Номер 2.162, страница 80 - гдз по алгебре 11 класс учебник Арефьева, Пирютко

Алгебра, 11 класс Учебник, авторы: Арефьева Ирина Глебовна, Пирютко Ольга Николаевна, издательство Народная асвета, Минск, 2020, бирюзового цвета

Авторы: Арефьева И. Г., Пирютко О. Н.

Тип: Учебник

Издательство: Народная асвета

Год издания: 2020 - 2025

Цвет обложки: бирюзовый, зелёный с графиком

ISBN: 978-985-03-3165-6

Популярные ГДЗ в 11 классе

Глава 2. Показательная функция. Параграф 5. Показательные уравнения - номер 2.162, страница 80.

№2.162 (с. 80)
Условие. №2.162 (с. 80)
скриншот условия
Алгебра, 11 класс Учебник, авторы: Арефьева Ирина Глебовна, Пирютко Ольга Николаевна, издательство Народная асвета, Минск, 2020, бирюзового цвета, страница 80, номер 2.162, Условие

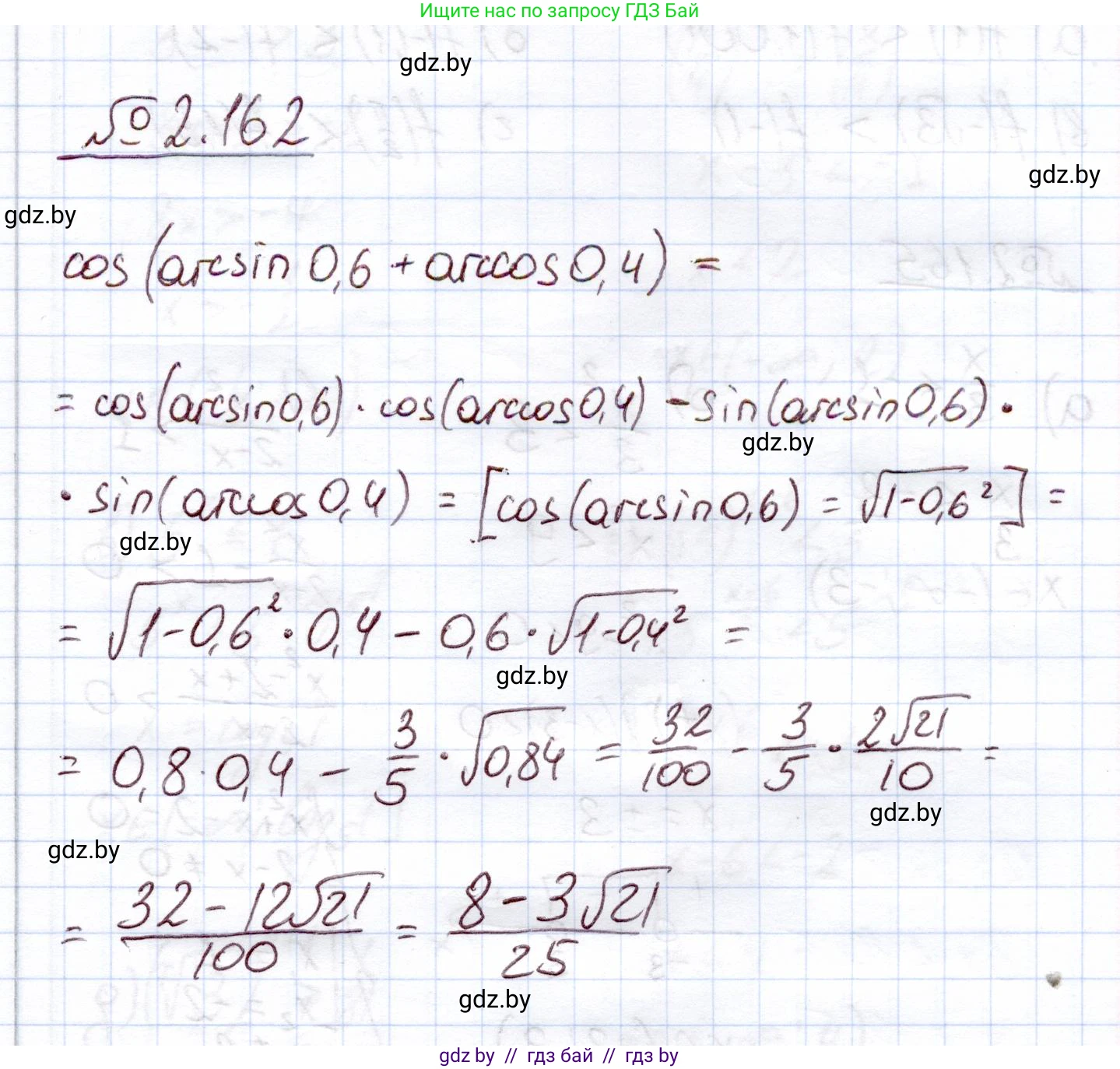
2.162*. Найдите значение выражения $cos(arcsin0,6 + arccos0,4)$.

Решение. №2.162 (с. 80)
Алгебра, 11 класс Учебник, авторы: Арефьева Ирина Глебовна, Пирютко Ольга Николаевна, издательство Народная асвета, Минск, 2020, бирюзового цвета, страница 80, номер 2.162, Решение
Решение 2. №2.162 (с. 80)

Для нахождения значения выражения $ \cos(\arcsin(0,6) + \arccos(0,4)) $ мы воспользуемся формулой косинуса суммы двух углов:$ \cos(\alpha + \beta) = \cos(\alpha)\cos(\beta) - \sin(\alpha)\sin(\beta) $

Пусть $ \alpha = \arcsin(0,6) $ и $ \beta = \arccos(0,4) $. Нам необходимо найти значения $ \sin(\alpha) $, $ \cos(\alpha) $, $ \sin(\beta) $ и $ \cos(\beta) $.

1. Найдём $ \sin(\alpha) $ и $ \cos(\alpha) $.
По определению арксинуса, если $ \alpha = \arcsin(0,6) $, то $ \sin(\alpha) = 0,6 $. Область значений арксинуса — это отрезок $ [-\frac{\pi}{2}; \frac{\pi}{2}] $. Поскольку $ \sin(\alpha) = 0,6 > 0 $, угол $ \alpha $ находится в первой координатной четверти ($ 0 < \alpha < \frac{\pi}{2} $). В этой четверти косинус положителен. Найдём $ \cos(\alpha) $ с помощью основного тригонометрического тождества $ \sin^2(\alpha) + \cos^2(\alpha) = 1 $:$ \cos(\alpha) = \sqrt{1 - \sin^2(\alpha)} = \sqrt{1 - (0,6)^2} = \sqrt{1 - 0,36} = \sqrt{0,64} = 0,8 $.

2. Найдём $ \cos(\beta) $ и $ \sin(\beta) $.
По определению арккосинуса, если $ \beta = \arccos(0,4) $, то $ \cos(\beta) = 0,4 $. Область значений арккосинуса — это отрезок $ [0; \pi] $. Поскольку $ \cos(\beta) = 0,4 > 0 $, угол $ \beta $ также находится в первой координатной четверти ($ 0 < \beta < \frac{\pi}{2} $). В этой четверти синус положителен. Найдём $ \sin(\beta) $ с помощью основного тригонометрического тождества:$ \sin(\beta) = \sqrt{1 - \cos^2(\beta)} = \sqrt{1 - (0,4)^2} = \sqrt{1 - 0,16} = \sqrt{0,84} $.

3. Теперь подставим все найденные значения в формулу косинуса суммы:$ \cos(\arcsin(0,6) + \arccos(0,4)) = \cos(\alpha)\cos(\beta) - \sin(\alpha)\sin(\beta) $$ = 0,8 \cdot 0,4 - 0,6 \cdot \sqrt{0,84} $

4. Выполним вычисления и упростим полученное выражение.$ 0,8 \cdot 0,4 = 0,32 $Упростим второй член:$ 0,6 \cdot \sqrt{0,84} = 0,6 \cdot \sqrt{\frac{84}{100}} = 0,6 \cdot \frac{\sqrt{4 \cdot 21}}{10} = 0,6 \cdot \frac{2\sqrt{21}}{10} = \frac{1,2\sqrt{21}}{10} = 0,12\sqrt{21} $. Таким образом, искомое значение равно:$ 0,32 - 0,12\sqrt{21} $.

Ответ: $ 0,32 - 0,12\sqrt{21} $.

Помогло решение? Оставьте отзыв в комментариях ниже.

Присоединяйтесь к Телеграм-группе @gdz_by_belarus

Присоединиться

Мы подготовили для вас ответ c подробным объяснением домашего задания по алгебре за 11 класс, для упражнения номер 2.162 расположенного на странице 80 к учебнику 2020 года издания для учащихся школ и гимназий.

Теперь на нашем сайте ГДЗ.ТОП вы всегда легко и бесплатно найдёте условие с правильным ответом на вопрос «Как решить ДЗ» и «Как сделать» задание по алгебре к упражнению №2.162 (с. 80), авторов: Арефьева (Ирина Глебовна), Пирютко (Ольга Николаевна), учебного пособия издательства Народная асвета.