Номер 1.45, страница 18 - гдз по алгебре 11 класс учебник Арефьева, Пирютко

Алгебра, 11 класс Учебник, авторы: Арефьева Ирина Глебовна, Пирютко Ольга Николаевна, издательство Народная асвета, Минск, 2020, бирюзового цвета

Авторы: Арефьева И. Г., Пирютко О. Н.

Тип: Учебник

Издательство: Народная асвета

Год издания: 2020 - 2025

Цвет обложки: бирюзовый, зелёный с графиком

ISBN: 978-985-03-3165-6

Популярные ГДЗ в 11 классе

Глава 1. Обобщение понятия степени. Параграф 1. Степень с рациональным показателем и ее свойства. Степень с действительным показателем - номер 1.45, страница 18.

№1.45 (с. 18)
Условие. №1.45 (с. 18)
скриншот условия
Алгебра, 11 класс Учебник, авторы: Арефьева Ирина Глебовна, Пирютко Ольга Николаевна, издательство Народная асвета, Минск, 2020, бирюзового цвета, страница 18, номер 1.45, Условие

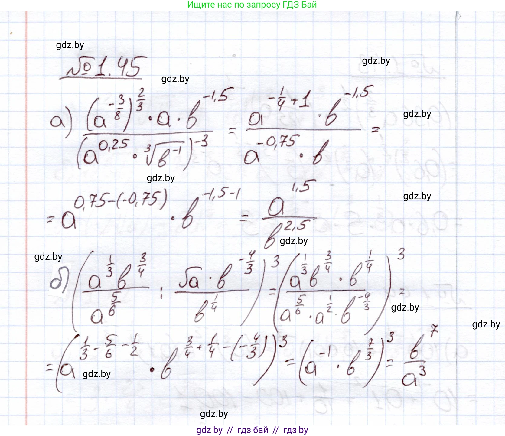
1.45. Упростите выражение:

а) $\frac{\left(a^{-\frac{3}{8}}\right)^{\frac{2}{3}} \cdot a \cdot b^{-1.5}}{\left(a^{0.25} \cdot \sqrt[3]{b^{-1}}\right)^{-3}};$

б) $\left( \frac{a^{\frac{1}{3}} b^{\frac{3}{4}}}{a^{\frac{5}{6}}} : \frac{\sqrt{a} \cdot b^{-\frac{4}{3}}}{b^{\frac{1}{4}}} \right)^3.$

Решение. №1.45 (с. 18)
Алгебра, 11 класс Учебник, авторы: Арефьева Ирина Глебовна, Пирютко Ольга Николаевна, издательство Народная асвета, Минск, 2020, бирюзового цвета, страница 18, номер 1.45, Решение
Решение 2. №1.45 (с. 18)

а)
Исходное выражение: $$ \frac{(a^{-\frac{3}{8}})^{\frac{2}{3}} \cdot a \cdot b^{-1,5}}{(a^{0,25} \cdot \sqrt[3]{b^{-1}})^{-3}} $$ Для упрощения этого выражения будем работать с числителем и знаменателем по отдельности, используя свойства степеней.
1. Упростим числитель: $(a^{-\frac{3}{8}})^{\frac{2}{3}} \cdot a \cdot b^{-1,5}$.
Используем свойство $(x^m)^n = x^{m \cdot n}$: $(a^{-\frac{3}{8}})^{\frac{2}{3}} = a^{-\frac{3}{8} \cdot \frac{2}{3}} = a^{-\frac{6}{24}} = a^{-\frac{1}{4}}$.
Теперь умножим степени с основанием $a$, используя свойство $x^m \cdot x^n = x^{m+n}$: $a^{-\frac{1}{4}} \cdot a^1 = a^{-\frac{1}{4} + 1} = a^{\frac{3}{4}}$.
Преобразуем десятичную степень в дробную: $b^{-1,5} = b^{-\frac{3}{2}}$.
Таким образом, числитель равен: $a^{\frac{3}{4}}b^{-\frac{3}{2}}$.
2. Упростим знаменатель: $(a^{0,25} \cdot \sqrt[3]{b^{-1}})^{-3}$.
Преобразуем все в степенной вид: $a^{0,25} = a^{\frac{1}{4}}$ и $\sqrt[3]{b^{-1}} = (b^{-1})^{\frac{1}{3}} = b^{-\frac{1}{3}}$.
Знаменатель принимает вид: $(a^{\frac{1}{4}} \cdot b^{-\frac{1}{3}})^{-3}$.
Раскроем скобки, используя свойства $(x \cdot y)^n = x^n \cdot y^n$ и $(x^m)^n = x^{m \cdot n}$: $(a^{\frac{1}{4}})^{-3} \cdot (b^{-\frac{1}{3}})^{-3} = a^{\frac{1}{4} \cdot (-3)} \cdot b^{-\frac{1}{3} \cdot (-3)} = a^{-\frac{3}{4}}b^1 = a^{-\frac{3}{4}}b$.
3. Разделим упрощенный числитель на упрощенный знаменатель: $$ \frac{a^{\frac{3}{4}}b^{-\frac{3}{2}}}{a^{-\frac{3}{4}}b} $$ Применим свойство $\frac{x^m}{x^n} = x^{m-n}$:
Для основания $a$: $a^{\frac{3}{4} - (-\frac{3}{4})} = a^{\frac{3}{4} + \frac{3}{4}} = a^{\frac{6}{4}} = a^{\frac{3}{2}}$.
Для основания $b$: $b^{-\frac{3}{2} - 1} = b^{-\frac{3}{2} - \frac{2}{2}} = b^{-\frac{5}{2}}$.
В результате получаем $a^{\frac{3}{2}}b^{-\frac{5}{2}}$.
Ответ: $a^{\frac{3}{2}}b^{-\frac{5}{2}}$

б)
Исходное выражение: $$ \left( \frac{a^{\frac{1}{3}} b^{\frac{3}{4}}}{a^{\frac{5}{6}}} : \frac{\sqrt{a} \cdot b^{-\frac{4}{3}}}{b^{\frac{1}{4}}} \right)^3 $$ Сначала упростим выражение в скобках. Для этого выполним деление дробей.
1. Упростим первую дробь: $\frac{a^{\frac{1}{3}} b^{\frac{3}{4}}}{a^{\frac{5}{6}}} = a^{\frac{1}{3}-\frac{5}{6}}b^{\frac{3}{4}} = a^{\frac{2-5}{6}}b^{\frac{3}{4}} = a^{-\frac{3}{6}}b^{\frac{3}{4}} = a^{-\frac{1}{2}}b^{\frac{3}{4}}$.
2. Упростим вторую дробь: $\frac{\sqrt{a} \cdot b^{-\frac{4}{3}}}{b^{\frac{1}{4}}} = \frac{a^{\frac{1}{2}} b^{-\frac{4}{3}}}{b^{\frac{1}{4}}} = a^{\frac{1}{2}}b^{-\frac{4}{3}-\frac{1}{4}} = a^{\frac{1}{2}}b^{\frac{-16-3}{12}} = a^{\frac{1}{2}}b^{-\frac{19}{12}}$.
3. Выполним деление результатов: $$ \frac{a^{-\frac{1}{2}}b^{\frac{3}{4}}}{a^{\frac{1}{2}}b^{-\frac{19}{12}}} $$ Применим свойство $\frac{x^m}{x^n} = x^{m-n}$:
Для основания $a$: $a^{-\frac{1}{2} - \frac{1}{2}} = a^{-1}$.
Для основания $b$: $b^{\frac{3}{4} - (-\frac{19}{12})} = b^{\frac{3}{4} + \frac{19}{12}} = b^{\frac{9+19}{12}} = b^{\frac{28}{12}} = b^{\frac{7}{3}}$.
Выражение в скобках равно $a^{-1}b^{\frac{7}{3}}$.
4. Возведем полученное выражение в третью степень: $$ (a^{-1}b^{\frac{7}{3}})^3 $$ Используем свойство $(x^m)^n = x^{m \cdot n}$: $a^{-1 \cdot 3}b^{\frac{7}{3} \cdot 3} = a^{-3}b^7$.
Ответ: $a^{-3}b^7$

Помогло решение? Оставьте отзыв в комментариях ниже.

Присоединяйтесь к Телеграм-группе @gdz_by_belarus

Присоединиться

Мы подготовили для вас ответ c подробным объяснением домашего задания по алгебре за 11 класс, для упражнения номер 1.45 расположенного на странице 18 к учебнику 2020 года издания для учащихся школ и гимназий.

Теперь на нашем сайте ГДЗ.ТОП вы всегда легко и бесплатно найдёте условие с правильным ответом на вопрос «Как решить ДЗ» и «Как сделать» задание по алгебре к упражнению №1.45 (с. 18), авторов: Арефьева (Ирина Глебовна), Пирютко (Ольга Николаевна), учебного пособия издательства Народная асвета.