Номер 2.152, страница 78 - гдз по алгебре 11 класс учебник Арефьева, Пирютко

Алгебра, 11 класс Учебник, авторы: Арефьева Ирина Глебовна, Пирютко Ольга Николаевна, издательство Народная асвета, Минск, 2020, бирюзового цвета

Авторы: Арефьева И. Г., Пирютко О. Н.

Тип: Учебник

Издательство: Народная асвета

Год издания: 2020 - 2025

Цвет обложки: бирюзовый, зелёный с графиком

ISBN: 978-985-03-3165-6

Популярные ГДЗ в 11 классе

Глава 2. Показательная функция. Параграф 5. Показательные уравнения - номер 2.152, страница 78.

№2.152 (с. 78)
Условие. №2.152 (с. 78)
скриншот условия
Алгебра, 11 класс Учебник, авторы: Арефьева Ирина Глебовна, Пирютко Ольга Николаевна, издательство Народная асвета, Минск, 2020, бирюзового цвета, страница 78, номер 2.152, Условие

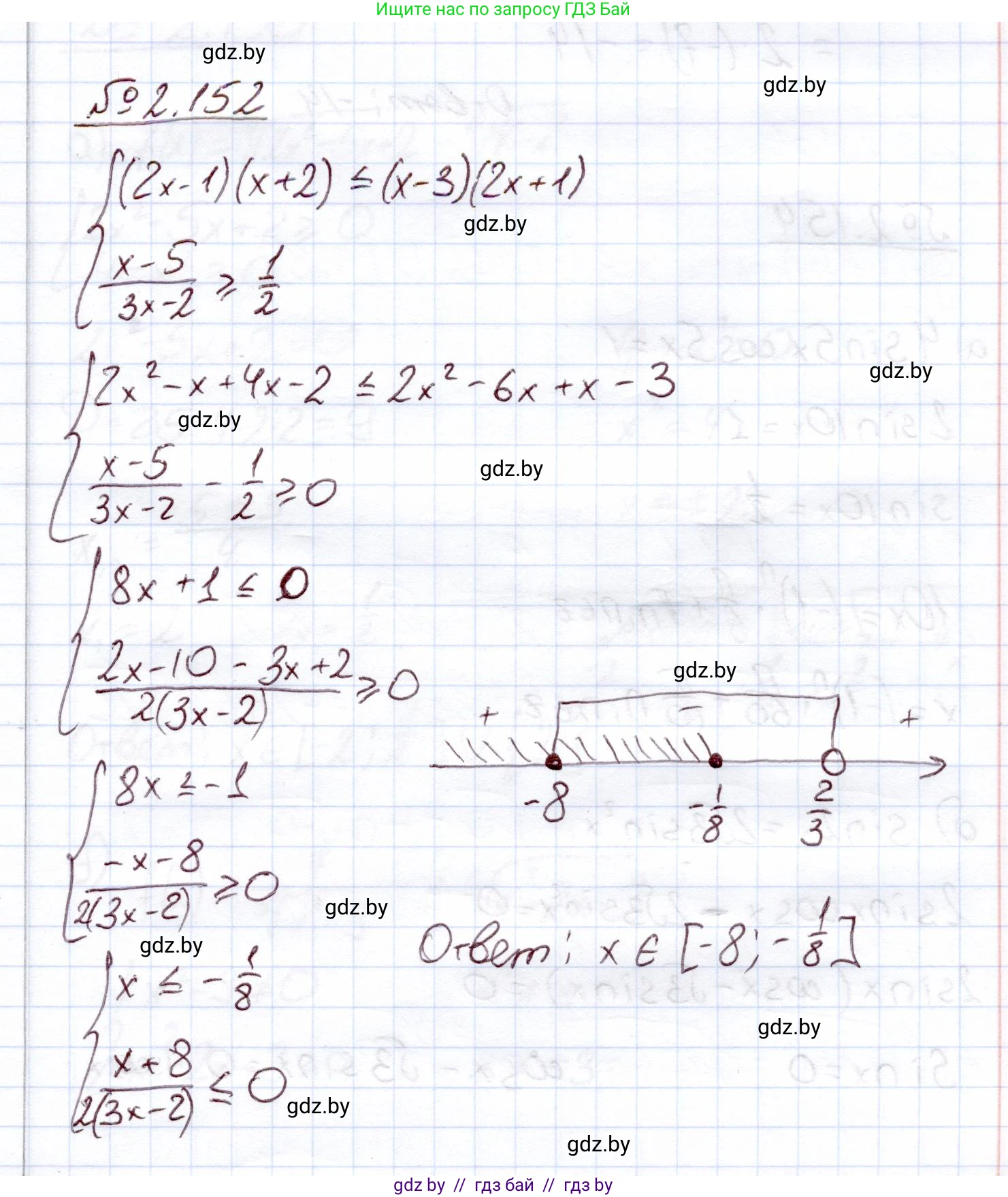
2.152. Решите систему неравенств

$$\begin{cases} (2x - 1)(x + 2) \le (x - 3)(2x + 1), \\ \frac{x - 5}{3x - 2} \ge \frac{1}{2}. \end{cases}$$

Решение. №2.152 (с. 78)
Алгебра, 11 класс Учебник, авторы: Арефьева Ирина Глебовна, Пирютко Ольга Николаевна, издательство Народная асвета, Минск, 2020, бирюзового цвета, страница 78, номер 2.152, Решение
Решение 2. №2.152 (с. 78)

Для решения системы необходимо решить каждое неравенство по отдельности, а затем найти пересечение их решений.

Решим первое неравенство

$(2x - 1)(x + 2) \le (x - 3)(2x + 1)$

Раскроем скобки в обеих частях неравенства:

$2x^2 + 4x - x - 2 \le 2x^2 + x - 6x - 3$

Приведем подобные слагаемые в каждой части:

$2x^2 + 3x - 2 \le 2x^2 - 5x - 3$

Перенесем все слагаемые в левую часть неравенства и упростим:

$(2x^2 - 2x^2) + (3x + 5x) + (-2 + 3) \le 0$

$8x + 1 \le 0$

Решим полученное линейное неравенство:

$8x \le -1$

$x \le -\frac{1}{8}$

Таким образом, решение первого неравенства: $x \in (-\infty; -1/8]$.

Решим второе неравенство

$\frac{x - 5}{3x - 2} \ge \frac{1}{2}$

Перенесем $\frac{1}{2}$ в левую часть, чтобы сравнить выражение с нулем:

$\frac{x - 5}{3x - 2} - \frac{1}{2} \ge 0$

Приведем дроби к общему знаменателю $2(3x - 2)$:

$\frac{2(x - 5) - (3x - 2)}{2(3x - 2)} \ge 0$

Раскроем скобки и упростим числитель:

$\frac{2x - 10 - 3x + 2}{2(3x - 2)} \ge 0$

$\frac{-x - 8}{2(3x - 2)} \ge 0$

Разделим обе части на $-1$, изменив знак неравенства на противоположный (знак знаменателя при этом не меняется, так как множитель $2 > 0$):

$\frac{x + 8}{3x - 2} \le 0$

Решим полученное дробно-рациональное неравенство методом интервалов. Найдем корни числителя и знаменателя.

Корень числителя: $x + 8 = 0 \Rightarrow x = -8$. Так как неравенство нестрогое, эта точка является решением.

Корень знаменателя: $3x - 2 = 0 \Rightarrow x = \frac{2}{3}$. Эта точка не является решением, так как знаменатель не может быть равен нулю (область допустимых значений $x \neq \frac{2}{3}$).

Отметим точки $-8$ и $\frac{2}{3}$ на числовой оси. Они разбивают ось на интервалы. Определим знак дроби $\frac{x + 8}{3x - 2}$ на каждом интервале.

  • При $x > \frac{2}{3}$ (например, $x=1$), дробь $\frac{1+8}{3(1)-2} = \frac{9}{1} > 0$.
  • При $-8 < x < \frac{2}{3}$ (например, $x=0$), дробь $\frac{0+8}{3(0)-2} = \frac{8}{-2} < 0$.
  • При $x < -8$ (например, $x=-9$), дробь $\frac{-9+8}{3(-9)-2} = \frac{-1}{-29} > 0$.

Нас интересует промежуток, где дробь меньше или равна нулю. Это промежуток $[-8; \frac{2}{3})$.

Найдем пересечение решений

Мы получили решения для каждого из неравенств:

1) $x \le -\frac{1}{8}$, что соответствует множеству $x \in (-\infty; -1/8]$

2) $-8 \le x < \frac{2}{3}$, что соответствует множеству $x \in [-8; 2/3)$

Решение системы — это пересечение этих двух множеств. Изобразив оба решения на числовой оси, мы найдем их общую часть.

Объединяя условия $x \le -\frac{1}{8}$ и $-8 \le x < \frac{2}{3}$, получаем, что $x$ должен быть одновременно больше или равен $-8$ и меньше или равен $-\frac{1}{8}$.

Следовательно, решением системы неравенств является промежуток $[-8; -1/8]$.

Ответ: $x \in [-8; -1/8]$.

Помогло решение? Оставьте отзыв в комментариях ниже.

Присоединяйтесь к Телеграм-группе @gdz_by_belarus

Присоединиться

Мы подготовили для вас ответ c подробным объяснением домашего задания по алгебре за 11 класс, для упражнения номер 2.152 расположенного на странице 78 к учебнику 2020 года издания для учащихся школ и гимназий.

Теперь на нашем сайте ГДЗ.ТОП вы всегда легко и бесплатно найдёте условие с правильным ответом на вопрос «Как решить ДЗ» и «Как сделать» задание по алгебре к упражнению №2.152 (с. 78), авторов: Арефьева (Ирина Глебовна), Пирютко (Ольга Николаевна), учебного пособия издательства Народная асвета.