Номер 1.152, страница 41 - гдз по алгебре 11 класс учебник Арефьева, Пирютко

Алгебра, 11 класс Учебник, авторы: Арефьева Ирина Глебовна, Пирютко Ольга Николаевна, издательство Народная асвета, Минск, 2020, бирюзового цвета

Авторы: Арефьева И. Г., Пирютко О. Н.

Тип: Учебник

Издательство: Народная асвета

Год издания: 2020 - 2025

Цвет обложки: бирюзовый, зелёный с графиком

ISBN: 978-985-03-3165-6

Популярные ГДЗ в 11 классе

Глава 1. Обобщение понятия степени. Параграф 3. Определение логарифма числа. Основное логарифмическое тождество - номер 1.152, страница 41.

№1.152 (с. 41)
Условие. №1.152 (с. 41)
скриншот условия
Алгебра, 11 класс Учебник, авторы: Арефьева Ирина Глебовна, Пирютко Ольга Николаевна, издательство Народная асвета, Минск, 2020, бирюзового цвета, страница 41, номер 1.152, Условие

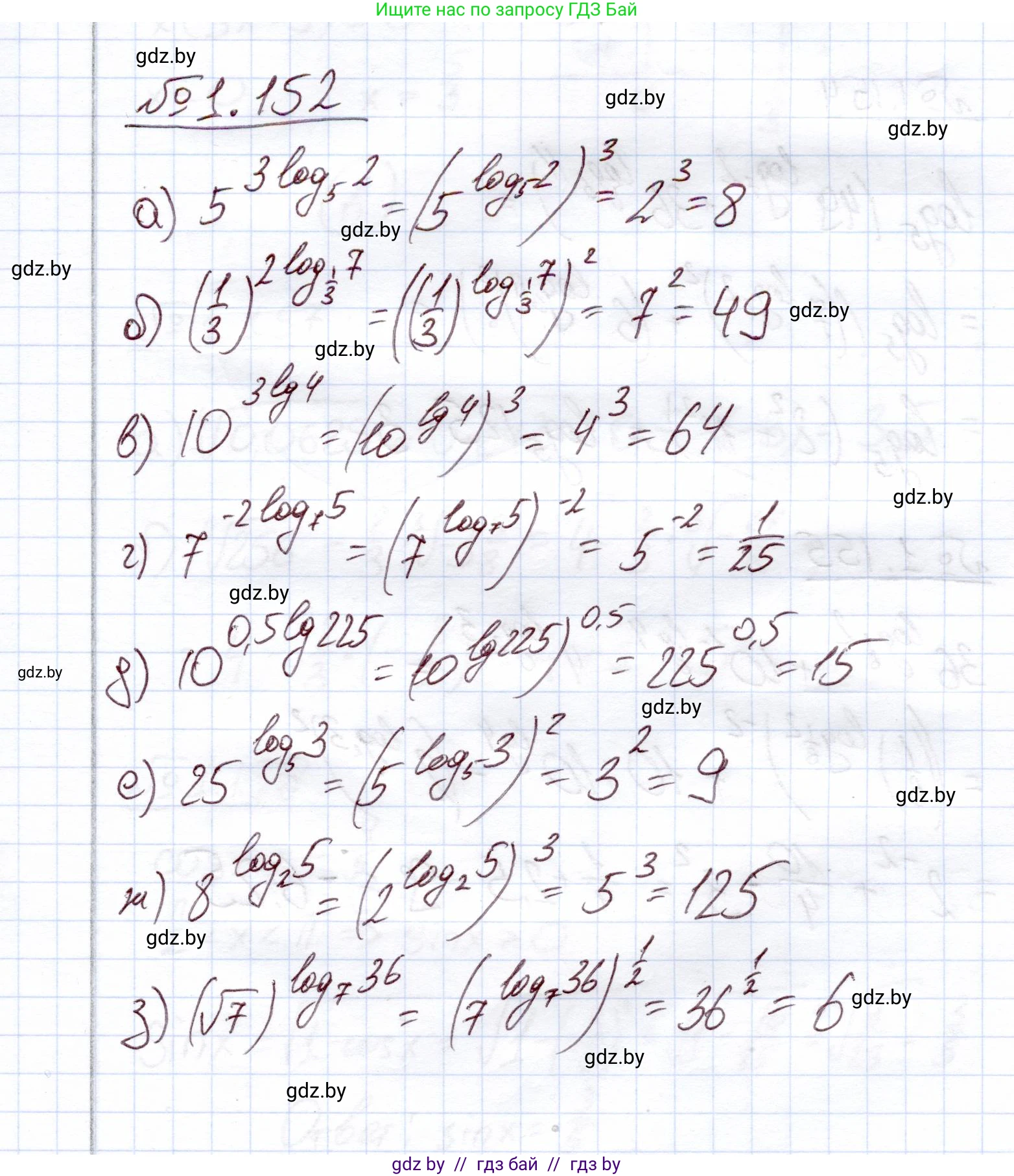
1.152. Вычислите:

а) $5^{3\log_5 2}$;

б) $(\frac{1}{3})^{2\log_{\frac{1}{3}} 7}$;

в) $10^{3\lg 4}$;

г) $7^{-2\log_7 5}$;

д) $10^{0,5\lg 225}$;

е) $25^{\log_5 3}$;

ж) $8^{\log_2 5}$;

з) $(\sqrt{7})^{\log_7 36}$.

Решение. №1.152 (с. 41)
Алгебра, 11 класс Учебник, авторы: Арефьева Ирина Глебовна, Пирютко Ольга Николаевна, издательство Народная асвета, Минск, 2020, бирюзового цвета, страница 41, номер 1.152, Решение
Решение 2. №1.152 (с. 41)

а) Для вычисления используем свойство логарифма $k \cdot \log_a b = \log_a(b^k)$ и основное логарифмическое тождество $a^{\log_a b} = b$.
Сначала преобразуем показатель степени: $3\log_5 2 = \log_5 (2^3) = \log_5 8$.
Теперь подставим это в исходное выражение: $5^{3\log_5 2} = 5^{\log_5 8}$.
Применив основное логарифмическое тождество, получаем 8.
$5^{3\log_5 2} = 5^{\log_5 (2^3)} = 5^{\log_5 8} = 8$.
Ответ: 8

б) Используем те же правила, что и в пункте а). Основание степени и основание логарифма совпадают и равны $\frac{1}{3}$.
Внесем множитель 2 в показатель логарифма: $2\log_{\frac{1}{3}} 7 = \log_{\frac{1}{3}} (7^2) = \log_{\frac{1}{3}} 49$.
Применяем основное логарифмическое тождество:
$(\frac{1}{3})^{2\log_{\frac{1}{3}} 7} = (\frac{1}{3})^{\log_{\frac{1}{3}} 49} = 49$.
Ответ: 49

в) Знак $\lg$ обозначает десятичный логарифм, то есть логарифм по основанию 10 ($\lg a = \log_{10} a$).
Используем свойство $k \cdot \log_a b = \log_a(b^k)$: $3\lg 4 = \lg (4^3) = \lg 64$.
Применяем основное логарифмическое тождество $10^{\log_{10} b} = b$:
$10^{3\lg 4} = 10^{\lg 64} = 64$.
Ответ: 64

г) Используем свойство $k \cdot \log_a b = \log_a(b^k)$ и основное логарифмическое тождество.
Преобразуем показатель степени: $-2\log_7 5 = \log_7 (5^{-2}) = \log_7 (\frac{1}{25})$.
Подставляем и вычисляем:
$7^{-2\log_7 5} = 7^{\log_7 (\frac{1}{25})} = \frac{1}{25}$.
Ответ: $\frac{1}{25}$

д) Используем свойство $k \cdot \log_a b = \log_a(b^k)$, где $k=0.5=\frac{1}{2}$.
Преобразуем показатель степени: $0.5\lg 225 = \lg(225^{0.5}) = \lg(\sqrt{225}) = \lg 15$.
Применяем основное логарифмическое тождество для десятичного логарифма:
$10^{0.5\lg 225} = 10^{\lg 15} = 15$.
Ответ: 15

е) В данном случае основание степени (25) отличается от основания логарифма (5). Приведем их к одному основанию, зная, что $25 = 5^2$.
$25^{\log_5 3} = (5^2)^{\log_5 3}$.
По свойству степени $(a^m)^n = a^{mn}$ получаем: $5^{2\log_5 3}$.
Далее, как и раньше, вносим множитель 2 в логарифм: $5^{\log_5(3^2)} = 5^{\log_5 9}$.
По основному логарифмическому тождеству, результат равен 9.
$25^{\log_5 3} = (5^2)^{\log_5 3} = 5^{2\log_5 3} = 5^{\log_5(3^2)} = 9$.
Ответ: 9

ж) Основание степени (8) и основание логарифма (2) различны. Представим $8$ как $2^3$.
$8^{\log_2 5} = (2^3)^{\log_2 5}$.
По свойству степени $(a^m)^n = a^{mn}$: $2^{3\log_2 5}$.
Вносим множитель 3 в логарифм: $2^{\log_2(5^3)} = 2^{\log_2 125}$.
По основному логарифмическому тождеству, результат равен 125.
$8^{\log_2 5} = (2^3)^{\log_2 5} = 2^{3\log_2 5} = 2^{\log_2(5^3)} = 125$.
Ответ: 125

з) Основание степени ($\sqrt{7}$) и основание логарифма (7) различны. Представим $\sqrt{7}$ как $7^{1/2}$.
$(\sqrt{7})^{\log_7 36} = (7^{1/2})^{\log_7 36}$.
По свойству степени $(a^m)^n = a^{mn}$: $7^{\frac{1}{2}\log_7 36}$.
Вносим множитель $\frac{1}{2}$ в логарифм: $7^{\log_7(36^{1/2})} = 7^{\log_7(\sqrt{36})} = 7^{\log_7 6}$.
По основному логарифмическому тождеству, результат равен 6.
$(\sqrt{7})^{\log_7 36} = (7^{1/2})^{\log_7 36} = 7^{\frac{1}{2}\log_7 36} = 7^{\log_7(36^{1/2})} = 6$.
Ответ: 6

Помогло решение? Оставьте отзыв в комментариях ниже.

Присоединяйтесь к Телеграм-группе @gdz_by_belarus

Присоединиться

Мы подготовили для вас ответ c подробным объяснением домашего задания по алгебре за 11 класс, для упражнения номер 1.152 расположенного на странице 41 к учебнику 2020 года издания для учащихся школ и гимназий.

Теперь на нашем сайте ГДЗ.ТОП вы всегда легко и бесплатно найдёте условие с правильным ответом на вопрос «Как решить ДЗ» и «Как сделать» задание по алгебре к упражнению №1.152 (с. 41), авторов: Арефьева (Ирина Глебовна), Пирютко (Ольга Николаевна), учебного пособия издательства Народная асвета.