Номер 1.138, страница 40 - гдз по алгебре 11 класс учебник Арефьева, Пирютко

Алгебра, 11 класс Учебник, авторы: Арефьева Ирина Глебовна, Пирютко Ольга Николаевна, издательство Народная асвета, Минск, 2020, бирюзового цвета

Авторы: Арефьева И. Г., Пирютко О. Н.

Тип: Учебник

Издательство: Народная асвета

Год издания: 2020 - 2025

Цвет обложки: бирюзовый, зелёный с графиком

ISBN: 978-985-03-3165-6

Популярные ГДЗ в 11 классе

Глава 1. Обобщение понятия степени. Параграф 3. Определение логарифма числа. Основное логарифмическое тождество - номер 1.138, страница 40.

№1.138 (с. 40)
Условие. №1.138 (с. 40)
скриншот условия
Алгебра, 11 класс Учебник, авторы: Арефьева Ирина Глебовна, Пирютко Ольга Николаевна, издательство Народная асвета, Минск, 2020, бирюзового цвета, страница 40, номер 1.138, Условие

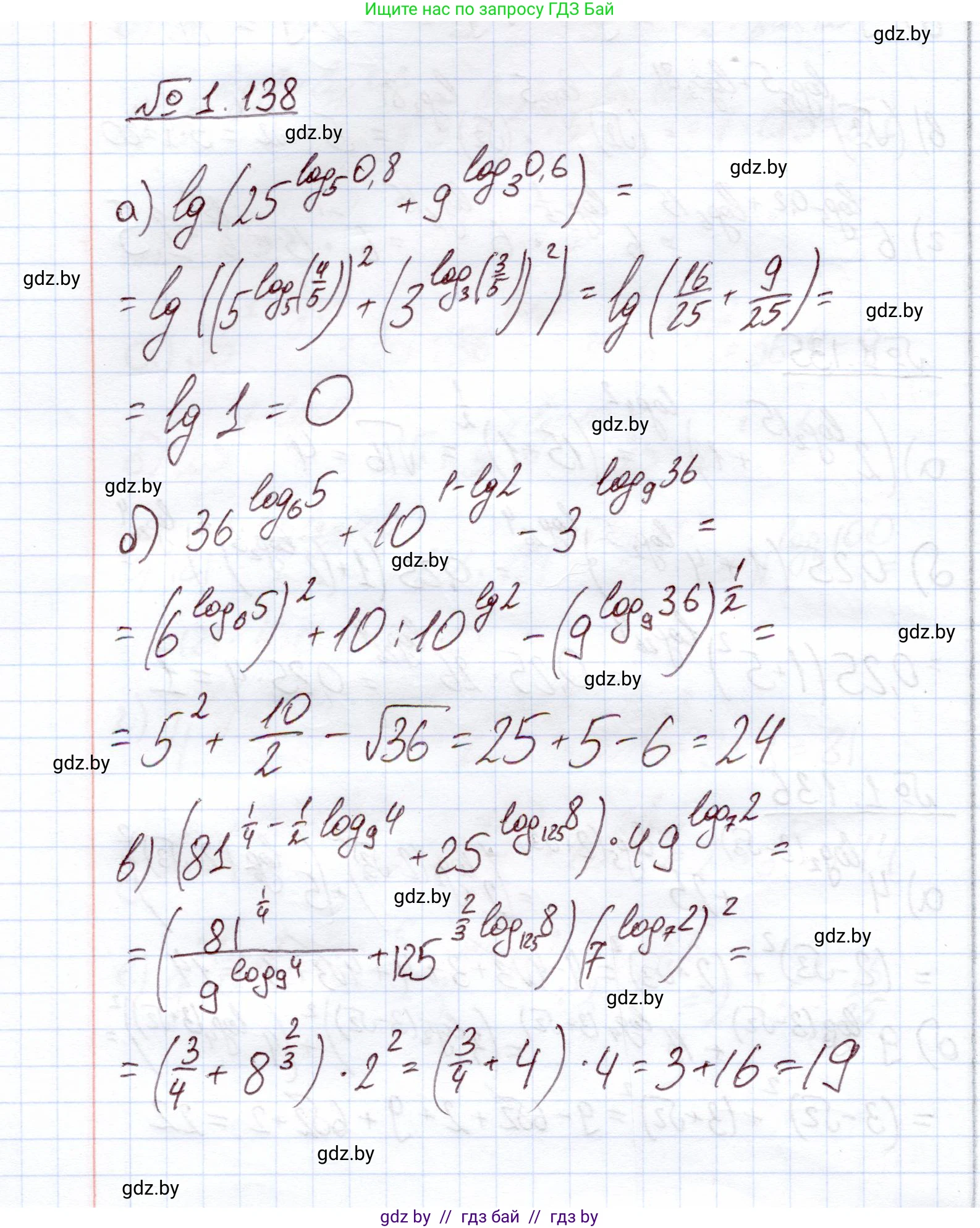
1.138*. Вычислите:

a)

$lg(25^{\log_5 0,8} + 9^{\log_3 0,6});$

б)

$36^{\log_6 5} + 10^{1-lg 2} - 3^{\log_9 36};$

в)

$(81^{\frac{1}{4} - \frac{1}{2}\log_9 4} + 25^{\log_{125} 8}) \cdot 49^{\log_7 2}.$

Решение. №1.138 (с. 40)
Алгебра, 11 класс Учебник, авторы: Арефьева Ирина Глебовна, Пирютко Ольга Николаевна, издательство Народная асвета, Минск, 2020, бирюзового цвета, страница 40, номер 1.138, Решение
Решение 2. №1.138 (с. 40)

а) $lg(25^{\log_5 0,8} + 9^{\log_3 0,6})$

Для решения воспользуемся основным логарифмическим тождеством $a^{\log_a b} = b$ и свойствами степеней и логарифмов.

1. Упростим первое слагаемое в скобках: $25^{\log_5 0,8}$.

Представим $25$ как $5^2$:

$25^{\log_5 0,8} = (5^2)^{\log_5 0,8}$

По свойству степени $(a^m)^n = a^{mn}$:

$(5^2)^{\log_5 0,8} = 5^{2 \cdot \log_5 0,8}$

По свойству логарифма $k \cdot \log_a b = \log_a b^k$:

$5^{2 \cdot \log_5 0,8} = 5^{\log_5 (0,8^2)} = 5^{\log_5 0,64}$

Применяя основное логарифмическое тождество, получаем:

$5^{\log_5 0,64} = 0,64$

2. Упростим второе слагаемое в скобках: $9^{\log_3 0,6}$.

Представим $9$ как $3^2$:

$9^{\log_3 0,6} = (3^2)^{\log_3 0,6} = 3^{2 \cdot \log_3 0,6} = 3^{\log_3 (0,6^2)} = 3^{\log_3 0,36}$

Применяя основное логарифмическое тождество, получаем:

$3^{\log_3 0,36} = 0,36$

3. Подставим полученные значения обратно в исходное выражение:

$lg(0,64 + 0,36) = lg(1)$

Десятичный логарифм единицы равен нулю, так как $10^0 = 1$.

$lg(1) = 0$

Ответ: 0

б) $36^{\log_6 5} + 10^{1-\lg 2} - 3^{\log_9 36}$

Упростим каждое слагаемое по отдельности.

1. Упростим $36^{\log_6 5}$.

$36^{\log_6 5} = (6^2)^{\log_6 5} = 6^{2 \log_6 5} = 6^{\log_6 5^2} = 6^{\log_6 25} = 25$

2. Упростим $10^{1-\lg 2}$.

По свойству степени $a^{m-n} = \frac{a^m}{a^n}$:

$10^{1-\lg 2} = \frac{10^1}{10^{\lg 2}}$

Так как $\lg$ - это логарифм по основанию 10, то по основному логарифмическому тождеству $10^{\lg 2} = 2$.

$\frac{10}{2} = 5$

3. Упростим $3^{\log_9 36}$.

Используем формулу перехода к новому основанию для логарифма: $\log_b a = \frac{\log_c a}{\log_c b}$. Перейдем к основанию 3.

$\log_9 36 = \frac{\log_3 36}{\log_3 9} = \frac{\log_3 36}{2} = \frac{1}{2}\log_3 36$

По свойству логарифма $k \log_a b = \log_a b^k$:

$\frac{1}{2}\log_3 36 = \log_3 (36^{1/2}) = \log_3 \sqrt{36} = \log_3 6$

Подставим это в третье слагаемое:

$3^{\log_9 36} = 3^{\log_3 6} = 6$

4. Сложим и вычтем полученные значения:

$25 + 5 - 6 = 30 - 6 = 24$

Ответ: 24

в) $(81^{\frac{1}{4}-\frac{1}{2}\log_9 4} + 25^{\log_{125} 8}) \cdot 49^{\log_7 2}$

Решим по частям.

1. Упростим выражение в скобках.

а) Упростим первое слагаемое: $81^{\frac{1}{4}-\frac{1}{2}\log_9 4}$.

$81^{\frac{1}{4}-\frac{1}{2}\log_9 4} = \frac{81^{1/4}}{81^{\frac{1}{2}\log_9 4}} = \frac{\sqrt[4]{81}}{(9^2)^{\frac{1}{2}\log_9 4}} = \frac{3}{9^{2 \cdot \frac{1}{2}\log_9 4}} = \frac{3}{9^{\log_9 4}} = \frac{3}{4}$

б) Упростим второе слагаемое: $25^{\log_{125} 8}$.

Приведем основания степени и логарифма к одному числу (5).

$25 = 5^2$, $125 = 5^3$.

Логарифм: $\log_{125} 8 = \log_{5^3} 8 = \frac{1}{3}\log_5 8$ (по свойству $\log_{a^k} b = \frac{1}{k}\log_a b$).

Выражение: $25^{\log_{125} 8} = (5^2)^{\frac{1}{3}\log_5 8} = 5^{2 \cdot \frac{1}{3}\log_5 8} = 5^{\frac{2}{3}\log_5 8} = 5^{\log_5 (8^{2/3})}$

По основному логарифмическому тождеству:

$5^{\log_5 (8^{2/3})} = 8^{2/3} = (\sqrt[3]{8})^2 = 2^2 = 4$

в) Сложим полученные значения в скобках:

$\frac{3}{4} + 4 = \frac{3}{4} + \frac{16}{4} = \frac{19}{4}$

2. Упростим второй множитель: $49^{\log_7 2}$.

$49^{\log_7 2} = (7^2)^{\log_7 2} = 7^{2\log_7 2} = 7^{\log_7 (2^2)} = 7^{\log_7 4} = 4$

3. Перемножим результаты:

$(\frac{19}{4}) \cdot 4 = 19$

Ответ: 19

Помогло решение? Оставьте отзыв в комментариях ниже.

Присоединяйтесь к Телеграм-группе @gdz_by_belarus

Присоединиться

Мы подготовили для вас ответ c подробным объяснением домашего задания по алгебре за 11 класс, для упражнения номер 1.138 расположенного на странице 40 к учебнику 2020 года издания для учащихся школ и гимназий.

Теперь на нашем сайте ГДЗ.ТОП вы всегда легко и бесплатно найдёте условие с правильным ответом на вопрос «Как решить ДЗ» и «Как сделать» задание по алгебре к упражнению №1.138 (с. 40), авторов: Арефьева (Ирина Глебовна), Пирютко (Ольга Николаевна), учебного пособия издательства Народная асвета.