Номер 1.29, страница 15 - гдз по алгебре 11 класс учебник Арефьева, Пирютко

Алгебра, 11 класс Учебник, авторы: Арефьева Ирина Глебовна, Пирютко Ольга Николаевна, издательство Народная асвета, Минск, 2020, бирюзового цвета

Авторы: Арефьева И. Г., Пирютко О. Н.

Тип: Учебник

Издательство: Народная асвета

Год издания: 2020 - 2025

Цвет обложки: бирюзовый, зелёный с графиком

ISBN: 978-985-03-3165-6

Популярные ГДЗ в 11 классе

Глава 1. Обобщение понятия степени. Параграф 1. Степень с рациональным показателем и ее свойства. Степень с действительным показателем - номер 1.29, страница 15.

№1.29 (с. 15)
Условие. №1.29 (с. 15)
скриншот условия
Алгебра, 11 класс Учебник, авторы: Арефьева Ирина Глебовна, Пирютко Ольга Николаевна, издательство Народная асвета, Минск, 2020, бирюзового цвета, страница 15, номер 1.29, Условие

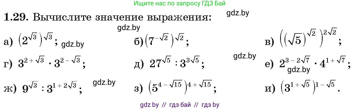
1.29. Вычислите значение выражения:

а) $(2^{\sqrt{3}})^{\sqrt{3}};$

б) $(7-\sqrt{2})\sqrt{2};$

в) $((\sqrt{5})^{\sqrt{2}})^{2\sqrt{2}};$

г) $3^{2+\sqrt{3}} \cdot 3^{2-\sqrt{3}};$

д) $27^{\sqrt{5}} : 3^{3\sqrt{5}};$

е) $2^{3-2\sqrt{7}} \cdot 4^{1+\sqrt{7}};$

ж) $9^{\sqrt{3}} : 3^{1+2\sqrt{3}};$

з) $(5^{4-\sqrt{15}})^{4+\sqrt{15}};$

и) $(3^{1+\sqrt{5}})^{1-\sqrt{5}}.$

Решение. №1.29 (с. 15)
Алгебра, 11 класс Учебник, авторы: Арефьева Ирина Глебовна, Пирютко Ольга Николаевна, издательство Народная асвета, Минск, 2020, бирюзового цвета, страница 15, номер 1.29, Решение Алгебра, 11 класс Учебник, авторы: Арефьева Ирина Глебовна, Пирютко Ольга Николаевна, издательство Народная асвета, Минск, 2020, бирюзового цвета, страница 15, номер 1.29, Решение (продолжение 2)
Решение 2. №1.29 (с. 15)

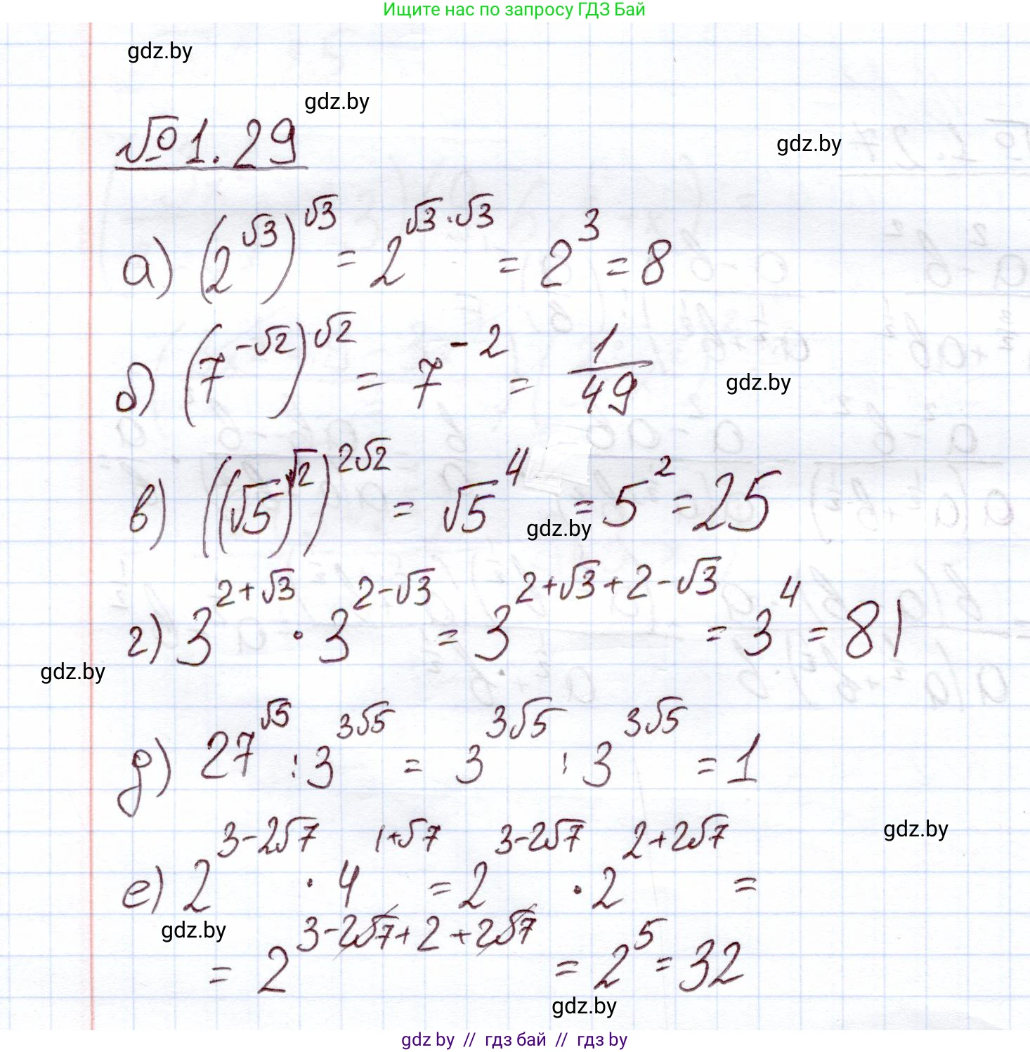
а) Используем свойство степени $(a^m)^n = a^{mn}$:
$(2^{\sqrt{3}})^{\sqrt{3}} = 2^{\sqrt{3} \cdot \sqrt{3}} = 2^3 = 8$.
Ответ: 8

б) Используем свойство степени $(a^m)^n = a^{mn}$:
$(7^{-\sqrt{2}})^{\sqrt{2}} = 7^{-\sqrt{2} \cdot \sqrt{2}} = 7^{-2} = \frac{1}{7^2} = \frac{1}{49}$.
Ответ: $\frac{1}{49}$

в) Используем свойство степени $(a^m)^n = a^{mn}$:
$((\sqrt{5})^{\sqrt{2}})^{2\sqrt{2}} = (\sqrt{5})^{\sqrt{2} \cdot 2\sqrt{2}} = (\sqrt{5})^{2 \cdot (\sqrt{2})^2} = (\sqrt{5})^{2 \cdot 2} = (\sqrt{5})^4$.
Так как $\sqrt{5} = 5^{1/2}$, то $(\sqrt{5})^4 = (5^{1/2})^4 = 5^{\frac{1}{2} \cdot 4} = 5^2 = 25$.
Ответ: 25

г) Используем свойство степени $a^m \cdot a^n = a^{m+n}$:
$3^{2+\sqrt{3}} \cdot 3^{2-\sqrt{3}} = 3^{(2+\sqrt{3}) + (2-\sqrt{3})} = 3^{2+\sqrt{3}+2-\sqrt{3}} = 3^4 = 81$.
Ответ: 81

д) Приведем степени к одному основанию $3$, так как $27 = 3^3$.
$27^{\sqrt{5}} = (3^3)^{\sqrt{5}} = 3^{3\sqrt{5}}$.
Используем свойство степени $a^m : a^n = a^{m-n}$:
$27^{\sqrt{5}} : 3^{3\sqrt{5}} = 3^{3\sqrt{5}} : 3^{3\sqrt{5}} = 3^{3\sqrt{5} - 3\sqrt{5}} = 3^0 = 1$.
Ответ: 1

е) Приведем степени к одному основанию $2$, так как $4 = 2^2$.
$4^{1+\sqrt{7}} = (2^2)^{1+\sqrt{7}} = 2^{2(1+\sqrt{7})} = 2^{2+2\sqrt{7}}$.
Используем свойство степени $a^m \cdot a^n = a^{m+n}$:
$2^{3-2\sqrt{7}} \cdot 4^{1+\sqrt{7}} = 2^{3-2\sqrt{7}} \cdot 2^{2+2\sqrt{7}} = 2^{(3-2\sqrt{7}) + (2+2\sqrt{7})} = 2^{3-2\sqrt{7}+2+2\sqrt{7}} = 2^5 = 32$.
Ответ: 32

ж) Приведем степени к одному основанию $3$, так как $9 = 3^2$.
$9^{\sqrt{3}} = (3^2)^{\sqrt{3}} = 3^{2\sqrt{3}}$.
Используем свойство степени $a^m : a^n = a^{m-n}$:
$9^{\sqrt{3}} : 3^{1+2\sqrt{3}} = 3^{2\sqrt{3}} : 3^{1+2\sqrt{3}} = 3^{2\sqrt{3} - (1+2\sqrt{3})} = 3^{2\sqrt{3}-1-2\sqrt{3}} = 3^{-1} = \frac{1}{3}$.
Ответ: $\frac{1}{3}$

з) Используем свойство степени $(a^m)^n = a^{mn}$ и формулу разности квадратов $(a-b)(a+b)=a^2-b^2$:
$(5^{4-\sqrt{15}})^{4+\sqrt{15}} = 5^{(4-\sqrt{15})(4+\sqrt{15})} = 5^{4^2 - (\sqrt{15})^2} = 5^{16-15} = 5^1 = 5$.
Ответ: 5

и) Используем свойство степени $(a^m)^n = a^{mn}$ и формулу разности квадратов $(a+b)(a-b)=a^2-b^2$:
$(3^{1+\sqrt{5}})^{1-\sqrt{5}} = 3^{(1+\sqrt{5})(1-\sqrt{5})} = 3^{1^2 - (\sqrt{5})^2} = 3^{1-5} = 3^{-4} = \frac{1}{3^4} = \frac{1}{81}$.
Ответ: $\frac{1}{81}$

Помогло решение? Оставьте отзыв в комментариях ниже.

Присоединяйтесь к Телеграм-группе @gdz_by_belarus

Присоединиться

Мы подготовили для вас ответ c подробным объяснением домашего задания по алгебре за 11 класс, для упражнения номер 1.29 расположенного на странице 15 к учебнику 2020 года издания для учащихся школ и гимназий.

Теперь на нашем сайте ГДЗ.ТОП вы всегда легко и бесплатно найдёте условие с правильным ответом на вопрос «Как решить ДЗ» и «Как сделать» задание по алгебре к упражнению №1.29 (с. 15), авторов: Арефьева (Ирина Глебовна), Пирютко (Ольга Николаевна), учебного пособия издательства Народная асвета.