Номер 2.147, страница 78 - гдз по алгебре 11 класс учебник Арефьева, Пирютко

Алгебра, 11 класс Учебник, авторы: Арефьева Ирина Глебовна, Пирютко Ольга Николаевна, издательство Народная асвета, Минск, 2020, бирюзового цвета

Авторы: Арефьева И. Г., Пирютко О. Н.

Тип: Учебник

Издательство: Народная асвета

Год издания: 2020 - 2025

Цвет обложки: бирюзовый, зелёный с графиком

ISBN: 978-985-03-3165-6

Популярные ГДЗ в 11 классе

Глава 2. Показательная функция. Параграф 5. Показательные уравнения - номер 2.147, страница 78.

№2.147 (с. 78)
Условие. №2.147 (с. 78)
скриншот условия
Алгебра, 11 класс Учебник, авторы: Арефьева Ирина Глебовна, Пирютко Ольга Николаевна, издательство Народная асвета, Минск, 2020, бирюзового цвета, страница 78, номер 2.147, Условие

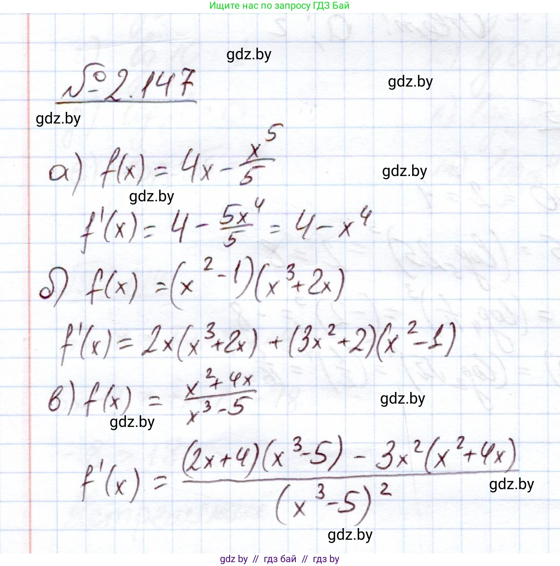
2.147. Найдите производную функции:

a) $f(x) = 4x - \frac{x^5}{5};$

б) $f(x) = (x^2 - 1)(x^3 + 2x);$

в) $f(x) = \frac{x^2 + 4x}{x^3 - 5};$

г) $f(x) = \frac{x^2 + 3x - 1}{x - 3}.$

Решение. №2.147 (с. 78)
Алгебра, 11 класс Учебник, авторы: Арефьева Ирина Глебовна, Пирютко Ольга Николаевна, издательство Народная асвета, Минск, 2020, бирюзового цвета, страница 78, номер 2.147, Решение Алгебра, 11 класс Учебник, авторы: Арефьева Ирина Глебовна, Пирютко Ольга Николаевна, издательство Народная асвета, Минск, 2020, бирюзового цвета, страница 78, номер 2.147, Решение (продолжение 2)
Решение 2. №2.147 (с. 78)

а)

Дана функция $f(x) = 4x - \frac{x^5}{5}$.

Для нахождения производной используем правило дифференцирования разности функций $(u-v)' = u' - v'$ и правило для степенной функции $(x^n)' = nx^{n-1}$.

Запишем функцию в виде $f(x) = 4x - \frac{1}{5}x^5$.

Найдем производную каждого слагаемого:

$(4x)' = 4 \cdot (x^1)' = 4 \cdot 1 \cdot x^{1-1} = 4 \cdot x^0 = 4$.

$(\frac{1}{5}x^5)' = \frac{1}{5} \cdot (x^5)' = \frac{1}{5} \cdot 5x^{5-1} = x^4$.

Теперь вычтем вторую производную из первой:

$f'(x) = (4x)' - (\frac{x^5}{5})' = 4 - x^4$.

Ответ: $f'(x) = 4 - x^4$.

б)

Дана функция $f(x) = (x^2 - 1)(x^3 + 2x)$.

Для нахождения производной используем правило дифференцирования произведения функций $(uv)' = u'v + uv'$.

Пусть $u(x) = x^2 - 1$ и $v(x) = x^3 + 2x$.

Найдем их производные:

$u'(x) = (x^2 - 1)' = 2x$.

$v'(x) = (x^3 + 2x)' = 3x^2 + 2$.

Подставим в формулу производной произведения:

$f'(x) = u'(x)v(x) + u(x)v'(x) = (2x)(x^3 + 2x) + (x^2 - 1)(3x^2 + 2)$.

Раскроем скобки и упростим выражение:

$f'(x) = (2x \cdot x^3 + 2x \cdot 2x) + (x^2 \cdot 3x^2 + x^2 \cdot 2 - 1 \cdot 3x^2 - 1 \cdot 2)$

$f'(x) = (2x^4 + 4x^2) + (3x^4 + 2x^2 - 3x^2 - 2)$

$f'(x) = 2x^4 + 4x^2 + 3x^4 - x^2 - 2$

$f'(x) = 5x^4 + 3x^2 - 2$.

Ответ: $f'(x) = 5x^4 + 3x^2 - 2$.

в)

Дана функция $f(x) = \frac{x^2 + 4x}{x^3 - 5}$.

Для нахождения производной используем правило дифференцирования частного (дроби) $(\frac{u}{v})' = \frac{u'v - uv'}{v^2}$.

Пусть $u(x) = x^2 + 4x$ (числитель) и $v(x) = x^3 - 5$ (знаменатель).

Найдем их производные:

$u'(x) = (x^2 + 4x)' = 2x + 4$.

$v'(x) = (x^3 - 5)' = 3x^2$.

Подставим в формулу производной частного:

$f'(x) = \frac{(2x + 4)(x^3 - 5) - (x^2 + 4x)(3x^2)}{(x^3 - 5)^2}$.

Раскроем скобки в числителе и упростим:

$(2x + 4)(x^3 - 5) = 2x^4 - 10x + 4x^3 - 20$.

$(x^2 + 4x)(3x^2) = 3x^4 + 12x^3$.

Числитель: $(2x^4 + 4x^3 - 10x - 20) - (3x^4 + 12x^3) = 2x^4 + 4x^3 - 10x - 20 - 3x^4 - 12x^3 = -x^4 - 8x^3 - 10x - 20$.

Таким образом, производная равна:

$f'(x) = \frac{-x^4 - 8x^3 - 10x - 20}{(x^3 - 5)^2} = -\frac{x^4 + 8x^3 + 10x + 20}{(x^3 - 5)^2}$.

Ответ: $f'(x) = \frac{-x^4 - 8x^3 - 10x - 20}{(x^3 - 5)^2}$.

г)

Дана функция $f(x) = \frac{x^2 + 3x - 1}{x - 3}$.

Используем правило дифференцирования частного $(\frac{u}{v})' = \frac{u'v - uv'}{v^2}$.

Пусть $u(x) = x^2 + 3x - 1$ и $v(x) = x - 3$.

Найдем их производные:

$u'(x) = (x^2 + 3x - 1)' = 2x + 3$.

$v'(x) = (x - 3)' = 1$.

Подставим в формулу:

$f'(x) = \frac{(2x + 3)(x - 3) - (x^2 + 3x - 1)(1)}{(x - 3)^2}$.

Раскроем скобки в числителе и приведем подобные слагаемые:

Числитель: $(2x^2 - 6x + 3x - 9) - (x^2 + 3x - 1) = 2x^2 - 3x - 9 - x^2 - 3x + 1 = x^2 - 6x - 8$.

Таким образом, производная равна:

$f'(x) = \frac{x^2 - 6x - 8}{(x - 3)^2}$.

Ответ: $f'(x) = \frac{x^2 - 6x - 8}{(x - 3)^2}$.

Помогло решение? Оставьте отзыв в комментариях ниже.

Присоединяйтесь к Телеграм-группе @gdz_by_belarus

Присоединиться

Мы подготовили для вас ответ c подробным объяснением домашего задания по алгебре за 11 класс, для упражнения номер 2.147 расположенного на странице 78 к учебнику 2020 года издания для учащихся школ и гимназий.

Теперь на нашем сайте ГДЗ.ТОП вы всегда легко и бесплатно найдёте условие с правильным ответом на вопрос «Как решить ДЗ» и «Как сделать» задание по алгебре к упражнению №2.147 (с. 78), авторов: Арефьева (Ирина Глебовна), Пирютко (Ольга Николаевна), учебного пособия издательства Народная асвета.