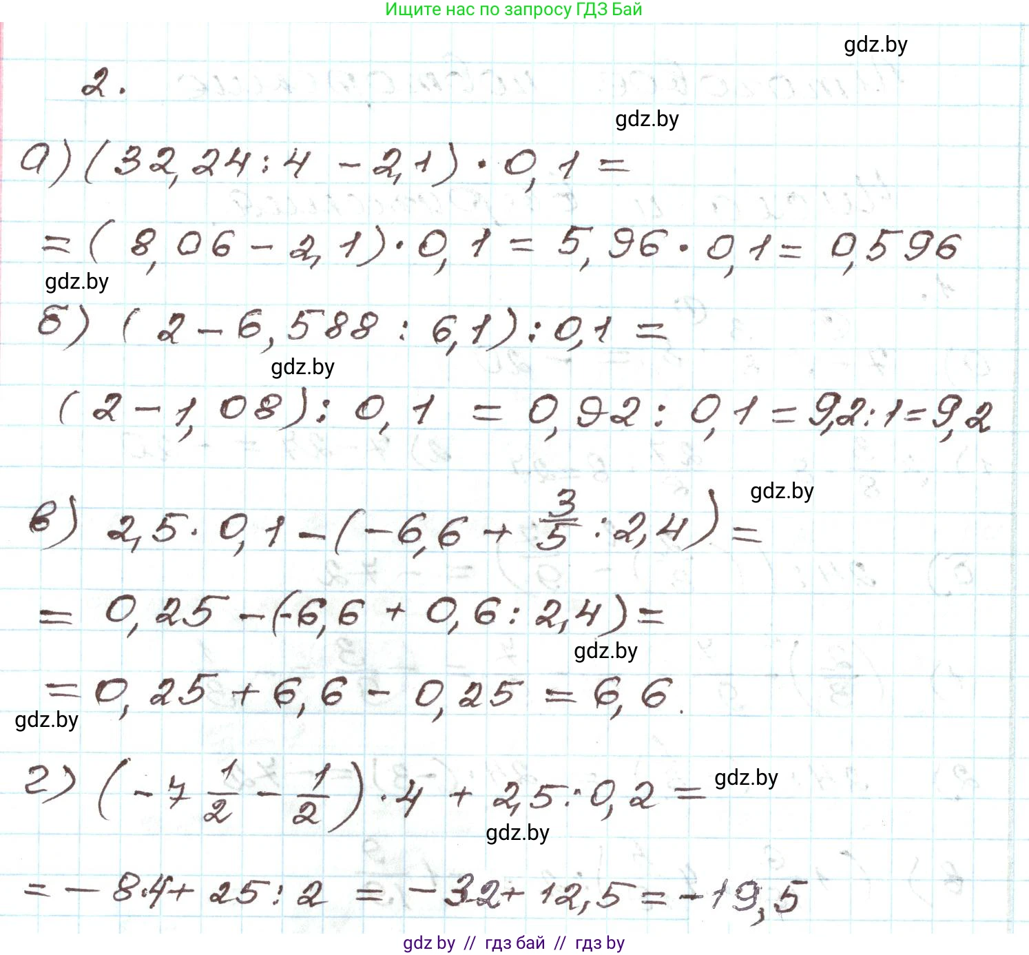
2. Выполните действия:

а) $(32,24 : 4 - 2,1) \cdot 0,1;$

б) $(2 - 6,588 : 6,1) : 0,1;$

в) $2,5 \cdot 0,1 - (-6,6 + \frac{3}{5} : 2,4);$

г) $(-7 \frac{1}{2} - \frac{1}{2}) \cdot 4 + 2,5 : 0,2.$

Решение. №2 (с. 265)
Алгебра, 9 класс Учебник, авторы: Арефьева Ирина Глебовна, Пирютко Ольга Николаевна, издательство Народная асвета, Минск, 2019, голубого цвета, страница 265, номер 2, Решение
Решение 2. №2 (с. 265)

а) $(32,24 : 4 - 2,1) \cdot 0,1$;

Решение по действиям:

  1. Первым действием выполняем деление в скобках:
    $32,24 : 4 = 8,06$
  2. Вторым действием выполняем вычитание в скобках:
    $8,06 - 2,1 = 5,96$
  3. Последним действием выполняем умножение:
    $5,96 \cdot 0,1 = 0,596$

Ответ: $0,596$.

б) $(2 - 6,588 : 6,1) : 0,1$;

Решение по действиям:

  1. Выполняем деление в скобках:
    $6,588 : 6,1 = 1,08$
  2. Выполняем вычитание в скобках:
    $2 - 1,08 = 0,92$
  3. Выполняем деление за скобками:
    $0,92 : 0,1 = 9,2$

Результат $9,2$ является конечной десятичной дробью. Представим его в виде неправильной дроби, а затем в виде смешанного числа, чтобы выделить целую часть:

$9,2 = \frac{92}{10} = \frac{46}{5} = 9\frac{1}{5}$

Ответ: 9$\frac{1}{5}$.

в) $2,5 \cdot 0,1 - (-6,6 + \frac{3}{5} : 2,4)$;

Решение по действиям. Для удобства вычислений в скобках представим обыкновенную дробь в виде десятичной:

  1. $\frac{3}{5} = 0,6$
  2. Выполняем деление в скобках:
    $0,6 : 2,4 = 0,25$
  3. Выполняем сложение в скобках:
    $-6,6 + 0,25 = -6,35$
  4. Выполняем умножение вне скобок:
    $2,5 \cdot 0,1 = 0,25$
  5. Выполняем вычитание:
    $0,25 - (-6,35) = 0,25 + 6,35 = 6,6$

Представим результат $6,6$ в виде смешанного числа:

$6,6 = 6\frac{6}{10} = 6\frac{3}{5}$

Ответ: 6$\frac{3}{5}$.

г) $(-7\frac{1}{2} - \frac{1}{2}) \cdot 4 + 2,5 : 0,2$.

Решение по действиям:

  1. Выполняем действие в скобках:
    $-7\frac{1}{2} - \frac{1}{2} = -(7\frac{1}{2} + \frac{1}{2}) = -8$
  2. Выполняем деление:
    $2,5 : 0,2 = 12,5$
  3. Выполняем умножение:
    $-8 \cdot 4 = -32$
  4. Выполняем сложение:
    $-32 + 12,5 = -19,5$

Представим результат $-19,5$ в виде смешанного числа:

$-19,5 = -19\frac{5}{10} = -19\frac{1}{2}$

Ответ: -19$\frac{1}{2}$.

Помогло решение? Оставьте отзыв в комментариях ниже.

Присоединяйтесь к Телеграм-группе @gdz_by_belarus

Присоединиться

Мы подготовили для вас ответ c подробным объяснением домашего задания по алгебре за 9 класс, для упражнения номер 2 расположенного на странице 265 к учебнику 2019 года издания для учащихся школ и гимназий.

Теперь на нашем сайте ГДЗ.ТОП вы всегда легко и бесплатно найдёте условие с правильным ответом на вопрос «Как решить ДЗ» и «Как сделать» задание по алгебре к упражнению №2 (с. 265), авторов: Арефьева (Ирина Глебовна), Пирютко (Ольга Николаевна), учебного пособия издательства Народная асвета.