Номер 1.58, страница 19 - гдз по алгебре 11 класс учебник Арефьева, Пирютко

Алгебра, 11 класс Учебник, авторы: Арефьева Ирина Глебовна, Пирютко Ольга Николаевна, издательство Народная асвета, Минск, 2020, бирюзового цвета

Авторы: Арефьева И. Г., Пирютко О. Н.

Тип: Учебник

Издательство: Народная асвета

Год издания: 2020 - 2025

Цвет обложки: бирюзовый, зелёный с графиком

ISBN: 978-985-03-3165-6

Популярные ГДЗ в 11 классе

Глава 1. Обобщение понятия степени. Параграф 1. Степень с рациональным показателем и ее свойства. Степень с действительным показателем - номер 1.58, страница 19.

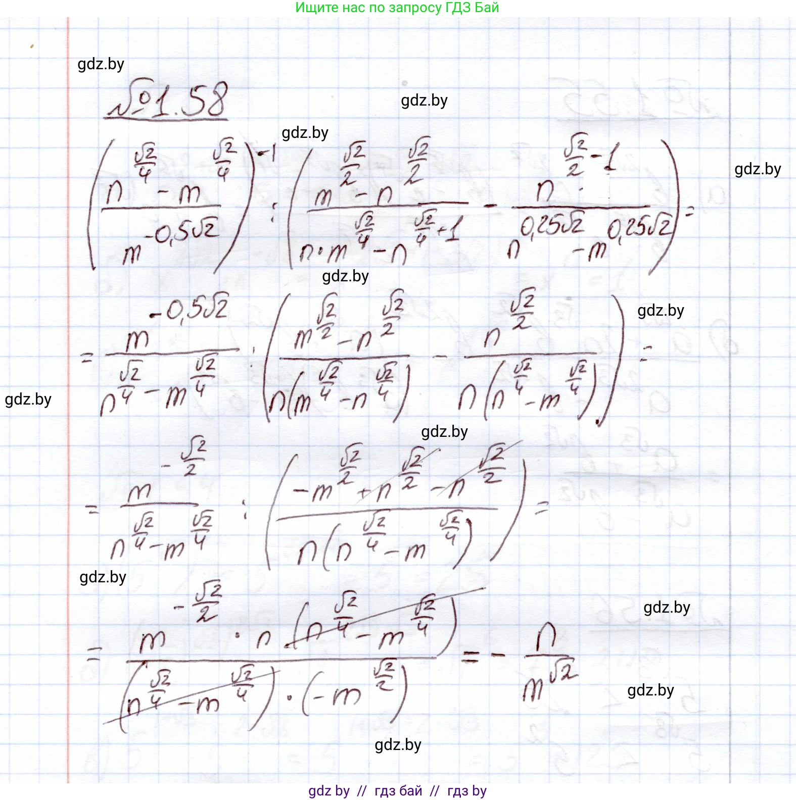
№1.58 (с. 19)
Условие. №1.58 (с. 19)
скриншот условия
Алгебра, 11 класс Учебник, авторы: Арефьева Ирина Глебовна, Пирютко Ольга Николаевна, издательство Народная асвета, Минск, 2020, бирюзового цвета, страница 19, номер 1.58, Условие

1.58*. Упростите выражение

$\left(\frac{n^{\frac{\sqrt{2}}{4}}-m^{\frac{\sqrt{2}}{4}}}{m^{-0.5\sqrt{2}}}\right)^{-1} : \left(\frac{m^{\frac{\sqrt{2}}{2}}-n^{\frac{\sqrt{2}}{2}}}{n \cdot m^{\frac{\sqrt{2}}{4}}-n^{\frac{\sqrt{2}}{4}}+1} - \frac{n^{\frac{\sqrt{2}}{2}}-1}{n^{0.25\sqrt{2}}-m^{0.25\sqrt{2}}}\right)$

Решение. №1.58 (с. 19)
Алгебра, 11 класс Учебник, авторы: Арефьева Ирина Глебовна, Пирютко Ольга Николаевна, издательство Народная асвета, Минск, 2020, бирюзового цвета, страница 19, номер 1.58, Решение
Решение 2. №1.58 (с. 19)

Заданное в изображении выражение, по-видимому, содержит опечатки в знаменателях дробей во второй скобке. Упрощение выражения в его исходном виде приводит к очень громоздкому результату, что нехарактерно для задач такого типа. Наиболее вероятной является следующая исправленная версия задачи, которая имеет стандартную для подобных заданий структуру и поддается упрощению:

$$ \left(\frac{n^{\frac{\sqrt{2}}{4}} - m^{\frac{\sqrt{2}}{4}}}{m^{-0,5\sqrt{2}}}\right)^{-1} : \left(\frac{m^{\frac{\sqrt{2}}{2}} - n^{\frac{\sqrt{2}}{2}}}{m^{\frac{\sqrt{2}}{4}} - n^{\frac{\sqrt{2}}{4}}} - \frac{n^{\frac{\sqrt{2}}{2}}-1}{n^{0,25\sqrt{2}} - 1}\right) $$

Решим эту задачу по шагам.

1. Введение замен для упрощения.

Для удобства введем следующие замены:

$x = m^{0,25\sqrt{2}} = m^{\frac{\sqrt{2}}{4}}$

$y = n^{0,25\sqrt{2}} = n^{\frac{\sqrt{2}}{4}}$

Тогда остальные степени в выражении можно представить через $x$ и $y$:

$m^{\frac{\sqrt{2}}{2}} = (m^{\frac{\sqrt{2}}{4}})^2 = x^2$

$n^{\frac{\sqrt{2}}{2}} = (n^{\frac{\sqrt{2}}{4}})^2 = y^2$

$m^{-0,5\sqrt{2}} = m^{-\frac{\sqrt{2}}{2}} = (m^{\frac{\sqrt{2}}{4}})^{-2} = x^{-2}$

После замены выражение принимает вид:

$$ \left(\frac{y - x}{x^{-2}}\right)^{-1} : \left(\frac{x^2 - y^2}{x - y} - \frac{y^2 - 1}{y - 1}\right) $$

2. Упрощение первой части выражения (делимого).

$$ \left(\frac{y - x}{x^{-2}}\right)^{-1} = \left((y - x) \cdot x^2\right)^{-1} = \frac{1}{x^2(y - x)} $$

3. Упрощение второй части выражения (делителя).

Рассмотрим выражение во второй скобке. Применим формулу разности квадратов $a^2 - b^2 = (a-b)(a+b)$ к числителям дробей:

$$ \frac{x^2 - y^2}{x - y} - \frac{y^2 - 1}{y - 1} = \frac{(x-y)(x+y)}{x-y} - \frac{(y-1)(y+1)}{y-1} $$

Сокращаем дроби (при условии, что $x \neq y$ и $y \neq 1$):

$$ (x+y) - (y+1) = x + y - y - 1 = x - 1 $$

4. Выполнение деления.

Теперь разделим результат шага 2 на результат шага 3:

$$ \frac{1}{x^2(y - x)} : (x - 1) = \frac{1}{x^2(y - x)(x - 1)} $$

5. Обратная замена.

Подставим обратно исходные переменные $m$ и $n$ вместо $x$ и $y$:

$x = m^{\frac{\sqrt{2}}{4}}$

$y = n^{\frac{\sqrt{2}}{4}}$

$$ \frac{1}{(m^{\frac{\sqrt{2}}{4}})^2(n^{\frac{\sqrt{2}}{4}} - m^{\frac{\sqrt{2}}{4}})(m^{\frac{\sqrt{2}}{4}} - 1)} = \frac{1}{m^{2 \cdot \frac{\sqrt{2}}{4}}(n^{\frac{\sqrt{2}}{4}} - m^{\frac{\sqrt{2}}{4}})(m^{\frac{\sqrt{2}}{4}} - 1)} = \frac{1}{m^{\frac{\sqrt{2}}{2}}(n^{\frac{\sqrt{2}}{4}} - m^{\frac{\sqrt{2}}{4}})(m^{\frac{\sqrt{2}}{4}} - 1)} $$

Ответ:

$$ \frac{1}{m^{\frac{\sqrt{2}}{2}}(n^{\frac{\sqrt{2}}{4}} - m^{\frac{\sqrt{2}}{4}})(m^{\frac{\sqrt{2}}{4}} - 1)} $$

Помогло решение? Оставьте отзыв в комментариях ниже.

Присоединяйтесь к Телеграм-группе @gdz_by_belarus

Присоединиться

Мы подготовили для вас ответ c подробным объяснением домашего задания по алгебре за 11 класс, для упражнения номер 1.58 расположенного на странице 19 к учебнику 2020 года издания для учащихся школ и гимназий.

Теперь на нашем сайте ГДЗ.ТОП вы всегда легко и бесплатно найдёте условие с правильным ответом на вопрос «Как решить ДЗ» и «Как сделать» задание по алгебре к упражнению №1.58 (с. 19), авторов: Арефьева (Ирина Глебовна), Пирютко (Ольга Николаевна), учебного пособия издательства Народная асвета.