Номер 2.155, страница 79 - гдз по алгебре 11 класс учебник Арефьева, Пирютко

Алгебра, 11 класс Учебник, авторы: Арефьева Ирина Глебовна, Пирютко Ольга Николаевна, издательство Народная асвета, Минск, 2020, бирюзового цвета

Авторы: Арефьева И. Г., Пирютко О. Н.

Тип: Учебник

Издательство: Народная асвета

Год издания: 2020 - 2025

Цвет обложки: бирюзовый, зелёный с графиком

ISBN: 978-985-03-3165-6

Популярные ГДЗ в 11 классе

Глава 2. Показательная функция. Параграф 5. Показательные уравнения - номер 2.155, страница 79.

№2.155 (с. 79)
Условие. №2.155 (с. 79)
скриншот условия
Алгебра, 11 класс Учебник, авторы: Арефьева Ирина Глебовна, Пирютко Ольга Николаевна, издательство Народная асвета, Минск, 2020, бирюзового цвета, страница 79, номер 2.155, Условие

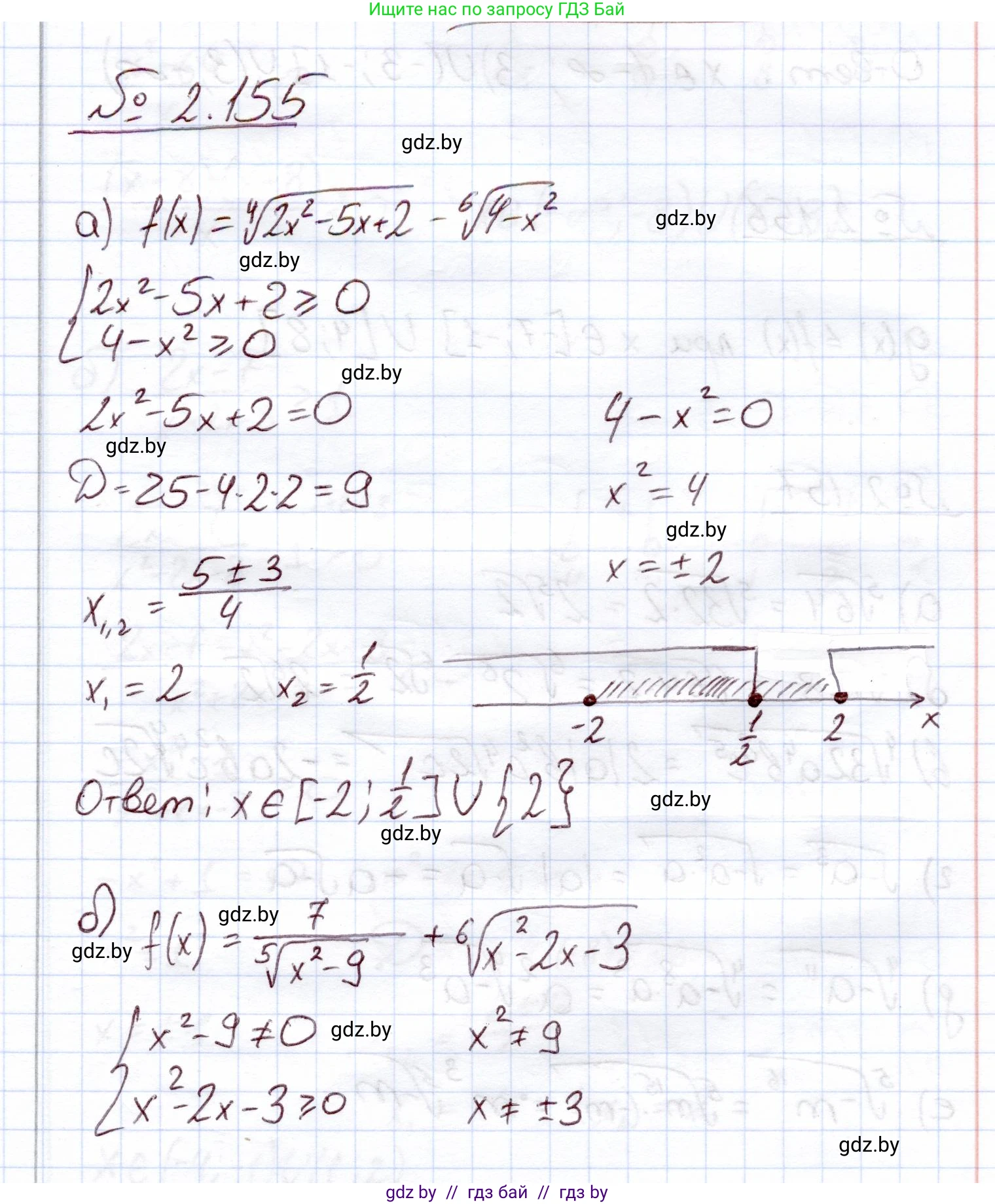
2.155. Найдите область определения функции:

a) $f(x)=\sqrt[4]{2x^2-5x+2-\sqrt[6]{4-x^2}}$;

б) $f(x)=\frac{7}{\sqrt[5]{x^2-9}}+\sqrt[6]{x^2-2x-3}$.

Решение. №2.155 (с. 79)
Алгебра, 11 класс Учебник, авторы: Арефьева Ирина Глебовна, Пирютко Ольга Николаевна, издательство Народная асвета, Минск, 2020, бирюзового цвета, страница 79, номер 2.155, Решение Алгебра, 11 класс Учебник, авторы: Арефьева Ирина Глебовна, Пирютко Ольга Николаевна, издательство Народная асвета, Минск, 2020, бирюзового цвета, страница 79, номер 2.155, Решение (продолжение 2)
Решение 2. №2.155 (с. 79)

а) $f(x) = \sqrt[4]{2x^2 - 5x + 2} - \sqrt[6]{4 - x^2}$

Область определения функции — это множество всех значений $x$, при которых функция имеет смысл. Данная функция представляет собой разность двух корней четной степени (4-й и 6-й). Выражения под корнями четной степени должны быть неотрицательными. Следовательно, должны выполняться два условия одновременно в виде системы неравенств:

$$ \begin{cases} 2x^2 - 5x + 2 \ge 0 \\ 4 - x^2 \ge 0 \end{cases} $$

1. Решим первое неравенство: $2x^2 - 5x + 2 \ge 0$.

Сначала найдем корни соответствующего квадратного уравнения $2x^2 - 5x + 2 = 0$.
Вычислим дискриминант: $D = b^2 - 4ac = (-5)^2 - 4 \cdot 2 \cdot 2 = 25 - 16 = 9$.
Найдем корни уравнения: $x_{1,2} = \frac{-b \pm \sqrt{D}}{2a} = \frac{5 \pm \sqrt{9}}{4} = \frac{5 \pm 3}{4}$.
$x_1 = \frac{5-3}{4} = \frac{2}{4} = \frac{1}{2}$;
$x_2 = \frac{5+3}{4} = \frac{8}{4} = 2$.
Графиком функции $y = 2x^2 - 5x + 2$ является парабола с ветвями, направленными вверх (так как коэффициент при $x^2$ положителен). Следовательно, неравенство $2x^2 - 5x + 2 \ge 0$ выполняется, когда $x$ находится вне интервала между корнями. Решение: $x \in (-\infty; \frac{1}{2}] \cup [2; +\infty)$.

2. Решим второе неравенство: $4 - x^2 \ge 0$.

Это неравенство равносильно $x^2 \le 4$.
Извлекая квадратный корень из обеих частей, получаем $|x| \le 2$, что эквивалентно $-2 \le x \le 2$.
Решение этого неравенства: $x \in [-2; 2]$.

3. Найдем пересечение решений обоих неравенств.

Нам необходимо найти пересечение множеств $(-\infty; \frac{1}{2}] \cup [2; +\infty)$ и $[-2; 2]$.
Изобразив эти множества на числовой оси, находим их общую часть.
Пересечение интервала $[-2; 2]$ с $(-\infty; \frac{1}{2}]$ дает отрезок $[-2; \frac{1}{2}]$.
Пересечение интервала $[-2; 2]$ с $[2; +\infty)$ дает единственную точку $\{2\}$.
Объединяя эти результаты, получаем итоговую область определения функции: $x \in [-2; \frac{1}{2}] \cup \{2\}$.

Ответ: $D(f) = [-2; \frac{1}{2}] \cup \{2\}$.


б) $f(x) = \frac{7}{\sqrt[5]{x^2 - 9}} + \sqrt[6]{x^2 - 2x - 3}$

Функция представляет собой сумму двух слагаемых. Область определения функции является пересечением областей определения каждого слагаемого.

1. Для первого слагаемого $\frac{7}{\sqrt[5]{x^2 - 9}}$:

Корень 5-й степени (нечетной) определен для любого действительного значения подкоренного выражения. Единственное ограничение накладывается на знаменатель дроби, который не должен быть равен нулю.
$\sqrt[5]{x^2 - 9} \neq 0$
Возведя обе части в 5-ю степень, получаем:
$x^2 - 9 \neq 0$
$(x - 3)(x + 3) \neq 0$
Следовательно, $x \neq 3$ и $x \neq -3$.

2. Для второго слагаемого $\sqrt[6]{x^2 - 2x - 3}$:

Корень 6-й степени (четной), поэтому подкоренное выражение должно быть неотрицательным.
$x^2 - 2x - 3 \ge 0$
Найдем корни уравнения $x^2 - 2x - 3 = 0$.
По теореме Виета: сумма корней $x_1 + x_2 = 2$, произведение корней $x_1 \cdot x_2 = -3$. Корнями являются $x_1 = -1$ и $x_2 = 3$.
Графиком функции $y = x^2 - 2x - 3$ является парабола с ветвями, направленными вверх. Следовательно, неравенство $x^2 - 2x - 3 \ge 0$ выполняется при $x$ вне интервала между корнями. Решение: $x \in (-\infty; -1] \cup [3; +\infty)$.

3. Найдем пересечение областей определения обоих слагаемых.

Необходимо, чтобы выполнялись все найденные условия одновременно:
$$ \begin{cases} x \neq 3 \text{ и } x \neq -3 \\ x \in (-\infty; -1] \cup [3; +\infty) \end{cases} $$Рассмотрим пересечение для каждого интервала:
- Для интервала $(-\infty; -1]$: нужно исключить точку $x = -3$. Получаем $(-\infty; -3) \cup (-3; -1]$.
- Для интервала $[3; +\infty)$: нужно исключить точку $x = 3$. Получаем $(3; +\infty)$.
Объединяя эти множества, получаем итоговую область определения.

Ответ: $D(f) = (-\infty; -3) \cup (-3; -1] \cup (3; +\infty)$.

Помогло решение? Оставьте отзыв в комментариях ниже.

Присоединяйтесь к Телеграм-группе @gdz_by_belarus

Присоединиться

Мы подготовили для вас ответ c подробным объяснением домашего задания по алгебре за 11 класс, для упражнения номер 2.155 расположенного на странице 79 к учебнику 2020 года издания для учащихся школ и гимназий.

Теперь на нашем сайте ГДЗ.ТОП вы всегда легко и бесплатно найдёте условие с правильным ответом на вопрос «Как решить ДЗ» и «Как сделать» задание по алгебре к упражнению №2.155 (с. 79), авторов: Арефьева (Ирина Глебовна), Пирютко (Ольга Николаевна), учебного пособия издательства Народная асвета.