Номер 1.42, страница 17 - гдз по алгебре 11 класс учебник Арефьева, Пирютко

Алгебра, 11 класс Учебник, авторы: Арефьева Ирина Глебовна, Пирютко Ольга Николаевна, издательство Народная асвета, Минск, 2020, бирюзового цвета

Авторы: Арефьева И. Г., Пирютко О. Н.

Тип: Учебник

Издательство: Народная асвета

Год издания: 2020 - 2025

Цвет обложки: бирюзовый, зелёный с графиком

ISBN: 978-985-03-3165-6

Популярные ГДЗ в 11 классе

Глава 1. Обобщение понятия степени. Параграф 1. Степень с рациональным показателем и ее свойства. Степень с действительным показателем - номер 1.42, страница 17.

№1.42 (с. 17)
Условие. №1.42 (с. 17)
скриншот условия
Алгебра, 11 класс Учебник, авторы: Арефьева Ирина Глебовна, Пирютко Ольга Николаевна, издательство Народная асвета, Минск, 2020, бирюзового цвета, страница 17, номер 1.42, Условие

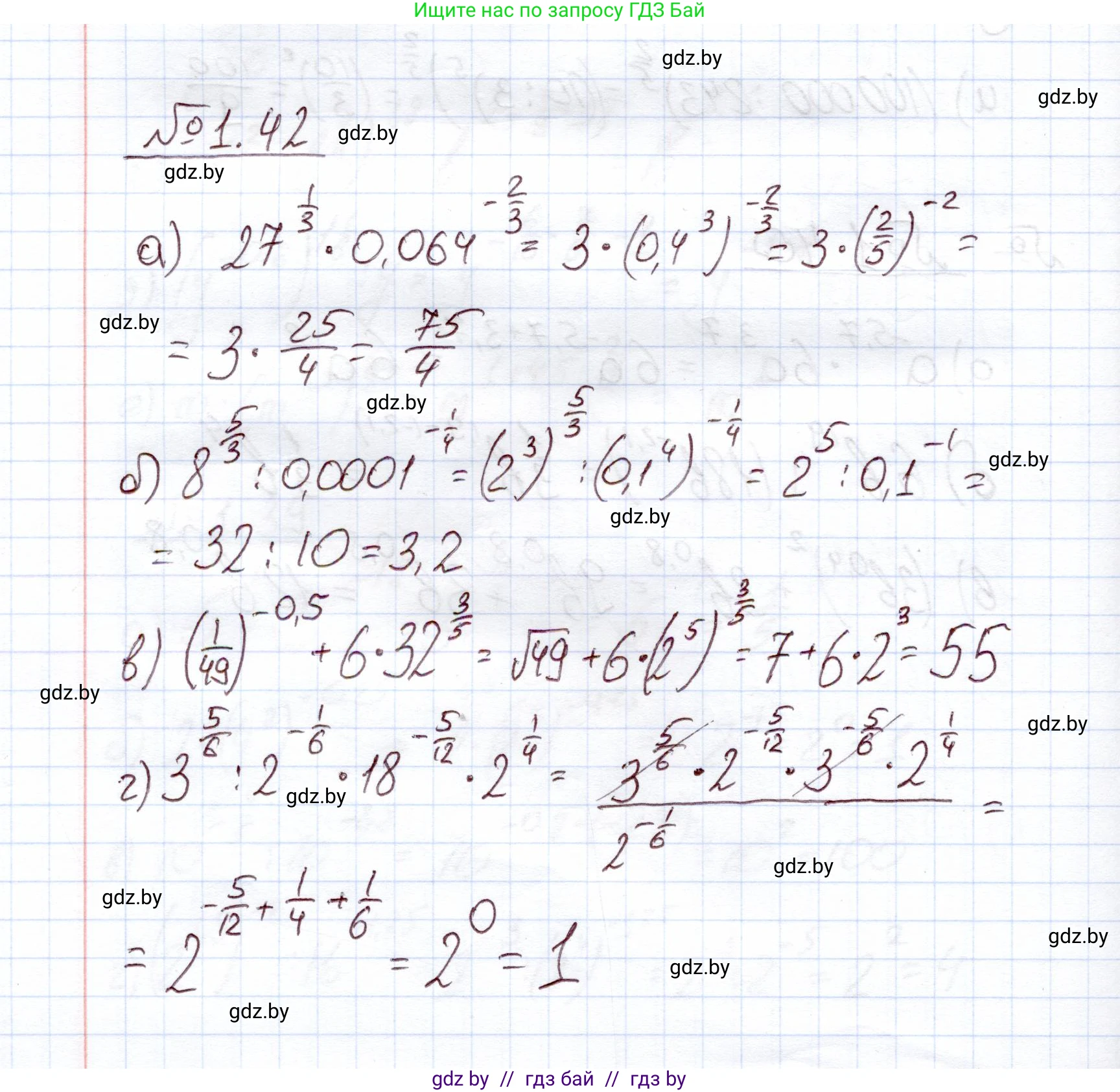
1.42. Вычислите значение выражения:

а) $27^{\frac{1}{3}} \cdot 0,064^{-\frac{2}{3}}$;

б) $8^{\frac{5}{3}} : 0,0001^{-\frac{1}{4}}$;

в) $\left(\frac{1}{49}\right)^{-0,5} + 6 \cdot 32^{\frac{3}{5}}$;

г) $3^{\frac{5}{6}} : 2^{-\frac{1}{6}} \cdot 18^{-\frac{5}{12}} \cdot 2^{\frac{1}{4}}$.

Решение. №1.42 (с. 17)
Алгебра, 11 класс Учебник, авторы: Арефьева Ирина Глебовна, Пирютко Ольга Николаевна, издательство Народная асвета, Минск, 2020, бирюзового цвета, страница 17, номер 1.42, Решение
Решение 2. №1.42 (с. 17)

а) $27^{\frac{1}{3}} \cdot 0,064^{-\frac{2}{3}}$. Для начала вычислим каждый множитель по отдельности. Первый множитель: $27^{\frac{1}{3}} = \sqrt[3]{27} = \sqrt[3]{3^3} = 3$. Для второго множителя представим десятичную дробь $0,064$ в виде обыкновенной дроби и степени: $0,064 = \frac{64}{1000} = \frac{4^3}{10^3} = (\frac{4}{10})^3 = (0,4)^3$. Тогда: $0,064^{-\frac{2}{3}} = ((0,4)^3)^{-\frac{2}{3}} = (0,4)^{3 \cdot (-\frac{2}{3})} = (0,4)^{-2} = (\frac{4}{10})^{-2} = (\frac{2}{5})^{-2} = (\frac{5}{2})^2 = \frac{25}{4} = 6,25$. Перемножим полученные значения: $3 \cdot \frac{25}{4} = \frac{75}{4} = 18,75$.
Ответ: 18,75.

б) $8^{\frac{5}{3}} : 0,0001^{-\frac{1}{4}}$. Вычислим делимое и делитель. Делимое: $8^{\frac{5}{3}} = (2^3)^{\frac{5}{3}} = 2^{3 \cdot \frac{5}{3}} = 2^5 = 32$. Для делителя представим $0,0001$ в виде степени: $0,0001 = \frac{1}{10000} = \frac{1}{10^4} = (0,1)^4$. Тогда: $0,0001^{-\frac{1}{4}} = ((0,1)^4)^{-\frac{1}{4}} = (0,1)^{4 \cdot (-\frac{1}{4})} = (0,1)^{-1} = 10$. Выполним деление: $32 : 10 = 3,2$.
Ответ: 3,2.

в) $(\frac{1}{49})^{-0,5} + 6 \cdot 32^{\frac{3}{5}}$. Вычислим каждое слагаемое. Первое слагаемое, учитывая, что $-0,5 = -\frac{1}{2}$: $(\frac{1}{49})^{-\frac{1}{2}} = 49^{\frac{1}{2}} = \sqrt{49} = 7$. Для второго слагаемого представим $32$ как степень двойки: $32 = 2^5$. Тогда $32^{\frac{3}{5}} = (2^5)^{\frac{3}{5}} = 2^{5 \cdot \frac{3}{5}} = 2^3 = 8$. Теперь умножим на 6: $6 \cdot 8 = 48$. Сложим полученные результаты: $7 + 48 = 55$.
Ответ: 55.

г) $3^{\frac{5}{6}} : 2^{-\frac{1}{6}} \cdot 18^{-\frac{5}{12}} \cdot 2^{\frac{1}{4}}$. Для упрощения выражения воспользуемся свойствами степеней. Заменим деление на умножение на число с противоположным знаком показателя: $3^{\frac{5}{6}} \cdot 2^{-(-\frac{1}{6})} \cdot 18^{-\frac{5}{12}} \cdot 2^{\frac{1}{4}} = 3^{\frac{5}{6}} \cdot 2^{\frac{1}{6}} \cdot 18^{-\frac{5}{12}} \cdot 2^{\frac{1}{4}}$. Разложим число 18 на простые множители: $18 = 2 \cdot 9 = 2 \cdot 3^2$. Подставим это в выражение: $18^{-\frac{5}{12}} = (2 \cdot 3^2)^{-\frac{5}{12}} = 2^{-\frac{5}{12}} \cdot (3^2)^{-\frac{5}{12}} = 2^{-\frac{5}{12}} \cdot 3^{-\frac{10}{12}} = 2^{-\frac{5}{12}} \cdot 3^{-\frac{5}{6}}$. Теперь все выражение выглядит так: $3^{\frac{5}{6}} \cdot 2^{\frac{1}{6}} \cdot (2^{-\frac{5}{12}} \cdot 3^{-\frac{5}{6}}) \cdot 2^{\frac{1}{4}}$. Сгруппируем множители с одинаковыми основаниями: $(3^{\frac{5}{6}} \cdot 3^{-\frac{5}{6}}) \cdot (2^{\frac{1}{6}} \cdot 2^{-\frac{5}{12}} \cdot 2^{\frac{1}{4}})$. Вычислим степени для каждого основания, складывая показатели. Для основания 3: $3^{\frac{5}{6} - \frac{5}{6}} = 3^0 = 1$. Для основания 2, приведя дроби в показателе к общему знаменателю 12: $2^{\frac{1}{6} - \frac{5}{12} + \frac{1}{4}} = 2^{\frac{2}{12} - \frac{5}{12} + \frac{3}{12}} = 2^{\frac{2-5+3}{12}} = 2^{\frac{0}{12}} = 2^0 = 1$. Перемножим результаты: $1 \cdot 1 = 1$.
Ответ: 1.

Помогло решение? Оставьте отзыв в комментариях ниже.

Присоединяйтесь к Телеграм-группе @gdz_by_belarus

Присоединиться

Мы подготовили для вас ответ c подробным объяснением домашего задания по алгебре за 11 класс, для упражнения номер 1.42 расположенного на странице 17 к учебнику 2020 года издания для учащихся школ и гимназий.

Теперь на нашем сайте ГДЗ.ТОП вы всегда легко и бесплатно найдёте условие с правильным ответом на вопрос «Как решить ДЗ» и «Как сделать» задание по алгебре к упражнению №1.42 (с. 17), авторов: Арефьева (Ирина Глебовна), Пирютко (Ольга Николаевна), учебного пособия издательства Народная асвета.