Номер 1.44, страница 18 - гдз по алгебре 11 класс учебник Арефьева, Пирютко

Алгебра, 11 класс Учебник, авторы: Арефьева Ирина Глебовна, Пирютко Ольга Николаевна, издательство Народная асвета, Минск, 2020, бирюзового цвета

Авторы: Арефьева И. Г., Пирютко О. Н.

Тип: Учебник

Издательство: Народная асвета

Год издания: 2020 - 2025

Цвет обложки: бирюзовый, зелёный с графиком

ISBN: 978-985-03-3165-6

Популярные ГДЗ в 11 классе

Глава 1. Обобщение понятия степени. Параграф 1. Степень с рациональным показателем и ее свойства. Степень с действительным показателем - номер 1.44, страница 18.

№1.44 (с. 18)
Условие. №1.44 (с. 18)
скриншот условия
Алгебра, 11 класс Учебник, авторы: Арефьева Ирина Глебовна, Пирютко Ольга Николаевна, издательство Народная асвета, Минск, 2020, бирюзового цвета, страница 18, номер 1.44, Условие

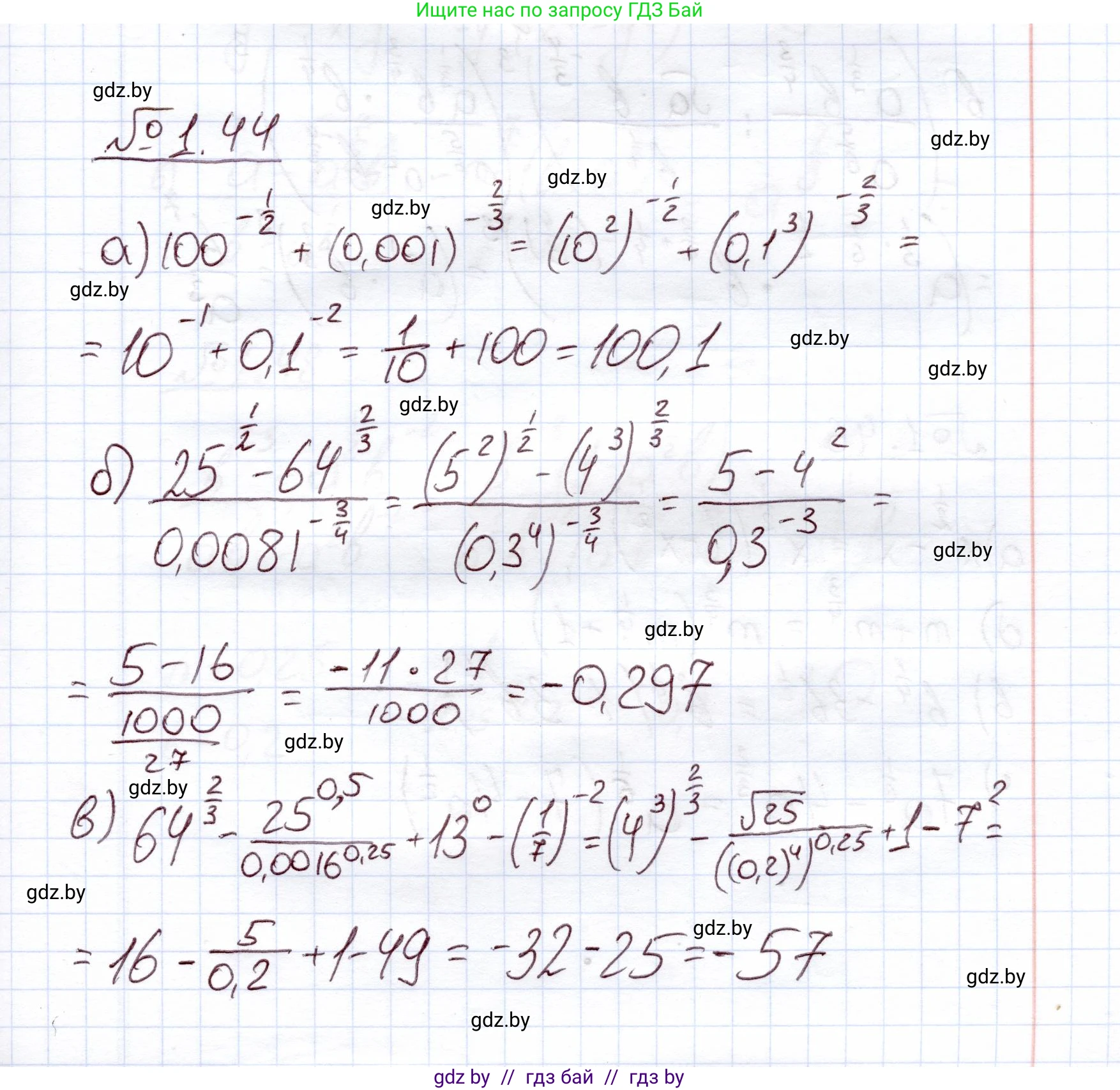
1.44. Определите порядок действий и вычислите:

а) $100^{-\frac{1}{2}} + (0,001)^{-\frac{2}{3}}$;

б) $\frac{25^{\frac{1}{2}} - 64^{\frac{2}{3}}}{0,0081^{-\frac{3}{4}}}$;

в) $64^{\frac{2}{3}} - \frac{25^{0,5}}{0,0016^{0,25}} + 13^0 - \left(\frac{1}{7}\right)^{-2}$.

Решение. №1.44 (с. 18)
Алгебра, 11 класс Учебник, авторы: Арефьева Ирина Глебовна, Пирютко Ольга Николаевна, издательство Народная асвета, Минск, 2020, бирюзового цвета, страница 18, номер 1.44, Решение
Решение 2. №1.44 (с. 18)
а)

Для вычисления значения выражения $100^{\frac{1}{2}} + (0,001)^{-\frac{2}{3}}$ определим следующий порядок действий:
1. Вычислим значение первого слагаемого $100^{\frac{1}{2}}$.
2. Вычислим значение второго слагаемого $(0,001)^{-\frac{2}{3}}$.
3. Сложим полученные результаты.

1. Степень с дробным показателем $\frac{1}{2}$ эквивалентна квадратному корню:
$100^{\frac{1}{2}} = \sqrt{100} = 10$.

2. Преобразуем десятичную дробь $0,001$ в степень числа 10: $0,001 = \frac{1}{1000} = \frac{1}{10^3} = 10^{-3}$.
Теперь вычислим значение второго слагаемого, используя свойство степени $(a^m)^n = a^{m \cdot n}$:
$(0,001)^{-\frac{2}{3}} = (10^{-3})^{-\frac{2}{3}} = 10^{-3 \cdot (-\frac{2}{3})} = 10^2 = 100$.

3. Сложим результаты:
$10 + 100 = 110$.

Ответ: 110

б)

Для вычисления значения выражения $\frac{25^{\frac{1}{2}} - 64^{\frac{2}{3}}}{0,0081^{-\frac{3}{4}}}$ определим следующий порядок действий:
1. Вычислим значение числителя: $25^{\frac{1}{2}} - 64^{\frac{2}{3}}$.
2. Вычислим значение знаменателя: $0,0081^{-\frac{3}{4}}$.
3. Разделим результат, полученный в пункте 1, на результат, полученный в пункте 2.

1. Вычисляем числитель:
$25^{\frac{1}{2}} = \sqrt{25} = 5$.
$64^{\frac{2}{3}} = (\sqrt[3]{64})^2 = 4^2 = 16$.
Значение числителя равно $5 - 16 = -11$.

2. Вычисляем знаменатель. Представим $0,0081$ в виде степени: $0,0081 = \frac{81}{10000} = (\frac{3}{10})^4$.
Используя свойства степени $(a^m)^n = a^{mn}$ и $a^{-n} = (\frac{1}{a})^n$, получаем:
$0,0081^{-\frac{3}{4}} = ((\frac{3}{10})^4)^{-\frac{3}{4}} = (\frac{3}{10})^{4 \cdot (-\frac{3}{4})} = (\frac{3}{10})^{-3} = (\frac{10}{3})^3 = \frac{10^3}{3^3} = \frac{1000}{27}$.

3. Выполняем деление:
$\frac{-11}{\frac{1000}{27}} = -11 \cdot \frac{27}{1000} = -\frac{297}{1000} = -0,297$.

Ответ: -0,297

в)

Для вычисления значения выражения $64^{\frac{2}{3}} - \frac{25^{0,5}}{0,0016^{0,25}} + 13^0 - (\frac{1}{7})^{-2}$ определим следующий порядок действий:
1. Вычислить значение каждого члена выражения: $64^{\frac{2}{3}}$, $\frac{25^{0,5}}{0,0016^{0,25}}$, $13^0$ и $(\frac{1}{7})^{-2}$.
2. Выполнить вычитание и сложение в порядке их следования.

1. Вычисляем значения по порядку:
$64^{\frac{2}{3}} = (\sqrt[3]{64})^2 = 4^2 = 16$.

Для вычисления дроби $\frac{25^{0,5}}{0,0016^{0,25}}$ сначала преобразуем десятичные степени в дробные: $0,5 = \frac{1}{2}$ и $0,25 = \frac{1}{4}$.
Вычислим числитель: $25^{0,5} = 25^{\frac{1}{2}} = \sqrt{25} = 5$.
Вычислим знаменатель. Представим $0,0016$ как $\frac{16}{10000}$:
$0,0016^{0,25} = (\frac{16}{10000})^{\frac{1}{4}} = \frac{\sqrt[4]{16}}{\sqrt[4]{10000}} = \frac{2}{10} = 0,2$.
Значение дроби: $\frac{5}{0,2} = 25$.

Любое число (кроме нуля) в нулевой степени равно 1:
$13^0 = 1$.

Для вычисления последнего члена используем свойство отрицательной степени $a^{-n} = \frac{1}{a^n}$:
$(\frac{1}{7})^{-2} = (7^{-1})^{-2} = 7^{(-1) \cdot (-2)} = 7^2 = 49$.

2. Теперь подставим все вычисленные значения в исходное выражение:
$16 - 25 + 1 - 49 = -9 + 1 - 49 = -8 - 49 = -57$.

Ответ: -57

Помогло решение? Оставьте отзыв в комментариях ниже.

Присоединяйтесь к Телеграм-группе @gdz_by_belarus

Присоединиться

Мы подготовили для вас ответ c подробным объяснением домашего задания по алгебре за 11 класс, для упражнения номер 1.44 расположенного на странице 18 к учебнику 2020 года издания для учащихся школ и гимназий.

Теперь на нашем сайте ГДЗ.ТОП вы всегда легко и бесплатно найдёте условие с правильным ответом на вопрос «Как решить ДЗ» и «Как сделать» задание по алгебре к упражнению №1.44 (с. 18), авторов: Арефьева (Ирина Глебовна), Пирютко (Ольга Николаевна), учебного пособия издательства Народная асвета.