Номер 2.158, страница 79 - гдз по алгебре 11 класс учебник Арефьева, Пирютко

Алгебра, 11 класс Учебник, авторы: Арефьева Ирина Глебовна, Пирютко Ольга Николаевна, издательство Народная асвета, Минск, 2020, бирюзового цвета

Авторы: Арефьева И. Г., Пирютко О. Н.

Тип: Учебник

Издательство: Народная асвета

Год издания: 2020 - 2025

Цвет обложки: бирюзовый, зелёный с графиком

ISBN: 978-985-03-3165-6

Популярные ГДЗ в 11 классе

Глава 2. Показательная функция. Параграф 5. Показательные уравнения - номер 2.158, страница 79.

№2.158 (с. 79)
Условие. №2.158 (с. 79)
скриншот условия
Алгебра, 11 класс Учебник, авторы: Арефьева Ирина Глебовна, Пирютко Ольга Николаевна, издательство Народная асвета, Минск, 2020, бирюзового цвета, страница 79, номер 2.158, Условие

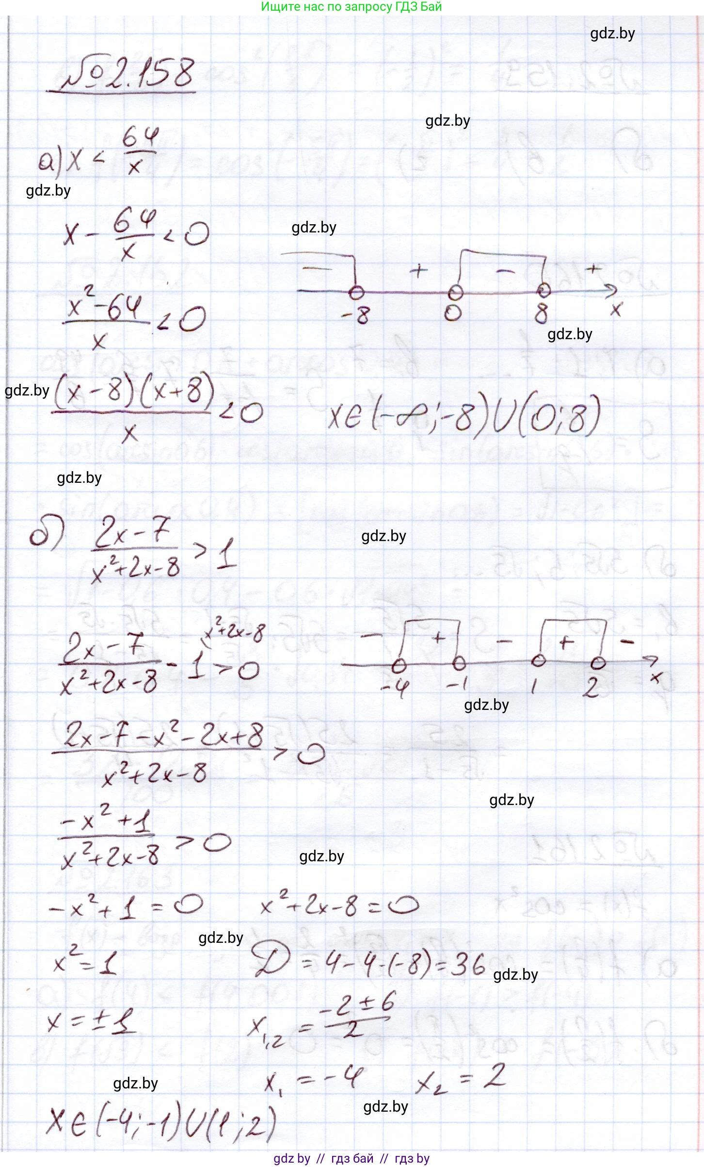
2.158. Решите неравенство:

а) $x < \frac{64}{x}$;

б) $\frac{2x - 7}{x^2 + 2x - 8} > 1$.

Решение. №2.158 (с. 79)
Алгебра, 11 класс Учебник, авторы: Арефьева Ирина Глебовна, Пирютко Ольга Николаевна, издательство Народная асвета, Минск, 2020, бирюзового цвета, страница 79, номер 2.158, Решение
Решение 2. №2.158 (с. 79)

а)

Исходное неравенство: $x < \frac{64}{x}$.

Важно помнить, что нельзя просто умножать обе части неравенства на $x$, так как мы не знаем его знака. Правильным подходом является перенос всех членов в одну сторону и приведение к общему знаменателю.

Перенесем все члены в левую часть:

$x - \frac{64}{x} < 0$

Приведем к общему знаменателю:

$\frac{x^2 - 64}{x} < 0$

Разложим числитель на множители по формуле разности квадратов $a^2 - b^2 = (a-b)(a+b)$:

$\frac{(x-8)(x+8)}{x} < 0$

Решим полученное рациональное неравенство методом интервалов. Для этого найдем точки, в которых числитель или знаменатель обращаются в ноль (это "критические" точки):

Нули числителя: $x-8=0 \Rightarrow x=8$; $x+8=0 \Rightarrow x=-8$.

Нуль знаменателя: $x=0$.

Отметим эти точки ($-8$, $0$, $8$) на числовой оси. Так как неравенство строгое, все точки будут "выколотыми", то есть не войдут в решение. Эти точки разбивают ось на четыре интервала.

Определим знак выражения $\frac{(x-8)(x+8)}{x}$ на каждом из интервалов:

  • Интервал $(8; +\infty)$: возьмем $x=10$. Выражение $\frac{(10-8)(10+8)}{10} = \frac{2 \cdot 18}{10} > 0$.
  • Интервал $(0; 8)$: возьмем $x=1$. Выражение $\frac{(1-8)(1+8)}{1} = \frac{-7 \cdot 9}{1} < 0$. Этот интервал является решением.
  • Интервал $(-8; 0)$: возьмем $x=-1$. Выражение $\frac{(-1-8)(-1+8)}{-1} = \frac{-9 \cdot 7}{-1} > 0$.
  • Интервал $(-\infty; -8)$: возьмем $x=-10$. Выражение $\frac{(-10-8)(-10+8)}{-10} = \frac{-18 \cdot -2}{-10} < 0$. Этот интервал является решением.

Объединяя интервалы, в которых выражение отрицательно, получаем итоговое решение.

Ответ: $x \in (-\infty; -8) \cup (0; 8)$.

б)

Исходное неравенство: $\frac{2x - 7}{x^2 + 2x - 8} > 1$.

Перенесем 1 в левую часть неравенства, чтобы сравнить выражение с нулем:

$\frac{2x - 7}{x^2 + 2x - 8} - 1 > 0$

Приведем к общему знаменателю:

$\frac{2x - 7 - (x^2 + 2x - 8)}{x^2 + 2x - 8} > 0$

Раскроем скобки в числителе и упростим:

$\frac{2x - 7 - x^2 - 2x + 8}{x^2 + 2x - 8} > 0$

$\frac{-x^2 + 1}{x^2 + 2x - 8} > 0$

Для удобства умножим обе части неравенства на $-1$. При этом знак неравенства изменится на противоположный:

$\frac{x^2 - 1}{x^2 + 2x - 8} < 0$

Теперь разложим на множители числитель и знаменатель. Числитель: $x^2 - 1 = (x-1)(x+1)$. Для разложения знаменателя $x^2 + 2x - 8$ найдем его корни, решив уравнение $x^2 + 2x - 8 = 0$. По теореме Виета, сумма корней равна $-2$, а их произведение равно $-8$. Корни: $x_1 = -4$ и $x_2 = 2$. Таким образом, $x^2 + 2x - 8 = (x-(-4))(x-2) = (x+4)(x-2)$.

Неравенство принимает вид:

$\frac{(x-1)(x+1)}{(x+4)(x-2)} < 0$

Решим это неравенство методом интервалов. Критические точки:

Нули числителя: $x=1$, $x=-1$.

Нули знаменателя: $x=-4$, $x=2$.

Отметим точки $-4, -1, 1, 2$ на числовой оси (все точки выколотые). Они разбивают ось на пять интервалов.

Определим знак выражения $\frac{(x-1)(x+1)}{(x+4)(x-2)}$ на каждом из интервалов:

  • Интервал $(2; +\infty)$: возьмем $x=3$. $\frac{(+)(+)}{(+)(+)} > 0$.
  • Интервал $(1; 2)$: возьмем $x=1.5$. $\frac{(+)(+)}{(+)(-)} < 0$. Этот интервал является решением.
  • Интервал $(-1; 1)$: возьмем $x=0$. $\frac{(-)(+)}{(+)(-)} > 0$.
  • Интервал $(-4; -1)$: возьмем $x=-2$. $\frac{(-)(-)}{(+)(-)} < 0$. Этот интервал является решением.
  • Интервал $(-\infty; -4)$: возьмем $x=-5$. $\frac{(-)(-)}{(-)(-)} > 0$.

Объединяя интервалы, где выражение отрицательно, получаем итоговое решение.

Ответ: $x \in (-4; -1) \cup (1; 2)$.

Помогло решение? Оставьте отзыв в комментариях ниже.

Присоединяйтесь к Телеграм-группе @gdz_by_belarus

Присоединиться

Мы подготовили для вас ответ c подробным объяснением домашего задания по алгебре за 11 класс, для упражнения номер 2.158 расположенного на странице 79 к учебнику 2020 года издания для учащихся школ и гимназий.

Теперь на нашем сайте ГДЗ.ТОП вы всегда легко и бесплатно найдёте условие с правильным ответом на вопрос «Как решить ДЗ» и «Как сделать» задание по алгебре к упражнению №2.158 (с. 79), авторов: Арефьева (Ирина Глебовна), Пирютко (Ольга Николаевна), учебного пособия издательства Народная асвета.