Номер 1.37, страница 17 - гдз по алгебре 11 класс учебник Арефьева, Пирютко

Алгебра, 11 класс Учебник, авторы: Арефьева Ирина Глебовна, Пирютко Ольга Николаевна, издательство Народная асвета, Минск, 2020, бирюзового цвета

Авторы: Арефьева И. Г., Пирютко О. Н.

Тип: Учебник

Издательство: Народная асвета

Год издания: 2020 - 2025

Цвет обложки: бирюзовый, зелёный с графиком

ISBN: 978-985-03-3165-6

Популярные ГДЗ в 11 классе

Глава 1. Обобщение понятия степени. Параграф 1. Степень с рациональным показателем и ее свойства. Степень с действительным показателем - номер 1.37, страница 17.

№1.37 (с. 17)
Условие. №1.37 (с. 17)
скриншот условия
Алгебра, 11 класс Учебник, авторы: Арефьева Ирина Глебовна, Пирютко Ольга Николаевна, издательство Народная асвета, Минск, 2020, бирюзового цвета, страница 17, номер 1.37, Условие

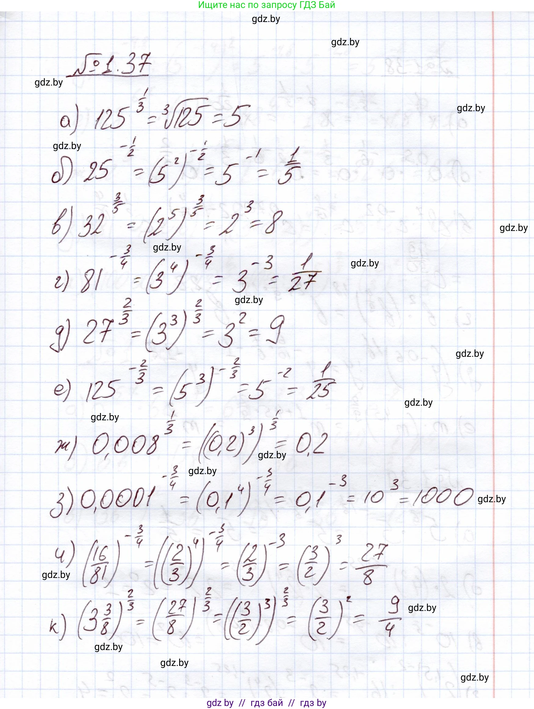
1.37. Вычислите значение выражения, используя определение степени с рациональным показателем:

а) $125^{\frac{1}{3}};$

б) $25^{-\frac{1}{2}};$

в) $32^{\frac{3}{5}};$

г) $81^{-\frac{3}{4}};$

д) $27^{\frac{2}{3}};$

е) $125^{-\frac{2}{3}};$

ж) $0,008^{\frac{1}{3}};$

з) $0,0001^{-\frac{3}{4}};$

и) $\left(\frac{16}{81}\right)^{-\frac{3}{4}};$

к) $\left(3\frac{3}{8}\right)^{\frac{2}{3}}.$

Решение. №1.37 (с. 17)
Алгебра, 11 класс Учебник, авторы: Арефьева Ирина Глебовна, Пирютко Ольга Николаевна, издательство Народная асвета, Минск, 2020, бирюзового цвета, страница 17, номер 1.37, Решение
Решение 2. №1.37 (с. 17)

а) По определению степени с рациональным показателем $a^{\frac{m}{n}} = \sqrt[n]{a^m}$, имеем: $125^{\frac{1}{3}} = \sqrt[3]{125^1} = \sqrt[3]{125}$. Поскольку $5^3 = 125$, то $\sqrt[3]{125} = 5$.
Ответ: 5

б) Используем свойство степени с отрицательным показателем $a^{-p} = \frac{1}{a^p}$, а затем определение степени с рациональным показателем: $25^{-\frac{1}{2}} = \frac{1}{25^{\frac{1}{2}}} = \frac{1}{\sqrt{25}} = \frac{1}{5}$.
Ответ: $\frac{1}{5}$

в) По определению $a^{\frac{m}{n}} = (\sqrt[n]{a})^m$, получаем: $32^{\frac{3}{5}} = (\sqrt[5]{32})^3$. Так как $2^5=32$, то $\sqrt[5]{32} = 2$. Тогда результат равен $2^3 = 8$.
Ответ: 8

г) Сначала преобразуем отрицательный показатель, а затем вычислим степень с рациональным показателем: $81^{-\frac{3}{4}} = \frac{1}{81^{\frac{3}{4}}} = \frac{1}{(\sqrt[4]{81})^3}$. Так как $3^4 = 81$, то $\sqrt[4]{81}=3$. Таким образом, получаем $\frac{1}{3^3} = \frac{1}{27}$.
Ответ: $\frac{1}{27}$

д) Используя определение $a^{\frac{m}{n}} = (\sqrt[n]{a})^m$, находим: $27^{\frac{2}{3}} = (\sqrt[3]{27})^2$. Поскольку $3^3 = 27$, то $\sqrt[3]{27} = 3$. Тогда результат равен $3^2 = 9$.
Ответ: 9

е) Преобразуем степень с отрицательным показателем: $125^{-\frac{2}{3}} = \frac{1}{125^{\frac{2}{3}}} = \frac{1}{(\sqrt[3]{125})^2}$. Так как $5^3 = 125$, то $\sqrt[3]{125} = 5$. В итоге получаем $\frac{1}{5^2} = \frac{1}{25}$.
Ответ: $\frac{1}{25}$

ж) Представим десятичное число в виде обыкновенной дроби: $0,008 = \frac{8}{1000}$. Тогда $0,008^{\frac{1}{3}} = (\frac{8}{1000})^{\frac{1}{3}} = \frac{8^{\frac{1}{3}}}{1000^{\frac{1}{3}}} = \frac{\sqrt[3]{8}}{\sqrt[3]{1000}} = \frac{2}{10} = 0,2$.
Ответ: 0,2

з) Представим десятичную дробь в виде обыкновенной: $0,0001 = \frac{1}{10000}$. Тогда $0,0001^{-\frac{3}{4}} = (\frac{1}{10000})^{-\frac{3}{4}}$. Используя свойство степени с отрицательным показателем $(\frac{a}{b})^{-n} = (\frac{b}{a})^n$, получаем $(10000)^{\frac{3}{4}}$. По определению, это $(\sqrt[4]{10000})^3$. Так как $10^4 = 10000$, то $\sqrt[4]{10000} = 10$. Тогда результат равен $10^3 = 1000$.
Ответ: 1000

и) Сначала избавимся от отрицательного показателя, перевернув дробь: $(\frac{16}{81})^{-\frac{3}{4}} = (\frac{81}{16})^{\frac{3}{4}}$. Затем применим определение к числителю и знаменателю: $\frac{81^{\frac{3}{4}}}{16^{\frac{3}{4}}} = \frac{(\sqrt[4]{81})^3}{(\sqrt[4]{16})^3}$. Поскольку $\sqrt[4]{81}=3$ и $\sqrt[4]{16}=2$, получаем $\frac{3^3}{2^3} = \frac{27}{8}$.
Ответ: $\frac{27}{8}$

к) Сначала преобразуем смешанную дробь в неправильную: $3\frac{3}{8} = \frac{3 \times 8 + 3}{8} = \frac{27}{8}$. Затем вычисляем значение выражения: $(\frac{27}{8})^{\frac{2}{3}} = \frac{27^{\frac{2}{3}}}{8^{\frac{2}{3}}} = \frac{(\sqrt[3]{27})^2}{(\sqrt[3]{8})^2}$. Так как $\sqrt[3]{27}=3$ и $\sqrt[3]{8}=2$, получаем $\frac{3^2}{2^2} = \frac{9}{4}$.
Ответ: $\frac{9}{4}$

Помогло решение? Оставьте отзыв в комментариях ниже.

Присоединяйтесь к Телеграм-группе @gdz_by_belarus

Присоединиться

Мы подготовили для вас ответ c подробным объяснением домашего задания по алгебре за 11 класс, для упражнения номер 1.37 расположенного на странице 17 к учебнику 2020 года издания для учащихся школ и гимназий.

Теперь на нашем сайте ГДЗ.ТОП вы всегда легко и бесплатно найдёте условие с правильным ответом на вопрос «Как решить ДЗ» и «Как сделать» задание по алгебре к упражнению №1.37 (с. 17), авторов: Арефьева (Ирина Глебовна), Пирютко (Ольга Николаевна), учебного пособия издательства Народная асвета.